滿足條件
一元八次方程必須同時滿足三個條件:
①是整式方程,即等號兩邊都是整式:方程中如果有分母,且未知數在分母上,那么這個方程就是分式方程,不是一元八次方程;方程中如果有根號,且未知數在根號內,那么這個方程就是無理方程,也不是一元八次方程。
②只含有一個未知數;
③未知數項的最高次數是八。
方程形式
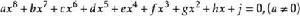
一般形式
一元八次方程求根公式 其中:a,b,c,d,e,f,g,h,j被稱為方程的係數(零次項係數也稱為常數項),且都為實數。x被稱為變數。
使得方程左右兩邊相等的未知數x的值被稱為方程的解。也叫做這個一元八次方程的根。對於任意一個實係數一元八次方程,其總有八個根(可能存在重根或虛根),並且虛根總是成對出現。
變形式(特殊形式)
缺項式:方程僅有八次項和常數項。
對稱式:方程的各項係數呈對稱形態。
1.缺項式:方程僅有八次項和常數項。
2.對稱式:方程的各項係數呈對稱形態。
分解式
a(x-x)(x-x)(x-x)(x-x)(x-x)(x-x)(x-x)(x-x)=0
其中:x(n=1,2,3,4,5,6,7,8)被稱為該一元八次方程的八個根。
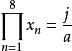
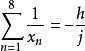
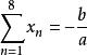
根與係數的關係
一元八次方程求根公式
一元八次方程求根公式
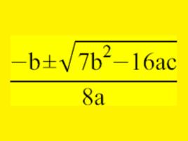
一元八次方程求根公式 完整公式
由於公式不方便直接輸入,故使用圖片。
一元八次方程求根公式-圖片1
一元八次方程求根公式-圖片2
一元八次方程求根公式-圖片3
一元八次方程求根公式-圖片4
一元八次方程求根公式-圖片5 例題
由於公式數量過多,故無法將例題一一列舉。詳見參考資料-一元八次方程求根公式。
計算機代碼實現
用Javascript編寫的網頁版一元八次方程求解工具已經存在。以下是其script部分代碼。
| function myFunction() { var a=Number(document.getElementById("a").value) var b=Number(document.getElementById("b").value) var c=Number(document.getElementById("c").value) var d=Number(document.getElementById("d").value) var e=Number(document.getElementById("e").value) var f=Number(document.getElementById("f").value) var g=Number(document.getElementById("g").value) var h=Number(document.getElementById("h").value) var j=Number(document.getElementById("j").value) var G=7*b*b-16*a*c var H=7*b*b*b-24*a*b*c+32*a*a*d var J=15*b*b*c-100*a*b*d+256*a*a*e var K=b*b*b*c-8*a*b*b*d+32*a*a*b*e-64*a*a*a*f var L=5*b*b*b*d-72*a*b*b*e+528*a*a*b*f-2048*a*a*a*g var M=b*b*b*b*d-16*a*b*b*b*e+144*a*a*b*b*f-896*a*a*a*b*g+3584*a*a*a*a*h var N=b*b*b*b*e-28*a*b*b*b*f+464*a*a*b*b*g-5952*a*a*a*b*h+65536*a*a*a*a*j var D=3*G*G-8*a*J var E=G*G*G-4*a*G*J+16*a*a*L var F=3*G*G*G*G+16*a*a*J*J-16*a*G*G*J+32*a*a*G*L-64*a*a*a*N var A=D*D-3*F var B=D*F-9*E*E var C=F*F-3*D*E*E var delta=B*B-4*A*C if(G==0 && H==0 && J==0 && K==0 && L==0 && M==0 && N==0) { var x01=-b/(8*a) var x02=-b/(8*a) var x03=-b/(8*a) var x04=-b/(8*a) var x05=-b/(8*a) var x06=-b/(8*a) var x07=-b/(8*a) var x08=-b/(8*a) } else if(H==0 && K==0 && M==0 && D==0 && E==0 && F==0) { if(7*b*b>16*a*c) { var x01=(-b+Math.sqrt(7*b*b-16*a*c))/(8*a) var