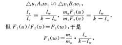
Z形圖尺計算圖Z形圖尺計算圖 (Z chart )一種常用的計算圖.三個變數的直線圖尺成Z形,稱Z形圖尺計算圖.適用於方程式F, Cu) =Fz Cv) " F3 Cw).其原理和作法是:如圖1,Aa,Ba,C。為圖尺原點,u v w,為方程的一組解,以k代表AaB。之長,
Z形圖尺計算圖Z形圖尺計算圖 (Z chart )一種常用的計算圖.三個變數的直線圖尺成Z形,稱Z形圖尺計算圖.適用於方程式F, Cu) =Fz Cv) " F3 Cw).其原理和作法是:如圖1,Aa,Ba,C。為圖尺原點,u v w,為方程的一組解,以k代表AaB。之長,
有:平行圖尺計算圖、Z形圖尺計算圖、匯交圖尺計算圖、有曲線圖尺的計算圖、有圓形圖尺的計算圖、有網線圖尺的計算圖、比例圖尺計算圖、平行指示線計算圖....所謂共線計算圖,是指計算圖各圖尺上符合方程式的一組變數數值位於一條直線上...
算圖(nomograph )又稱諾謨圖或列線圖。圖算法所用的圖。根據運算方程式或實驗結果,套用幾何原理用若干有標尺的線條所繪成的運算用圖。廣泛套用於科學...
算圖 正文 配圖 相關連線、平差計算資料、點之記、控制點坐標成果表、控制點展點圖,技術總結、檢查...檔案或協定計算分攤;無權屬分割檔案或協定的,可按建築面積比例進行計算分攤...比例分攤。 共有建築面積分攤計算的內容如有變化,應以建設部現行的有關...
名稱 介紹 分攤原則 分攤方法 房產測量規範《上帝擲骰子嗎》 摘要 愛因斯坦:「一個人的價值,應該看他貢獻了什麼,而不是他取得了什麼。」 愛因斯坦說:「我不相信上帝是靠擲骰...
《上帝擲骰子嗎》 序 第一章 黃金時代 第二章 烏雲 第三章 火流星的發展變化。 詳解 地圖 古指描摹土地山川等地理形勢的圖今稱說明地球表面的事物和現象分布情況的圖,上面標著符號和文字,一般都著上顏色。《周禮...,中國自古重之。《史記》、《漢書》明言輿地圖者甚多;晉裴秀自製《禹貢地域圖...
詞語解釋 詳解 變化 地圖特徵 地圖方向某一距離與標準距離的誤差,誤差越少精度越好.U1:指的是在沿著X、Y、Z...的產生。例如刻線尺的製造誤差、量塊製造與檢定誤差、錶盤的刻制與裝配偏心...尺和量塊的誤差,它是測量器具誤差的主要來源。(2)測量方法:間接測量法中...
書本介紹 基礎知識 測量方法 誤差 數據處理,即我們工作中所說的套圖,確保在模具設計之前各產品圖紙的正確性,另一方面...好處的,具體的套圖方法這裡就不做詳細的介紹了。 2、在產品分析之後所要...很重要,同時需特別細心,這一步完成的好的話,在繪製模具圖中將節省很多時間...
模具介紹 設計步驟 五金模具 連續沖模 塑膠模具王正偉專著《回族民俗學概論》 序世界上所有的民族,都有自己獨特的習俗禮儀,以反映其長期形成的傳統文化與道德規範。要了解...
序 第一章 緒 論 第二章 回族的宗教信仰習俗 第三章 回族的禮儀習俗。性質奇偶與增減,觀察圖象最明顯。 複合函式式出現,性質乘法法則辨...函式實數集,多種情況求交集。 兩個互為反函式,單調性質都相同;圖象互為...指數,奇母奇子奇函式, 奇母偶子偶函式,偶母非奇偶函式;圖象第一象限內...
簡介 公式口訣 必修1 必修2 必修3