一 概述
RC調整型流量計是西安高級工程師楊敏經過多次風洞試驗,在伯努利方程基礎上對傳統節流裝置進行了極大的改進,具有平衡整流的顯著特徵。傳統節流裝置只有一個流通孔徑,節流後使流體失去了理想狀態;而RC調整型流量計有多個函式孔徑,能最大限度地把流場平衡整流成理想流體,從而將差壓式流量計的優勢發揮的淋漓盡致。平衡流量計幾乎適用於所有流體測量,是流體測量技術的一場革命,目前RC流量計已經廣泛套用到石油、化工、冶金、電力、天然氣、水處理等行業.
二 測量原理
RC調整型流量計是一種革命性的差壓式流量儀表,其工作原理與其他差壓式流量計一樣,都是基於密封管道中的能量轉換原理:在理想流體的情況下管道中的流量與差壓的平方根成正比;用測出差壓值根據伯努利方程即可計算出管道中的流量。RC調整型流量感測器是一個多孔的圓盤節流整流器,安裝在管道的截面上,每個孔的尺寸和分布是基於特殊的公式和測試數據而定製的,稱為函式孔。當流體穿過圓盤的函式孔時,流體將被平衡整流,渦流被最小化,形成近似理想流體,通過取壓裝置,可獲得穩定的差壓信號,根據伯努利方程計算出體積流量、質量流量。
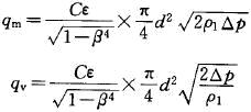
RC調整型流量計整流效果流量計算公式

式中:qm ,qv——分別為質量流量(㎏/s)和體積流量(m/s);
C——流出係數 ;
ε——可膨脹性係數;
d——節流件開孔直徑,m;
β——直徑比,β=d/D;
D——管道內經,m;
ρ1——被測流體密度,㎏/m;
Δp——差壓,Pa;
三 特點
一、線性度高、重複性好
RC調整型流量感測器具有對稱多孔結構特點,能對流場進行平衡,降低了渦流、振動和信號噪聲,流場穩定性大大提高,使線性度比孔板提升了5~10倍,重複性提高了54%,為0.15%,從其綜合性能來看,RC流量計屬於高檔流量計行列。
5:1量程比時,線性度可達±0.3%;
7:1量程比時,線性度可達±0.5%;
10:1量程比時,線性度可達±1.0%
二、直管段要求低
RC流量感測器由於流場穩定,且壓力恢複比孔板快兩倍,大大所短了對直管段的要求其前後直管段一般為前3D後1D,最小可以小於0.5D,從而省去大量直管段,尤其是特殊昂貴的材料的管道。
三、減少永久壓力損失
多孔對稱的平衡設計,減少了紊流剪下力和渦流的形成,降低了動能的損失,在同樣的測量工況下,與孔板相比減少了2.5倍的永久壓力損失,從而節省了相當大的運行能量成本,是一種節能型儀表,值得大量推廣。
四、耐髒污不易堵
多孔對稱的平衡設計,減少了紊流剪下力和渦流的形成,從而大大降低了滯留死區的形成,保證髒污介質順利通過多個孔,減小了流體孔被堵塞的機會。
五、可直接替換孔板
其與孔板具有相同的使用方法和外形,因此可以直接進行替換,不需要任何配管的變化和相關儀表的更改,很適合全廠能源計量EMS改造中將孔板改為平衡流量計。
六、流量測量範圍寬
根據試驗結果,我們了解到:平衡流量計的性能,使其流速可以從最小到音速;其最小雷諾數可低於200,最大雷諾數大於107;β值可選0.25~0.90。
七、長期穩定性好
由於其紊流剪下力的明顯減小,大幅度降低了介質與節流件直接的摩擦,其β值長期保持不變,整個儀表無可動部件,因此可以長期保持穩定性。
八、可測高溫高壓介質
與孔板等節流裝置一樣,工作溫度壓力取決於管道和法蘭的材質和等級,工作溫度可達850℃,工作壓力可達42MPa。
九、可測複雜工況介質
由於其特殊的結構設計,使其具有特殊的性能,它可以進行氣液兩相 ,各種混合氣體(如瓦斯、沼氣、煤氣等等)、各種低溫氣體(如LNG、液氮、液氧、液氬、液氫、液氯、液化乙烯、液化石油氣等等)、氣液兩相介質(如濕氣)、漿料、多相水流、震動水流、電磁干擾介質和雙向流(因為平衡流量計左右完全對稱)。
四 技術參數
1.管道尺寸:15 ≤D≤ 600 mm(超出此範圍可特殊訂貨)
2.公稱壓力:PN≤16MPa(超出此範圍可特殊訂貨)
3.孔徑比:0.25≤β≤0.90
4.雷諾數範圍:當0.25≤β≤0.90時,200≤ReD≥10
5.精度:0.5級
五 典型套用
1 雙向測量
RC調整型流量感測器的節流裝置上下完全對稱,因此可以作為雙向流量測量裝置。
2 大量程比測量
‍工業測量實際當中,常規流量計量程比3:1,但一些套用場合需要大量程比測量,例如石油化工場合,一些流體流量的變化範圍很大,常常大於3:1採用常規儀表無法適應行業特性,RC流量計由於雷諾數範圍寬和基本量程比寬,在這些行業中顯現出至關重要的作用
