簡介
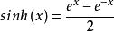
函式名: sinh
功 能: 雙曲正弦函式
sinh用 法:
sinh
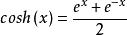
sinh公式與關係: 是雙曲正弦函式。 是雙曲餘弦函式。
帶h的都是雙曲函式。
sinh導數:
常用公式
sinh
sinh
sinh
sinh
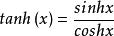
sinh函式關係
三角函式 和 雙曲函式 關係:(i是複數虛部符號)
sinh
sinh
sinh
sinh
sinh雙曲函式被如此命名大概是因參數曲線(sinh t, cosh t) 所描述的是一條雙曲線.
程式例:

sinh為雙曲正弦函式,用 法: sinh(x)。
函式名: sinh
功 能: 雙曲正弦函式
sinh用 法:
sinh
sinh公式與關係: 是雙曲正弦函式。 是雙曲餘弦函式。
帶h的都是雙曲函式。
sinh導數:
sinh
sinh
sinh
sinh
sinh三角函式 和 雙曲函式 關係:(i是複數虛部符號)
sinh
sinh
sinh
sinh
sinh雙曲函式被如此命名大概是因參數曲線(sinh t, cosh t) 所描述的是一條雙曲線.
程式例:
sinh為雙曲正弦函式,用 法: sinh(x)。
簡介 常用公式 函式關係,如Sin,Cos,sinh,Cosh等函式,由J. Volder...得到。 相類似地,sinh/cosh的計算利用以下公式: cosh(a+b) = cosh(a)cosh(b) + sinh...
CORDIC 理論 現實意義cosh(double x);公式與關係sinh是雙曲正弦函式。cosh是雙曲餘弦函式。帶h的都是雙曲函式。sinh(x)=(exp(x) - exp...)) / 2.0;tanh(x) = sinh(x) / cosh(x...
函式名: 功 能: 用 法 公式與關係t,sinh t) 定義了右半直角雙曲線x^2- y^2= 1。這基於... 軸和連線原點和雙曲線上的點 (cosh t,sinh t) 的直線之間... sinh x 是奇函式,就是說 -sinh x = sinh (-x) 且...
定義 函式性質 與三角函式關係 恆等式 導數Mum-Ha常常跪在女神像前默默地冥想,他養在廟裡的漂亮白色貓咪Sinh...。Mum-Ha死後,Sinh將它的腳放在主人的身上並將臉朝向女神像。正在...的,象徵著純潔。第二天早上,廟裡的一百多隻白貓全都變成Sinh一樣的顏色...
飼養 外形特徵 食物禁忌 清潔 是否易養Mum-Ha常常跪在女神像前默默地冥想,他養在廟裡的漂亮白色貓咪Sinh...。Mum-Ha死後,Sinh將它的腳放在主人的身上並將臉朝向女神像。正在...的,象徵著純潔。第二天早上,廟裡的一百多隻白貓全都變成Sinh一樣的顏色...
飼養 外形特徵 食物禁忌 清潔 是否易養函式也是初等函式,如sinh的名稱是雙曲正弦或超正弦,cosh是雙曲餘弦...θ/2,點M的坐標視為θ的函式,並記為coshθ和sinhθ,即有表示式cosh θ-sinh θ=1。 冪函式 部分冪函式圖像 初等函式 形如...
概念 常用函式 在複數域的推廣 導數與微積分函式定義太陽高度角簡稱太陽高度(其實是角度)。太陽高度是決定地球表面獲得太陽熱能數量的最重要的因素。我們用h來表示這個角度,它在數值...
定義 赤緯算法 意義 變化規律 發展歷程