x02=(-b+Math.sqrt(7*b*b-16*a*c))/(8*a) var x03=(-b+Math.sqrt(7*b*b-16*a*c))/(8*a) var x04=(-b+Math.sqrt(7*b*b-16*a*c))/(8*a) var x05=(-b-Math.sqrt(7*b*b-16*a*c))/(8*a) var x06=(-b-Math.sqrt(7*b*b-16*a*c))/(8*a) var x07=(-b-Math.sqrt(7*b*b-16*a*c))/(8*a) var x08=(-b-Math.sqrt(7*b*b-16*a*c))/(8*a) } else { var x01=-b/(8*a)""+Math.sqrt(16*a*c-7*b*b)/Math.abs(8*a)"i" var x02=-b/(8*a)""+Math.sqrt(16*a*c-7*b*b)/Math.abs(8*a)"i" var x03=-b/(8*a)""+Math.sqrt(16*a*c-7*b*b)/Math.abs(8*a)"i" var x04=-b/(8*a)""+Math.sqrt(16*a*c-7*b*b)/Math.abs(8*a)"i" var x05=-b/(8*a)"-"+Math.sqrt(16*a*c-7*b*b)/Math.abs(8*a)"i" var x06=-b/(8*a)"-"+Math.sqrt(16*a*c-7*b*b)/Math.abs(8*a)"i" var x07=-b/(8*a)"-"+Math.sqrt(16*a*c-7*b*b)/Math.abs(8*a)"i" var x08=-b/(8*a)"-"+Math.sqrt(16*a*c-7*b*b)/Math.abs(8*a)"i" } } else if(H==0 && K==0 && M==0 && A==0 && B==0 && C==0) { if(D*D*G=0) { var x03=(-b+Math.sqrt(G-Math.sign(E)*Math.sqrt(D-B/A)))/(8*a) var x04=(-b+Math.sqrt(G-Math.sign(E)*Math.sqrt(D-B/A)))/(8*a) var x07=(-b-Math.sqrt(G-Math.sign(E)*Math.sqrt(D-B/A)))/(8*a) var x08=(-b-Math.sqrt(G-Math.sign(E)*Math.sqrt(D-B/A)))/(8*a) } else { var x03=-b/(8*a)""+Math.sqrt(-G+Math.sign(E)*Math.sqrt(D-B/A))/Math.abs(8*a)"i" var x04=-b/(8*a)""+Math.sqrt(-G+Math.sign(E)*Math.sqrt(D-B/A))/Math.abs(8*a)"i" var x07=-b/(8*a)"-"+Math.sqrt(-G+Math.sign(E)*Math.sqrt(D-B/A))/Math.abs(8*a)"i" var x08=-b/(8*a)"-"+Math.sqrt(-G+Math.sign(E)*Math.sqrt(D-B/A))/Math.abs(8*a)"i" } } else { var x01=(-2*b+Math.sqrt(2*G-2*Math.sign(E)*Math.sqrt(D-B/A)+2*Math.sqrt(G*G+D-2*G*Math.sign(E)*Math.sqrt(D-B/A)-3*B/A)))/(16*a)""+Math.sqrt(-2*G+2*Math.sign(E)*Math.sqrt(D-B/A)+2*Math.sqrt(G*G+D-2*G*Math.sign(E)*Math.sqrt(D-B/A)-3*B/A))/Math.abs(16*a)"i" var x02=(-2*b-Math.sqrt(2*G-2*Math.sign(E)*Math.sqrt(D-B/A)+2*Math.sqrt(G*G+D-2*G*Math.sign(E)*Math.sqrt(D-B/A)-3*B/A)))/(16*a)""+Math.sqrt(-2*G+2*Math.sign(E)*Math.sqrt(D-B/A)+2*Math.sqrt(G*G+D-2*G*Math.sign(E)*Math.sqrt(D-B/A)-3*B/A))/Math.abs(16*a)"i" var x05=(-2*b+Math.sqrt(2*G-2*Math.sign(E)*Math.sqrt(D-B/A)+2*Math.sqrt(G*G+D-2*G*Math.sign(E)*Math.sqrt(D-B/A)-3*B/A)))/(16*a)"-"+Math.sqrt(-2*G+2*Math.sign(E)*Math.sqrt(D-B/A)+2*Math.sqrt(G*G+D-2*G*Math.sign(E)*Math.sqrt(D-B/A)-3*B/A))/Math.abs(16*a)"i" var