簡介
調幅(Amplitude Modulation,AM)。調幅也就是通常說的中波,範圍在530---1600KHz。調幅是用聲音的高低變為幅度的變化的電信號。傳輸距離較遠,但受天氣因素影響較大,適合省際電台的廣播。早期VHF頻段的移動通信電台大都採用調幅方式,由於信道衰落會使模擬調幅產生附加調幅,造成失真,在傳輸的過程中也很容易被竊聽,目前已很少採用。目前在簡單通信設備中還有採用,如收音機中的AM波段就是調幅波,音質和FM波段調頻波相比較差。
分類
振幅調製可分為普通調幅(AM),雙邊帶調幅(DSB-AM),單邊帶調幅(SSB-AM)與殘留邊帶調幅(VSB-AM)幾種不同方式。
雙邊帶調幅
雙邊帶調幅信號中僅包含兩個邊頻,無載波分量,其頻頻寬度仍為調製信號頻率的2倍。
單邊帶調幅
單邊帶調幅信號中僅包含一個邊頻。
殘留邊帶調幅
殘留邊帶調幅是指信號傳送信號中包括一個完整邊帶、載波及另一個邊帶的小部分的調幅方法。
普通調幅信號的波形及表達式
設載波 u( t)的表達式和調製信號 u( t)的表達式分別為:
am[調幅(AmplitudeModulation)]
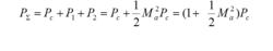
am[調幅(AmplitudeModulation)]根據調幅的定義,當載波的振幅值隨調製信號的大小作線性變化時,即為調幅信號,則已調波的波形如上圖(c)所示,圖(a)、(b)則分別為調製信號和載波的波形。由圖可見,已調幅波振幅變化的包絡形狀與調製信號的變化規律相同,而其包絡內的高頻振盪頻率仍與載波頻率相同,表明已調幅波實際上是一個高頻信號。可見,調幅過程只是改變載波的振幅,使載波振幅與調製信號成線性關係,即使 U變為 U+ K Ucos Ωt,據此,可以寫出已調幅波表達式為:
am[調幅(AmplitudeModulation)]M稱為調幅係數, U表示調幅波包絡的最大值, U表示調幅波包絡的最小值。 M表明載波振幅受調製控制的程度,一般要求0≤ M≤1,以便調幅波的包絡能正確地表現出調製信號的變化。 M>1的情況稱為過調製, 下圖所示為不同 M時的已調波波形。
am[調幅(AmplitudeModulation)]為了分析調幅信號所包含的頻率成分,可將式(4-3)按三角函式公式展開,得
am[調幅(AmplitudeModulation)]可見,在已調波中包含三個頻率成分: ω、 ω+ Ω和 ω- Ω。 ω+ Ω稱為上邊頻, ω- Ω稱為下邊頻。由此而得到調幅波的頻譜如下圖所示。
am[調幅(AmplitudeModulation)]由調幅波的頻譜可得,調幅波的頻頻寬度為 BW=2 F ,式中, F為調製頻率。
(1)若調製信號為複雜的多頻信號,則其頻譜如下圖所示。
am[調幅(AmplitudeModulation)]例如語音信號的頻率範圍為300~3400Hz,則語音信號的調幅波頻寬為2× 3400=6800Hz。觀察調幅波的頻譜發現,無論是單音頻調製信號還是複雜的調製信號,其調製過程均為頻譜的線性搬移過程,即將調製信號的頻譜不失真地搬移到載頻的兩旁。因此,調幅稱為線性調製。調幅電路則屬於頻譜的線性搬移電路。
(2)若調製信號為單頻餘弦信號,負載電阻為 R,則已調波的功率主要有以下幾種。
1.載波功率
am[調幅(AmplitudeModulation)]2.上、下邊頻功率
am[調幅(AmplitudeModulation)]3.總平均功率
am[調幅(AmplitudeModulation)]4.最大瞬時功率
am[調幅(AmplitudeModulation)]普通調幅信號的產生和解調方法
普通調幅信號的產生
普通調幅信號的產生可將調製信號與直流相加,再與載波信號相乘,即可實現普通調幅。可採用低電平調幅方法和高電平調幅方法。
解調方法
(1)包絡檢波
