概念
體積是指物質或物體所占空間的大小,占據一特定容積的物質的量(表示三維立體圖形大小)。
示例1:木箱的體積為3立方米;
2:電解水時放出二體積的氫與一體積的氧。
歷史發展
v[物體體積的簡稱]中國,也是世界上最早得出計算球體積正確公式的是南朝數學家祖沖之,比歐洲人約早一千年。他還精心鑽研天算之術(指天文數學),精治大明曆,經他再三請求,於510年得以正式頒行,他還製成銅日晷(一種用測日影的方法來計時的儀器)、漏壺等精密觀察儀器多種,為後世所取法。
(右圖為世界上第一個計算出球的體積的人-----中國古代著名數學家祖沖之)
體積,物體所占空間的大小叫做物體的體積 。體積的國際單位制是立方米。一件固體物件的體積是一個數值用以形容該物件在三維空間所占有的空間。一維空間物件(如線)及二維空間物件(如正方形)在三維空間中均是零體積的。
常用單位
立方米、立方分米、立方厘米、立方毫米
棱長是1毫米的正方體,體積是1立方毫米
棱長是1厘米的正方體,體積是1立方厘米
棱長是1分米的正方體,體積是1立方分米
棱長是1米的正方體,體積是1立方米
單位換算
1立方分米=1000立方厘米=1000000立方毫米=1升=1000毫升=0.061 立方英寸
1立方厘米=1000立方毫米=1毫升=0.000061 立方英寸
1 立方米=1000 立方分米=1000000立方厘米=1000000000立方毫米=0.353 立方英尺=1.3079 立方碼
1 立方英寸=0.016387 立方分米=16.387立方厘米=16387立方毫米
1立方英尺=28.3立方分米=28300立方厘米=28300000立方毫米
1 立方碼=27 立方英尺=0.7646 立方米=164.6立方分米=164600立方厘米=164600000立方毫米
1 立方尺 = 31.143蒲式耳(英) = 32.143 蒲式耳(美)
1 加侖(美) =0.0037854118 立方米 =0.8326741845 加侖(英)
計算方法
長方體,正方體和圓柱體積公式是用於計算體積的公式,即計算各種幾何體體積的數學算式。比如:圓柱、稜柱、錐體、台體、球、橢球等。
體積公式:計算各種由平面和曲面所圍成。
一般來說一個幾何體是由面、交線(面與面相交處)、交點(交線的相交處或是曲面的收斂處)而構成的圖形的體積的數學算式 。
下面是各種不同圖形體積計算公式:
v[物體體積的簡稱]長方體: (長方體體積=長×寬×高)
v[物體體積的簡稱]正方體: (正方體體積=棱長×棱長×棱長)
v[物體體積的簡稱]圓柱(正圓): 【圓柱(正圓)體積=圓周率×(底半徑×底半徑)×高】
v[物體體積的簡稱]以上立體圖形的體積都可歸納為: (底面積×高)
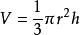
v[物體體積的簡稱]圓錐(正圓): 【圓錐(正圓)體積=圓周率×底半徑×底半徑×高/3】
v[物體體積的簡稱]角錐: 【角錐體積=底面積×高/3】
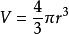
v[物體體積的簡稱]球體: 【球體體積=4/3(圓周率×半徑的三次方)】
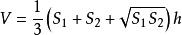
v[物體體積的簡稱]稜台: 註: V:體積;S1:上表面積;S2:下表面積;H:高。
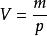
v[物體體積的簡稱]物理公式:
![v[物體體積的簡稱] v[物體體積的簡稱]](/img/9/881/nBnauM3X0AjMzITOxYTOwMzM1UTM1QDN5MjM5ADMwAjMwUzL2kzLzczLt92YucmbvRWdo5Cd0FmL0E2LvoDc0RHa.jpg)