x06=(-2*b-Math.sqrt(2*G-2*Math.sign(E)*Math.sqrt(D-B/A)+2*Math.sqrt(G*G+D-2*G*Math.sign(E)*Math.sqrt(D-B/A)-3*B/A)))/(16*a)"-"+Math.sqrt(-2*G+2*Math.sign(E)*Math.sqrt(D-B/A)+2*Math.sqrt(G*G+D-2*G*Math.sign(E)*Math.sqrt(D-B/A)-3*B/A))/Math.abs(16*a)"i" if(G+Math.sign(E)*Math.sqrt(D-B/A)>=0) { var x03=(-b+Math.sqrt(G+Math.sign(E)*Math.sqrt(D-B/A)))/(8*a) var x04=(-b+Math.sqrt(G+Math.sign(E)*Math.sqrt(D-B/A)))/(8*a) var x07=(-b-Math.sqrt(G+Math.sign(E)*Math.sqrt(D-B/A)))/(8*a) var x08=(-b-Math.sqrt(G+Math.sign(E)*Math.sqrt(D-B/A)))/(8*a) } else { var x03=-b/(8*a)""+Math.sqrt(-G-Math.sign(E)*Math.sqrt(D-B/A))/Math.abs(8*a)"i" var x04=-b/(8*a)""+Math.sqrt(-G-Math.sign(E)*Math.sqrt(D-B/A))/Math.abs(8*a)"i" var x07=-b/(8*a)"-"+Math.sqrt(-G-Math.sign(E)*Math.sqrt(D-B/A))/Math.abs(8*a)"i" var x08=-b/(8*a)"-"+Math.sqrt(-G-Math.sign(E)*Math.sqrt(D-B/A))/Math.abs(8*a)"i" } } } else if(H==0 && K==0 && M==0 && delta>0) { var z1=A*D+3*(-B+Math.sqrt(B*B-4*A*C))/2 var z2=A*D+3*(-B-Math.sqrt(B*B-4*A*C))/2 var z=D*D-D*(Math.cbrt(z1)+Math.cbrt(z2))+(Math.cbrt(z1)+Math.cbrt(z2))*(Math.cbrt(z1)+Math.cbrt(z2))-3*Math.cbrt(z1*z2) var y=(4*a*J+Math.cbrt(z1)+Math.cbrt(z2)+Math.sqrt(z)-G*Math.sign(E)*Math.sqrt(3*D+3*(Math.cbrt(z1)+Math.cbrt(z2))))/6 var y1=Math.sqrt(y)+(3*G-Math.sign(E)*Math.sqrt(3*D+3*(Math.cbrt(z1)+Math.cbrt(z2))))/6 var y2=Math.sqrt(y)-(3*G-Math.sign(E)*Math.sqrt(3*D+3*(Math.cbrt(z1)+Math.cbrt(z2))))/6 var x03=(-b+Math.sqrt(y1))/(8*a)""+Math.sqrt(y2)/Math.abs(8*a)"i" var x04=(-b-Math.sqrt(y1))/(8*a)""+Math.sqrt(y2)/Math.abs(8*a)"i" var x07=(-b+Math.sqrt(y1))/(8*a)"-"+Math.sqrt(y2)/Math.abs(8*a)"i" var x08=(-b-Math.sqrt(y1))/(8*a)"-"+Math.sqrt(y2)/Math.abs(8*a)"i" if(G+Math.sign(E)*Math.sqrt((D+Math.cbrt(z1)+Math.cbrt(z2))/3)+Math.sqrt((2*D-Math.cbrt(z1)-Math.cbrt(z2)+2*Math.sqrt(z))/3)>=0) { var x01=(-b+Math.sqrt(G+Math.sign(E)*Math.sqrt((D+Math.cbrt(z1)+Math.cbrt(z2))/3)+Math.sqrt((2*D-Math.cbrt(z1)-Math.cbrt(z2)+2*Math.sqrt(z))/3)))/(8*a) var x05=(-b-Math.sqrt(G+Math.sign(E)*Math.sqrt((D+Math.cbrt(z1)+Math.cbrt(z2))/3)+Math.sqrt((2*D-Math.cbrt(z1)-Math.cbrt(z2)+2*Math.sqrt(z))/3)))/(8*a) } else { var