利用普通調幅信號的包絡反映調製信號波形變化這一特點,如能包絡提取出來,就可以恢復原來的調製信號。
(2)同步檢波
同步檢波必須採用一個與發射端載波同頻率同相的信號,這個信號稱為同步信號。
注意:雙邊帶調幅、單邊帶調幅和殘留邊帶調幅只能採用同步檢波。
調幅電路
調幅電路原理主要分為兩類:高電平調幅電路和低電平調幅電路,具體如下:
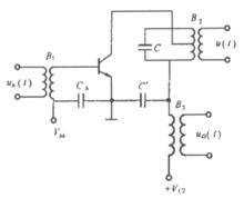
am[調幅(AmplitudeModulation)]高電平調幅
高電平調幅要求電路的輸出功率足夠大。電路在調幅的同時,還進行功率放大。調製過程通常是在丙類放大級進行的。根據調製信號控制的電極不同,調製方法主要有集電極調幅、基極調幅、發射極調幅。
1 、集電極調幅
am[調幅(AmplitudeModulation)](1)集電極調幅電路的特點是:
低頻調製信號加到集電極迴路,B、B為高頻變壓器;B為低頻變壓器。低頻調製信號u(t)與丙類放大器的直流電源相串聯,因此放大器的有效集電極電源電壓V(t)等於兩個電壓之和,它隨調製信號變化而變化。圖中的電容C、C`是高頻旁路電容,C`的作用是避免高頻電流通過調製變壓器B的次級線圈以及直流電源,因此它對高頻相當於短路,而對調製信號頻率應相當於開路.
對於丙類高頻功率故大器,當基極偏置Vbb、高頻激勵信號電壓振幅Ubm和集電極迴路阻抗Rp不變,只改變集電極有效電源電壓時,集電極電流脈衝在欠壓區可認為不變。而在過壓區,集電極電流脈衝幅度將隨集電極有效電源電壓的變化而變。因此,集電極調幅必須工作於過壓區。
(2)集電極調幅只能產生普通調幅波。
優點是:調幅線性比基極調幅好。此外,由於集電極調幅 始終工作在臨界和弱過壓區,故效率比較高。
缺點是:調製信號接在集電極迴路中供給的功率比較大。
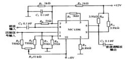
2 、基極調幅
am[調幅(AmplitudeModulation)]基極調幅電路的特點是調製信號加在基極迴路。圖中C、C為高頻旁路電容;C為低頻旁路電容;B為高頻變壓器;B為低頻變壓器;LC迴路為帶通濾波器。應保證迴路調諧於ω,通帶為2Ω。
基極調幅的原理是利用丙類功率放大器在電源電壓Vcc、輸入信號振幅Ubm、諧振電阻Rp不變的條件下,在欠壓區改變Vbb,其輸出電流隨Vbb接近線性變化這一特性來實現調幅的。
基極調幅的優點是:由於調製信號接在基極迴路,對於調製信號只需很小的功率。
缺點是:效率較低,調製線性不如集電極調幅。
低電平調幅電路
(1) 模擬乘法器調幅電路
作用:實現兩個模擬信號相乘
符號:
am[調幅(AmplitudeModulation)]電路圖:
am[調幅(AmplitudeModulation)](2)二極體調製電路
二極體調製電路包括單二極體調製電路、二極體平衡電路、二極體雙平衡調製電路等。
1)單二極體電路
單二極體電路如下圖所示。
am[調幅(AmplitudeModulation)]當二極體兩端的電壓UD大於二極體的導通電壓時,二極體導通,流過二極體的電流與加在兩端的電壓成正比;當二極體兩端的電壓UD小於二極體的導通電壓時,二極體截止,電流為0;二極體等效為一個受控開關。控制電壓為二極體兩端電壓UD。
當Ucm>>UΩm且Ucm為大信號(>0.5V)時,可進一步認為二極體的通斷主要由Uc控制。一般情況下二極體的開啟電壓UP較小,有Ucm>>UP,可令UP近似為0或在電路中加一固定偏置電壓來抵消UP。忽略輸出電壓的反作用,用開關函式分析法則可得到
am[調幅(AmplitudeModulation)]可得到相應的頻譜圖如下:
am[調幅(AmplitudeModulation)]將它通過以ωc為中心、通頻帶2Ω為的帶通濾波器後,可得到調幅波。
這裡的分析忽略了輸出電壓的反作用。是因為輸出電壓的相對於Uc而言很小。若考慮反作用,輸出電壓對二極體兩端的電壓影響不大,頻率分量不會變化,可能使輸出信號幅度降低(rDàrD+RL)。
