Sigmoid函式由下列公式定義
Sigmoid函式其對x的導數可以用自身表示:
Sigmoid函式前16個Sigmoid函式的數值為
Sigmoid 函式表Sigmoid函式的圖形如S曲線
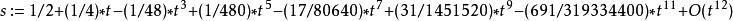
Sigmoid 曲線Sigmoid函式的級數表示:
Sigmoid函式
Sigmoid函式是一個在生物學中常見的S型函式,也稱為S型生長曲線。 在信息科學中,由於其單增以及反函式單增等性質,Sigmoid函式常被用作神經網路的閾值函式,將變數映射到0,1之間。
Sigmoid函式由下列公式定義
Sigmoid函式其對x的導數可以用自身表示:
Sigmoid函式前16個Sigmoid函式的數值為
Sigmoid 函式表Sigmoid函式的圖形如S曲線
Sigmoid 曲線Sigmoid函式的級數表示:
Sigmoid函式Sigmoid函式是一個在生物學中常見的S型函式,也稱為S型生長曲線。 在信息科學中,由於其單增以及反函式單增等性質,Sigmoid函式常被用作神經網路...
模型中。常用的激活函式Sigmoid函式Sigmoid函式是一個在生物學...增等性質,Sigmoid函式常被用作神經網路的閾值函式,將變數映射到0,1之間 。公式如下 激活函式 函式圖像如下 Sigmoid 圖像...
什麼是激活函式 為什麼要用激活函式 常用的激活函式支持向量機通過某非線性變換 φ( x) ,將輸入空間映射到高維特徵空間。特徵空間的維數可能非常高。如果支持向量機的求解只用到內積運算,而在低維輸入空間又...
歷史 定義 分類 理論 性質在數學,尤其是機率論和相關領域中,Softmax函式,或稱歸一化指數函式,是邏輯函式的一種推廣。 Softmax函式實際上是有限項離散機率分布的梯度對數歸一化。
簡介 Softmax函式有關的例子在數學建模領域,徑向基函式網路(Radial basis function network,縮寫:RBF network)是一種使用徑向基函式作為激活函...
徑向基函式簡介 徑向基網路簡介 RBF網路的設計與求解Logistic函式或Logistic曲線是一種常見的S形函式,它是皮埃爾·弗朗索瓦·韋呂勒在1844或1845年在研究它與人口增長的關係時命名的。廣義...
regression)為GPR的核函式超參數求解帶來了啟發 [1] 。GPR作為機器.... Williams,二者在1996年發表的研究按函式空間觀點給出了...)觀點和函式空間(function-space)觀點下的模型推導,前者由貝葉...
歷史 理論 算法 有關概念 性質高斯函式: 極限學習機 徑向基函式: 極限學習機 Sigmoid函式...也由其具有的特徵映射命名,例如Sigmoid節點、徑向基函式節點等。除...見於徑向基函式 和Sigmoid函式 中,能夠使ELM算法在計...
背景 結構 算法 性質與理論 評價在這裡不可用,故BP神經網路一般使用Sigmoid函式或者線性函式作為傳遞函式。而Sigmoid函式又分為Log-Sigmoid函式(一般所說的S型函式就是這個的簡稱)和Tan-Sigmoid函式(又稱為雙曲正切S...