x01=-b/(8*a)""+Math.sqrt(-(G+Math.sign(E)*Math.sqrt((D+Math.cbrt(z1)+Math.cbrt(z2))/3)+Math.sqrt((2*D-Math.cbrt(z1)-Math.cbrt(z2)+2*Math.sqrt(z))/3)))/Math.abs(8*a)"i" var x05=-b/(8*a)"-"+Math.sqrt(-(G+Math.sign(E)*Math.sqrt((D+Math.cbrt(z1)+Math.cbrt(z2))/3)+Math.sqrt((2*D-Math.cbrt(z1)-Math.cbrt(z2)+2*Math.sqrt(z))/3)))/Math.abs(8*a)"i" } if(G+Math.sign(E)*Math.sqrt((D+Math.cbrt(z1)+Math.cbrt(z2))/3)-Math.sqrt((2*D-Math.cbrt(z1)-Math.cbrt(z2)+2*Math.sqrt(z))/3)>=0) { var x02=(-b+Math.sqrt(G+Math.sign(E)*Math.sqrt((D+Math.cbrt(z1)+Math.cbrt(z2))/3)-Math.sqrt((2*D-Math.cbrt(z1)-Math.cbrt(z2)+2*Math.sqrt(z))/3)))/(8*a) var x06=(-b-Math.sqrt(G+Math.sign(E)*Math.sqrt((D+Math.cbrt(z1)+Math.cbrt(z2))/3)-Math.sqrt((2*D-Math.cbrt(z1)-Math.cbrt(z2)+2*Math.sqrt(z))/3)))/(8*a) } else { var x02=-b/(8*a)""+Math.sqrt(-(G+Math.sign(E)*Math.sqrt((D+Math.cbrt(z1)+Math.cbrt(z2))/3)-Math.sqrt((2*D-Math.cbrt(z1)-Math.cbrt(z2)+2*Math.sqrt(z))/3)))/Math.abs(8*a)"i" var x06=-b/(8*a)"-"+Math.sqrt(-(G+Math.sign(E)*Math.sqrt((D+Math.cbrt(z1)+Math.cbrt(z2))/3)-Math.sqrt((2*D-Math.cbrt(z1)-Math.cbrt(z2)+2*Math.sqrt(z))/3)))/Math.abs(8*a)"i" } } else if(H==0 && K==0 && M==0 && delta0 && F>0) { if(4*G+2*Math.sqrt(2*D+2*Math.sqrt(A-F))+2*Math.sqrt(2*D-2*Math.sqrt(A-F))>=0) { var x01=(-2*b+Math.sqrt(4*G+2*Math.sqrt(2*D+2*Math.sqrt(A-F))+2*Math.sqrt(2*D-2*Math.sqrt(A-F))))/(16*a) var x05=(-2*b-Math.sqrt(4*G+2*Math.sqrt(2*D+2*Math.sqrt(A-F))+2*Math.sqrt(2*D-2*Math.sqrt(A-F))))/(16*a) } else { var x01=-b/(8*a)""+Math.sqrt(-(4*G+2*Math.sqrt(2*D+2*Math.sqrt(A-F))+2*Math.sqrt(2*D-2*Math.sqrt(A-F))))/Math.abs(16*a)"i" var x05=-b/(8*a)"-"+Math.sqrt(-(4*G+2*Math.sqrt(2*D+2*Math.sqrt(A-F))+2*Math.sqrt(2*D-2*Math.sqrt(A-F))))/Math.abs(16*a)"i" } if(4*G+2*Math.sqrt(2*D+2*Math.sqrt(A-F))-2*Math.sqrt(2*D-2*Math.sqrt(A-F))>=0) { var x02=(-2*b+Math.sqrt(4*G+2*Math.sqrt(2*D+2*Math.sqrt(A-F))-2*Math.sqrt(2*D-2*Math.sqrt(A-F))))/(16*a) var x06=(-2*b-Math.sqrt(4*G+2*Math.sqrt(2*D+2*Math.sqrt(A-F))-2*Math.sqrt(2*D-2*Math.sqrt(A-F))))/(16*a) } else { var x02=-b/(8*a)""+Math.sqrt(-(4*G+2*Math.sqrt(2*D+2*Math.sqrt(A-F))-2*Math.sqrt(2*D-2*Math.sqrt(A-F))))/Math.abs(16*a)"i" var