另外,如果不滿足大信號條件,不能用開關函式分析法或線性時變分析法,但可用冪級數分析法,可以知道該電路仍然可以完成頻譜的線性搬移功能。
2)二極體平衡調製器
在單二極體電路中,由於工作線上性時變工作狀態,因而二極體產生的頻率分量大大減少了,但在產生的頻率分量中,仍然有不少不必要的頻率分量,因此有必要進一步減少一些頻率分量。
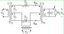
二極體平衡電路可以滿足這一要求。其原理電路如下圖。
am[調幅(AmplitudeModulation)]該電路由兩個性能一致的二極體及中心抽頭變壓器Tr1、Tr2接成平衡電路。電路上下兩部分完全一樣。控制信號(載波信號)加在兩個變壓器的中心抽頭處,輸入信號(調製信號)接在輸入變壓器,即載波信號同相加到D1、D2上;調製信號u2反相加到D1、D2上輸出變壓器接濾波器,用以濾除無用的頻率分量。從Tr2次向右看的負載電阻為RL。則該電路可等效成如下的原理電路形式。
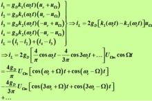
am[調幅(AmplitudeModulation)]由於加到兩個二極體的控制電壓是同相的,利用開關函式分析法,可得到負載上總電流為
am[調幅(AmplitudeModulation)]其頻譜圖如下:
am[調幅(AmplitudeModulation)]與單二極體電路相比,i含有頻譜:Ω、ω1±Ω、3ω1±Ω、……,經中心角頻率為ωc的3dB頻寬為2Ω 的LC帶通濾波器後,可在負載RL得到頻譜ωc±Ω 電壓分量,可見是實現了DSB調製。這是不難理解的,由於控制電壓uC同相地加在兩個二極體的兩端。當電路完全對稱時,兩個相等的ωC分量互相抵消,因此在輸出中不再有ωC及其諧波分量。即在輸出中,不必要的頻率分量進一步減少了。(DSB調幅)
3 )二極體雙平衡調製器——二極體環形調製器
在二極體平衡調製電路中,通過兩個單二極體電路的上下對稱平衡接法,大大減少了不必要的頻率分量,同時使有用頻率分量的幅度增加了一倍。但依然有不必要的頻率分量如調製信號的頻率分量存在,且所得到的有用頻率分量的幅度依然不是很大。那么,是否可以通過再平衡的方法進一步減少不必要的頻率分量且讓有用分量的幅度再增加一倍呢?
二極體雙平衡電路可以滿足這一要求。其原理電路如圖。
am[調幅(AmplitudeModulation)]該電路由兩個雙二極體平衡電路組成,由於四個二極體環接形成環路,所以該電路又稱二極體環形調製器。載波從變壓器T1接入,調製信號接到兩個變壓器的中心抽頭間,變壓器T2輸出已調信號。
其分析條件與單二極體電路和二極體平衡電路相同。
各二極體工作情況如下圖:
am[調幅(AmplitudeModulation)]則可得,
am[調幅(AmplitudeModulation)]其頻譜圖如下:
am[調幅(AmplitudeModulation)]i中含有頻譜:ωc±Ω ,3ωc±Ω……經中心為ωc、3dB頻寬為2Ω的帶通濾波器後,在負載RL 上可得到頻譜ωc±Ω電壓頻譜分量,實現了DSB調製。
從頻譜圖中可以看出,環形電路在平衡電路的基礎上,又消除了低頻調製信號的頻率分量,且輸出的DSB信號幅度為平衡電路的二倍。其無調製信號分量是兩次平衡抵消的結果,每個平衡電路自身抵消載波及諧波分量,兩個平衡電路抵消調製信號分量,所以環形電路的性能更接近理想相乘器。
![am[調幅(AmplitudeModulation)] am[調幅(AmplitudeModulation)]](/img/8/165/nBnauM3XyQzM4cTM3AjM3IDN0UTMyITNykTO0EDMwAjMwUzLwIzL2AzLt92YucmbvRWdo5Cd0FmLxE2LvoDc0RHa.jpg)
