含義
SGMII: Serial Gigabit Media Independent Interface 的縮寫,即串列千兆位媒質獨立接口(如千兆位乙太網) SGM,Shanghai General motors,即上海通用的簡稱
電腦GBA存檔:sgm
SGM, abbr. Ship-to-Ground (guided) Missile 艦對地飛彈 ——《簡明英漢詞典》
SGM:上海通用汽車(英文Shanghai General Motors的縮寫)
Suppressor Grid Modulated 抑制柵調製的 ——《現代英漢綜合大辭典》
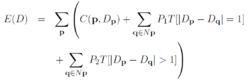
SGM: Semi-global Matching 的縮寫,是一種最佳化的稠密立體匹配(dense stereo matching)技術。相對於原技術有以下優點:1 使用‘互動信息’(Mutual information)的方法,最佳化匹配代價計算(matching costs)。 2 可以使用一維最佳化達到二維最佳化的目的,從而大大的減少了計算量。
互動信息算法:
sgm優點
1 相對於一維最佳化來說,沒有水平形變和平移。 2 ’互動信息‘估算能耗十分精準,快捷。 缺點:1 差別圖範圍(disparity image range)需要提前計算。 2 計算時間隨著差別圖範圍增加而增長,使用分級處理法(hierarchy processing)十分重要。