x06=-b/(8*a)"-"+Math.sqrt(-(4*G+2*Math.sqrt(2*D+2*Math.sqrt(A-F))-2*Math.sqrt(2*D-2*Math.sqrt(A-F))))/Math.abs(16*a)"i" } if(4*G-2*Math.sqrt(2*D+2*Math.sqrt(A-F))+2*Math.sqrt(2*D-2*Math.sqrt(A-F))>=0) { var x03=(-2*b+Math.sqrt(4*G-2*Math.sqrt(2*D+2*Math.sqrt(A-F))+2*Math.sqrt(2*D-2*Math.sqrt(A-F))))/(16*a) var x07=(-2*b-Math.sqrt(4*G-2*Math.sqrt(2*D+2*Math.sqrt(A-F))+2*Math.sqrt(2*D-2*Math.sqrt(A-F))))/(16*a) } else { var x03=-b/(8*a)""+Math.sqrt(-(4*G-2*Math.sqrt(2*D+2*Math.sqrt(A-F))+2*Math.sqrt(2*D-2*Math.sqrt(A-F))))/Math.abs(16*a)"i" var x07=-b/(8*a)"-"+Math.sqrt(-(4*G-2*Math.sqrt(2*D+2*Math.sqrt(A-F))+2*Math.sqrt(2*D-2*Math.sqrt(A-F))))/Math.abs(16*a)"i" } if(4*G-2*Math.sqrt(2*D+2*Math.sqrt(A-F))-2*Math.sqrt(2*D-2*Math.sqrt(A-F))>=0) { var x04=(-2*b+Math.sqrt(4*G-2*Math.sqrt(2*D+2*Math.sqrt(A-F))-2*Math.sqrt(2*D-2*Math.sqrt(A-F))))/(16*a) var x08=(-2*b-Math.sqrt(4*G-2*Math.sqrt(2*D+2*Math.sqrt(A-F))-2*Math.sqrt(2*D-2*Math.sqrt(A-F))))/(16*a) } else { var x04=-b/(8*a)""+Math.sqrt(-(4*G-2*Math.sqrt(2*D+2*Math.sqrt(A-F))-2*Math.sqrt(2*D-2*Math.sqrt(A-F))))/Math.abs(16*a)"i" var x08=-b/(8*a)"-"+Math.sqrt(-(4*G-2*Math.sqrt(2*D+2*Math.sqrt(A-F))-2*Math.sqrt(2*D-2*Math.sqrt(A-F))))/Math.abs(16*a)"i" } } else if(E==0 && D0) { var x01=(-2*b+Math.sqrt(2*G+2*Math.sqrt(G*G-D+2*Math.sqrt(F))))/(16*a)""+Math.sqrt(-2*G+2*Math.sqrt(G*G-D+2*Math.sqrt(F)))/Math.abs(16*a)"i" var x02=(-2*b+Math.sqrt(2*G+2*Math.sqrt(G*G-D-2*Math.sqrt(F))))/(16*a)""+Math.sqrt(-2*G+2*Math.sqrt(G*G-D-2*Math.sqrt(F)))/Math.abs(16*a)"i" var x03=(-2*b-Math.sqrt(2*G+2*Math.sqrt(G*G-D+2*Math.sqrt(F))))/(16*a)""+Math.sqrt(-2*G+2*Math.sqrt(G*G-D+2*Math.sqrt(F)))/Math.abs(16*a)"i" var x04=(-2*b-Math.sqrt(2*G+2*Math.sqrt(G*G-D-2*Math.sqrt(F))))/(16*a)""+Math.sqrt(-2*G+2*Math.sqrt(G*G-D-2*Math.sqrt(F)))/Math.abs(16*a)"i" var x05=(-2*b+Math.sqrt(2*G+2*Math.sqrt(G*G-D+2*Math.sqrt(F))))/(16*a)"-"+Math.sqrt(-2*G+2*Math.sqrt(G*G-D+2*Math.sqrt(F)))/Math.abs(16*a)"i" var x06=(-2*b+Math.sqrt(2*G+2*Math.sqrt(G*G-D-2*Math.sqrt(F))))/(16*a)"-"+Math.sqrt(-2*G+2*Math.sqrt(G*G-D-2*Math.sqrt(F)))/Math.abs(16*a)"i" var x07=(-2*b-Math.sqrt(2*G+2*Math.sqrt(G*G-D+2*Math.sqrt(F))))/(16*a)"-"+Math.sqrt(-2*G+2*Math.sqrt(G*G-D+2*Math.sqrt(F)))/Math.abs(16*a)"i" var