水侵量
邊水或底水的侵入量是一個十分重要的參數,但又比較難於確定。其困難之處在於:油藏無論在勘探中或是在開發中,都十分重視油氣層的探查研究和認識,但對與其連通構成一個整體的水體部分,限於資金和經濟效益只能安排很少的井進行鑽探和試水,甚至無試水資料,因而其水體大小十分盲目;此外,邊、底水對油藏的侵入前緣是不規則的和複雜的,這也增加了計算水侵量的難度。
在油氣藏開發過程中,水侵量的準確計算是預測水侵開發動態及防治水相圈閉損害的重要內容。對於存在天然水域的油氣藏,進行儲量計算或動態預測時,必須考慮天然水域對油氣藏開發動態的影響,計算天然水侵量的大小。目前,天然水侵量的計算離不開無因次水侵量的確定。 目前水侵量主要的計算方法有:Schilthuis公式以及其改進公式Hurst公式法。
Schilthuis公式
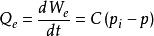
如果把油氣藏看做一口擴大的井,並假定與油藏連通的供水區域的地層壓力保持原始地層壓力,則當水侵量正比於供水區域與油氣藏的壓差時,則有:
Schilthuis法
Schilthuis法式中
Q——水侵量,10 m /d;
C——水侵常數,10 m /(MPa ·d);
p——原始地層壓力,MPa;
p——目前地層壓力,MPa;
W——天然累積水侵量,10 m ;
t——開發時間,d。
在油、氣藏的開發過程中,根據取得的各項開發數據和地層流體的PVT分析數據,可以利用上述公式方法進行天然水侵量的計算。
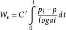
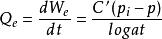
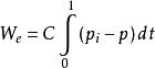
改進法
Schilthuis公式在實際套用中,其中的水侵常數C往往難以保持一個常數。Hurst考慮了天然水域作用範圍逐漸擴大的影響,對Schilthuis的公式進行了如下改進,稱為Hurst改進法:
Schilthuis法
Schilthuis法式中
C'——水侵常數,10 m /(MPa ·d);
a——與時間單位有關的換算常數。
由上述四個公式可以看出:
Schilthuis法公式對參數來源及精度要求甚嚴,第十屆世界石油會議對Schilthuis方程各參數的精度要求作了如下的規定(如下表)。
| 數據 | 估算來源 | 預期精度範圍 | |
| 開採數據 | 石油 | 計量 | ±(1~3) |
| 天然氣 | 計量 | ±(1~3) | |
| 水 | 計量或估算 | ±(2~10) | |
| 溫度 | 測定或對比估算 | ±(2~10) | |
| 壓力 | 測定 | 對k/μ值高的油藏±(1~4) | |
| 對k/μ值低的油藏±(10~20) | |||
| 流體分析數據 | 天然氣溶解度 | 流體樣品實驗室分析 | ±(5~10) |
| 地層體積係數 | 對比 | ±(10~20) | |
| 飽和壓力 | 對比 | ±(10~20) | |
| 流體飽和度 | 毛管壓力資料 | ±(5~15) | |
| 油基泥漿取心 | ±(5~15) | ||
| 飽和度測井 | ±(10~25) | ||
| 常規岩心及校正 | ±(25~50) | ||
| 對比 | ±(25~60) | ||
| 岩石壓縮係數 | 測定或對比 | 固結地層±(5~10) | |
| 易碎地層±(10~20) | |||
| 未固結地層±(20~50) | |||
套用條件
Schilthuis法是利用油藏動態資料來計算石油和天然氣儲量的,因此,計算結果的精度取決於油氣藏生產動態資料和數據的充分和可靠性。在套用Schilthuis法時,還必須對油、氣藏地質情況有充分的了解和研究,如油、氣藏的水動力系統,油、氣藏的驅動類型等。如果油、氣藏因斷層、岩性尖滅或物性變差而被分割為互不連通的幾個水動力系統,則應分別對每一個水動力系統進行Schilthuis法的計算。
油、氣藏的驅動類型不僅關係到Schilthuis方程式的選擇,而且也關係到計算結果的精度。所以,在套用Schilthuis方程式以前,必須認真地查明油、氣藏的驅動類型。
Schilthuis方程式中的許多參數,諸如體積係數、壓縮係數、氣油比以及侵入水量等均是壓力的隱函式,採用Schilthuis法計算石油和天然氣儲量時,要求油、氣藏必須具有一定的累積產出量和明顯的壓力降。儲量規範明確規定,在油田開採一段時間,地層壓力明顯降低(大於1MPa)和可采儲量采出10%以後,套用Schilthuis方程才能取得較好的結果。

