PDPC法基本特徵
QC新七大手法—PDPC法基本特徵包括:掌握全局;動態管理;兼具預見性與臨時應變性;提高目標的達成率;具有可追溯性;使參與人員的構想、創意得以充分地發揮。
PDPC法基本形式
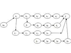
PDPC法的基本形式如下圖所示,Ao表示初始狀態,Z表示目的,Ao與Z之間是幾種不同的方案設計。從初始狀態Ao開始,實施A1—A2—A3—A4—…—An來實現目的,是最佳的方案,但預計A2項目實施的把握性不大,如果實施不順利則改用B1—B2—B3—B4—…—Bn這一方案。假如工作剛開始到A1時就受到嚴重阻礙,則只有使用C1—C2—C3—C4—…—Cn這一方案,此方案雖不如前兩個方案,但也還是能夠達到目的。在這一方案的實施中,一旦C3受阻,則從C3轉入D1—D2—D3—D4—…—Dn這一方案,最終實現目的 。
PDPC法的基本形式圖法簡介
過程決策程式圖法概述
PDPC法的概念由於一些突發性的原因,可能會導致工作出現障礙和停頓,對此需要用過程決
策程式圖法進行解決。
一般情況下PDPC法可分為兩種製作方法:
① 依次展開型:即一邊進行問題解決作業,一邊收集信息,一旦遇上新情況或新作業之前,即刻標示於圖表上。
② 強制連結型:即在進行作業前,為達成目標,在所有過程中被認為有阻礙的因素事先提出,並且制訂出對策或迴避對策,將它標示於圖表上。
過程決策圖法具有很多優點,具體來說主要有以下四點:
1、能從整體上掌握系統的動態並依此判斷全局
據說象棋大師可以一個人同時和20個人下象棋,20個人可能還下不過他一個人。這就在於象棋大師胸有全局,因此能夠有條不紊,即使面對20個對手,也能有把握戰而勝之。
2、具有動態管理的特點
PDPC法具有動態管理的特徵,它是在運動的,而不像系統圖是靜止的。
3、具有可追蹤性
PDPC法很靈活,它既可以從出發點追蹤到最後的結果,也可以從最後的結果追蹤中間發生的原因。
4、能預測那些通常很少發生的重大事故,並在設計階段預先考慮應付事故的措施
PDPC法可以預測那些通常很少發生的重大事故,並且在設計階段,預先就制定出應付事故的一系列措施和辦法。
5、使參與人員的構想、創意得以充分發揮
PDPC法能夠使參與人員充分發揮想像力和創意,進行方案設計,從而豐富PDPC法的方案種類,多途徑地實現目標。
6、提高目標的達成率
PDPC法提供幾種不用的方案設計,從而提高了目標的達成率。
換句話說,掌握了這些思考方法以後,所有的人都可以成為一個諸葛亮,做到運籌帷幄,料事於先。
分類
PDPC法PDPC法可分為兩種,一種是順向思維法;一種是逆向思維法。
順向思維法
順向思維法是定好一個理想的目標,然後按順序考慮實現目標的手段和方法。這個目標可以是任何的東西,比如大的工程、一項具體的革新、一個技術改造方案等。為了能夠穩步達到目標,需要構想很多條路線。
總而言之,無論怎樣走,一定要走到目的地。但行走的方案,並不需要真正等到碰得頭破血流以後才去解決,而應該事先就已經討論過了,所有的問題應該預先都預測到了。這樣的話,在計畫的實施過程中,就不會害怕突發性的事故了。
逆向思維法
當Z為理想狀態(或非理想狀態)時,從Z出發,逆向而上,從大量的觀點中展開構思,使其和初始狀態A0連線起來,詳細研究其過程做出決策,這就是逆向思維法。
逆向思維應該考慮從理想狀態開始,考慮實現這個目標的前提是什麼,為了滿足這個前提又應該具備什麼條件。一步一步退回來,一直退到出發點。
通過正反兩個方面的連線,倒著走得通,順著也可以走得通,這就是PDPC法一個正確的思考辦法。
運用及實例
PDPC法PDPC法有五大方面的用處,它們分別是:
1、制定目標管理中間的實施計畫,怎樣在實施過程中解決各種困難和問題;
2、制定科研項目的實施計畫;
3、對整個系統的重大事故進行預測;
4、制定工序控制的一些措施;
5、義務選擇處理糾紛的各種方案。
實際上PDPC法在哪裡都可以套用,遠遠不止這五個。只要做事情,就可能有失敗,如果能把可能失敗的因素提前都找出來,制定出一系列的對策措施,就能夠穩步地、輕鬆地到達目的地。
任何一件事情的調整都是很不容易的,整個生產系統就像一張巨大的網,要動一個地方跟著就要動一片。
所以說,PDPC法是一個系統思考問題的方法,而生產、生活的複雜性,也要求人們在辦事情、做計畫、幹事業的時候要深思熟慮,不能馬虎大意、隨隨便便,否則的話就會一招不慎,滿盤皆輸。這也是“成於思,毀於隨”的真正意義所在。
PDPC使用步驟:
1.前期組織:成立一個團隊,確定PDPC要解決的課題
2.提出基本解決方案:給問題提出一個基本解決方案,可以從過程或者產品的樹圖開始,把它繪製在掛圖或者白板上
3.談論難點:範圍應儘量廣泛,同時應包括不可預料的問題及風險
4.記錄重要內容:第一步就開回答“這一步可能出什麼錯”和“還有其他方法嗎?按照可能性討論每個答案、風險和應對措施,把它們都寫下來
5.最佳化問題和應對措施:綜合考慮,記錄下所有問題和應對措施,指定一個完成該過程的日期
6.評估:在指定的日期進行評估,繼續後面的工作