x08=(-2*b-Math.sqrt(2*G+2*Math.sqrt(G*G-D-2*Math.sqrt(F))))/(16*a)"-"+Math.sqrt(-2*G+2*Math.sqrt(G*G-D-2*Math.sqrt(F)))/Math.abs(16*a)"i" } else if(E==0 && F0 && F>0) { if(G+Math.sqrt(y1)+Math.sqrt(y2)+Math.sign(E)*Math.sqrt(y3)>=0) { var x01=(-b+Math.sqrt(G+Math.sqrt(y1)+Math.sqrt(y2)+Math.sign(E)*Math.sqrt(y3)))/(8*a) var x05=(-b-Math.sqrt(G+Math.sqrt(y1)+Math.sqrt(y2)+Math.sign(E)*Math.sqrt(y3)))/(8*a) } else { var x01=-b/(8*a)""+Math.sqrt(-(G+Math.sqrt(y1)+Math.sqrt(y2)+Math.sign(E)*Math.sqrt(y3)))/Math.abs(8*a)"i" var x05=-b/(8*a)"-"+Math.sqrt(-(G+Math.sqrt(y1)+Math.sqrt(y2)+Math.sign(E)*Math.sqrt(y3)))/Math.abs(8*a)"i" } if(G-Math.sqrt(y1)-Math.sqrt(y2)+Math.sign(E)*Math.sqrt(y3)>=0) { var x02=(-b+Math.sqrt(G-Math.sqrt(y1)-Math.sqrt(y2)+Math.sign(E)*Math.sqrt(y3)))/(8*a) var x06=(-b-Math.sqrt(G-Math.sqrt(y1)-Math.sqrt(y2)+Math.sign(E)*Math.sqrt(y3)))/(8*a) } else { var x02=-b/(8*a)""+Math.sqrt(-(G-Math.sqrt(y1)-Math.sqrt(y2)+Math.sign(E)*Math.sqrt(y3)))/Math.abs(8*a)"i" var x06=-b/(8*a)"-"+Math.sqrt(-(G-Math.sqrt(y1)-Math.sqrt(y2)+Math.sign(E)*Math.sqrt(y3)))/Math.abs(8*a)"i" } if(G+Math.sqrt(y1)-Math.sqrt(y2)-Math.sign(E)*Math.sqrt(y3)>=0) { var x03=(-b+Math.sqrt(G+Math.sqrt(y1)-Math.sqrt(y2)-Math.sign(E)*Math.sqrt(y3)))/(8*a) var x07=(-b-Math.sqrt(G+Math.sqrt(y1)-Math.sqrt(y2)-Math.sign(E)*Math.sqrt(y3)))/(8*a) } else { var x03=-b/(8*a)""+Math.sqrt(-(G+Math.sqrt(y1)-Math.sqrt(y2)-Math.sign(E)*Math.sqrt(y3)))/Math.abs(8*a)"i" var x07=-b/(8*a)"-"+Math.sqrt(-(G+Math.sqrt(y1)-Math.sqrt(y2)-Math.sign(E)*Math.sqrt(y3)))/Math.abs(8*a)"i" } if(G-Math.sqrt(y1)+Math.sqrt(y2)-Math.sign(E)*Math.sqrt(y3)>=0) { var x04=(-b+Math.sqrt(G-Math.sqrt(y1)+Math.sqrt(y2)-Math.sign(E)*Math.sqrt(y3)))/(8*a) var x08=(-b-Math.sqrt(G-Math.sqrt(y1)+Math.sqrt(y2)-Math.sign(E)*Math.sqrt(y3)))/(8*a) } else { var x04=-b/(8*a)""+Math.sqrt(-(G-Math.sqrt(y1)+Math.sqrt(y2)-Math.sign(E)*Math.sqrt(y3)))/Math.abs(8*a)"i" var x08=-b/(8*a)"-"+Math.sqrt(-(G-Math.sqrt(y1)+Math.sqrt(y2)-Math.sign(E)*Math.sqrt(y3)))/Math.abs(8*a)"i" } } else { var x01=(-2*b+Math.sqrt(2*G+2*Math.sqrt(y1)+2*Math.sqrt(G*G+2*G*Math.sqrt(y1)+2*y1-D-2*Math.sign(E)*Math.sqrt(y2*y3))))/(16*a)""+Math.sqrt(-2*G-2*Math.sqrt(y1)+2*Math.sqrt(G*G+2*G*Math.sqrt(y1)+2*y1-D-2*Math.sign(E)*Math.sqrt(y2*y3)))/Math.abs(16*a)"i" var