基本介紹
在解析幾何和數學分析中,我們對一維歐幾里得空間R¹(即R,實直線),二維歐幾里得空間R²(即實平面)和三維歐幾里得空間R³(即現實的三維立體空間)有了比較深入的了解。現在,我們討論n維歐幾里得空間。
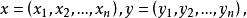
n維歐幾里得空間定義1 設n是正整數,由n個實數構成的有序數組的全體組成的集合,稱為 n維點集或 n維歐幾里得空間,記作Rⁿ,即
n維歐幾里得空間相關概念及性質
為了深入研究行維點集Rⁿ中鄰域、有界集、點列收斂等概念,需要對Rⁿ中的點之間定義距離。為了使問題討論適用於更廣泛的情形,我們對一般的集合給出距離的概念 。
定義2 設X是一個非空集合,如果對於X中任何兩個元素x和y,都有一個確定的實數,記為ρ(x,y),與之對應,且滿足下面三個條件,則稱ρ是X上的一個 距離,稱ρ(x,y)是x和y之間的距離,而稱X是以ρ為距離的距離空間(或度量空間),記為(X,ρ)。這三個條件是:
(1)非負性,ρ(x,y)≥0,而且ρ(x,y)=0若且唯若x=y;
(2)對稱性,ρ(x,y)=ρ(y,z);
(3)三角不等式,ρ(x,y)≤ρ(x,z)+ρ(z,y),這裡z也是X中的任意一個元素。
n維歐幾里得空間
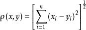
n維歐幾里得空間對於Rⁿ中的任意兩點定義實函式,則ρ(x,y)滿足距離的三個條件(1),(2),(3),稱ρ為Rⁿ上的 歐幾里得距離,稱(Rⁿ,ρ)為n維歐幾里得空間。
定義3設P∈Rⁿ是一固定點,δ>0為一實數,則集合{P|ρ(P,P)<δ)稱為以P為中心的δ鄰域,記作U(P,δ)。
P稱為鄰域的中心,δ稱為鄰域的半徑,某鄰域當不需要指出半徑時,可以簡單地說是P的某鄰域,記作U(P),顯然,在R,R ,R 中的鄰域U(P,δ),就分別是以P為中心以δ為半徑的開區間、開圓和開球。
容易證明鄰域具有如下基本性質:
n維歐幾里得空間(1)對於Q∈U(P),存在U(Q)U(P);
(2)對於P≠Q,存在U(P)和U(Q),使U(P)∩U(Q)=∅。
n維歐幾里得空間
n維歐幾里得空間定義4設{P)是R 中一個點列,P∈R ,如果當k→∞時,有ρ(P,P)→0,則稱點列{P}收斂於P,記為或。
n維歐幾里得空間
n維歐幾里得空間用鄰域的語言來說,就是:對P的任意鄰域U(P),存在K∈N ,使當k>K時,P∈U(P).
n維歐幾里得空間
n維歐幾里得空間用“ε一N”語言來說,就是:對任意的ε>0,存在K∈N ,使當k>K時,ρ(P,P)<ε.
定義5設A,B是兩個非空點集,A與B的距離定義為
n維歐幾里得空間