定義
circ函式是不可分離變數的二元函式。
描述無窮大不透明屏上半徑為1的圓孔的透過率。
其函式表達式為:
函式表達式
circ函式是不可分離變數的二元函式。 其函式表達式為: 函式表達式
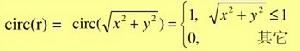
circ函式是不可分離變數的二元函式。
描述無窮大不透明屏上半徑為1的圓孔的透過率。
其函式表達式為:
函式表達式circ函式是不可分離變數的二元函式。 其函式表達式為: 函式表達式
定義ezmesh用於二元符號函式的3D可視化,常用的調用格式如下:(1)ezmesh(f):畫出二元符號函式f=f(x,y)的格線圖。函式f將顯示...根據函式變動的激烈程度自動選擇相應的計算柵格。若函式f在某些柵格點上沒有...
° 範圍內,如果正弦函式 sin 的自變數和因變數都要求是有理數,那么答案只有[1]: \sin0^\circ=0 。 \sin30^\circ=\frac12 。 \sin90^\circ=1 。 若用弧度表示,需在0...
調用格式EZSURF(FUN) 使用surf功能繪製 FUN(X,Y)函式的圖,默認區間為 -2*PI X 2*PI, -2*PI... value for N is 60.)EZSURF(...,'circ...
調用格式 套用舉例