x02=(-2*b-Math.sqrt(2*G+2*Math.sqrt(y1)+2*Math.sqrt(G*G+2*G*Math.sqrt(y1)+2*y1-D-2*Math.sign(E)*Math.sqrt(y2*y3))))/(16*a)""+Math.sqrt(-2*G-2*Math.sqrt(y1)+2*Math.sqrt(G*G+2*G*Math.sqrt(y1)+2*y1-D-2*Math.sign(E)*Math.sqrt(y2*y3)))/Math.abs(16*a)"i" var x03=(-2*b+Math.sqrt(2*G-2*Math.sqrt(y1)+2*Math.sqrt(G*G-2*G*Math.sqrt(y1)+2*y1-D+2*Math.sign(E)*Math.sqrt(y2*y3))))/(16*a)""+Math.sqrt(-2*G+2*Math.sqrt(y1)+2*Math.sqrt(G*G-2*G*Math.sqrt(y1)+2*y1-D+2*Math.sign(E)*Math.sqrt(y2*y3)))/Math.abs(16*a)"i" var x04=(-2*b-Math.sqrt(2*G-2*Math.sqrt(y1)+2*Math.sqrt(G*G-2*G*Math.sqrt(y1)+2*y1-D+2*Math.sign(E)*Math.sqrt(y2*y3))))/(16*a)""+Math.sqrt(-2*G+2*Math.sqrt(y1)+2*Math.sqrt(G*G-2*G*Math.sqrt(y1)+2*y1-D+2*Math.sign(E)*Math.sqrt(y2*y3)))/Math.abs(16*a)"i" var x05=(-2*b+Math.sqrt(2*G+2*Math.sqrt(y1)+2*Math.sqrt(G*G+2*G*Math.sqrt(y1)+2*y1-D-2*Math.sign(E)*Math.sqrt(y2*y3))))/(16*a)"-"+Math.sqrt(-2*G-2*Math.sqrt(y1)+2*Math.sqrt(G*G+2*G*Math.sqrt(y1)+2*y1-D-2*Math.sign(E)*Math.sqrt(y2*y3)))/Math.abs(16*a)"i" var x06=(-2*b-Math.sqrt(2*G+2*Math.sqrt(y1)+2*Math.sqrt(G*G+2*G*Math.sqrt(y1)+2*y1-D-2*Math.sign(E)*Math.sqrt(y2*y3))))/(16*a)"-"+Math.sqrt(-2*G-2*Math.sqrt(y1)+2*Math.sqrt(G*G+2*G*Math.sqrt(y1)+2*y1-D-2*Math.sign(E)*Math.sqrt(y2*y3)))/Math.abs(16*a)"i" var x07=(-2*b+Math.sqrt(2*G-2*Math.sqrt(y1)+2*Math.sqrt(G*G-2*G*Math.sqrt(y1)+2*y1-D+2*Math.sign(E)*Math.sqrt(y2*y3))))/(16*a)"-"+Math.sqrt(-2*G+2*Math.sqrt(y1)+2*Math.sqrt(G*G-2*G*Math.sqrt(y1)+2*y1-D+2*Math.sign(E)*Math.sqrt(y2*y3)))/Math.abs(16*a)"i" var x08=(-2*b-Math.sqrt(2*G-2*Math.sqrt(y1)+2*Math.sqrt(G*G-2*G*Math.sqrt(y1)+2*y1-D+2*Math.sign(E)*Math.sqrt(y2*y3))))/(16*a)"-"+Math.sqrt(-2*G+2*Math.sqrt(y1)+2*Math.sqrt(G*G-2*G*Math.sqrt(y1)+2*y1-D+2*Math.sign(E)*Math.sqrt(y2*y3)))/Math.abs(16*a)"i" } } document.getElementById("x01").innerHTML=x01 document.getElementById("x02").innerHTML=x02 document.getElementById("x03").innerHTML=x03 document.getElementById("x04").innerHTML=x04 document.getElementById("x05").innerHTML=x05 document.getElementById("x06").innerHTML=x06 document.getElementById("x07").innerHTML=x07 document.getElementById("x08").innerHTML=x08 } |

