定義和計算
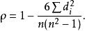
斯皮爾曼相關係數被定義成等級變數之間的皮爾遜相關係數。對於樣本容量為 n的樣本, n個原始數據被轉換成等級數據,相關係數ρ為
spearman相關係數原始數據依據其在總體數據中平均的降序位置,被分配了一個相應的等級。如下表所示:
| 變數Xi | 降序位置 | 等級xi |
| 0.8 | 5 | 5 |
| 1.2 | 4 | |
| 1.2 | 3 | |
| 2.3 | 2 | 2 |
| 18 | 1 | 1 |
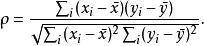
實際套用中,變數間的連結是無關緊要的,於是可以通過簡單的步驟計算ρ.被觀測的兩個變數的等級的差值,則ρ為
spearman相關係數相關度量
度量一對觀測數據的統計依賴性還有其他的幾種度量指標:在相關性和依賴性中有談及。其中最常用的是皮爾遜積矩相關係數。
斯皮爾曼相關也可稱為"級別相關";也就是說,被觀測數據的"等級"被替換成"級別"。在連續的分布中,被觀測數據的級別,通常總是小於等級的一半。然而,在這個案例中,級別和等級相關係數是一致的。更一般的,被觀測數據的"級別"與估計的總體樣本的比值小於給定的值,即被觀測值的一半。也就是說,它是相應的等級係數的一種可能的解決方案。雖然不常用,"級別相關"還是仍然有被使用。
解釋
斯皮爾曼相關係數表明X(獨立變數)和Y(依賴變數)的相關方向。如果當X增加時,Y趨向於增加,斯皮爾曼相關係數則為正。如果當X增加時,Y趨向於減少,斯皮爾曼相關係數則為負。斯皮爾曼相關係數為零表明當X增加時Y沒有任何趨向性。當X和Y越來越接近完全的單調相關時,斯皮爾曼相關係數會在絕對值上增加。當X和Y完全單調相關時,斯皮爾曼相關係數的絕對值為1。完全的單調遞增關係意味著任意兩對數據X,Y和X,Y,有X−X和Y−Y總是同號。完全的單調遞減關係意味著任意兩對數據X,Y和X,Y,有X−X和Y−Y總是異號。
斯皮爾曼相關係數經常被稱作"非參數"的。這裡有兩層含義。首先,當X和Y的關係是由任意單調函式描述的,則它們是完全皮爾遜相關的。與此相應的,皮爾遜相關係數只能給出由線性方程描述的X和Y的相關性。其次,斯皮爾曼不需要先驗知識(也就是說,知道其參數)便可以準確獲取XandY的採樣機率分布。
顯著性的確定
一種確定被觀測數據的ρ值是否顯著不為零( r總是有1≥ r≥−1)的方法是計算它是否大於 r的機率,作為原假設,並使用分層排列測試進行檢驗。這種方法的優勢之處在於它考慮了樣本中的數據個數和在使用樣本計算等級相關係數的風險。
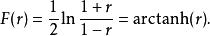
另外的一種方法是使用皮爾遜積矩中使用到的費雪變換。也就是,ρ的置信區間和零檢驗可以通過費雪變換獲得
spearman相關係數如果 F( r)是 r的Fisher變換,則
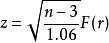
spearman相關係數是 r的z-值,其中, r在統計依賴(ρ=0)的零假設下近似服從標準常態分配。
顯著性為
spearman相關係數其在零假設下近似服從自由度為 n−2的t分布。
一般地,斯皮爾曼相關係數在有三個或更多條件的情況下是有用的。並且,它預測觀測數據有一個特定的順序。 例如,在同一任務中,一系列的個體會被嘗試多次,並預測在多次嘗試過程中,性能會得到提升。在這種情況下,對條件間趨勢的顯著性檢驗由E. B. Page發展了,並通常稱為給定序列下的Page趨勢測驗。
一致性分析
經典的一致性分析是一種統計方法,它給兩個標稱變數賦給一個分數。 通過這種方法, 兩個變數間的皮爾遜相關係數被最大化了。
有一種被稱為級別相關分析的等價方法, 它最大化了斯皮爾曼相關係數或肯德爾相關係數。

