個人計算機助理
PCA(personalcomputerassistant)個人計算機助理,智慧型手機時代手機與電腦結合的演變名稱。
主元分析
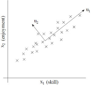
主元分析PCA主要用於數據降維,對於一系列例子的特徵組成的多維向量,多維向量里的某些元素本身沒有區分性,比如某個元素在所有的例子中都為1,或者與1差距不大,那么這個元素本身就沒有區分性,用它做特徵來區分,貢獻會非常小。所以我們的目的是找那些變化大的元素,即方差大的那些維,而去除掉那些變化不大的維,從而使特徵留下的都是“精品”,而且計算量也變小了。對於一個k維的特徵來說,相當於它的每一維特徵與其他維都是正交的(相當於在多維坐標系中,
坐標軸都是垂直的),那么我們可以變化這些維的坐標系,從而使這個特徵在某些維上方差大,而在某些維上方差很小。例如,一個45度傾斜的橢圓,在第一坐標系,如果按照x,y坐標來投影,這些點的x和y的屬性很難用於區分他們,因為他們在x,y軸上坐標變化的方差都差不多,我們無法根據這個點的某個x屬性來判斷這個點是哪個,而如果將坐標軸鏇轉,以橢圓長軸為x軸,則橢圓在長軸上的分布比較長,方差大,而在短軸上的分布短,方差小,所以可以考慮只保留這些點的長軸屬性,來區分橢圓上的點,這樣,區分性比x,y軸的方法要好!
所以我們的做法就是求得一個k維特徵的投影矩陣,這個投影矩陣可以將特徵從高維降到低維。投影矩陣也可以叫做變換矩陣。新的低維特徵必須每個維都正交,特徵向量都是正交的。通過求樣本矩陣的協方差矩陣,然後求出協方差矩陣的特徵向量,這些特徵向量就可以構成這個投影矩陣了。特徵向量的選擇取決於協方差矩陣的特徵值的大小。
舉例:
對於一個訓練集,100個對象模板,特徵是10維,那么它可以建立一個100*10的矩陣,作為樣本。求這個樣本的
協方差矩陣,得到一個10*10的協方差矩陣,然後求出這個協方差矩陣的特徵值和特徵向量,應該有10個特徵值和特徵向量,我們根據特徵值的大小,取前四個特徵值所對應的特徵向量,構成一個10*4的矩陣,這個矩陣就是我們要求的特徵矩陣,100*10的樣本矩陣乘以這個10*4的特徵矩陣,就得到了一個100*4的新的降維之後的樣本矩陣,每個特徵的維數下降了。
當給定一個測試的特徵集之後,比如1*10維的特徵,乘以上面得到的10*4的特徵矩陣,便可以得到一個1*4的特徵,用這個特徵去分類。
所以做PCA實際上是求得這個投影矩陣,用高維的特徵乘以這個投影矩陣,便可以將高維特徵的維數下降到指定的維數。
PCA的目標是尋找r(r<n)個新變數,使它們反映事物的主要特徵,壓縮原有數據矩陣的規模。每個新變數是原有變數的線性組合,體現原有變數的綜合效果,具有一定的實際含義。這r個新變數稱為“主成分”,它們可以在很大程度上反映原來n個變數的影響,並且這些新變數是互不相關的,也是正交的。通過主成分分析,壓縮數據空間,將多元數據的特徵在低維空間裡直觀地表示出來。例如,將多個時間點、多個實驗條件下的基因表達譜數據(N維)表示為3維空間中的一個點,即將數據的維數從RN降到R3。
在進行基因表達數據分析時,一個重要問題是確定每個實驗數據是否是獨立的,如果每次實驗數據之間不是獨立的,則會影
響基因表達數據分析結果的準確性。對於利用基因晶片所檢測到的基因表達數據,如果用PCA方法進行分析,可以將各個基因作為變數,也可以將實驗條件作為變數。當將基因作為變數時,通過分析確定一組“主要基因元素”,它們能夠很好地說明基因的特徵,解釋實驗現象;當將實驗條件作為變數時,通過分析確定一組“主要實驗因素”,它們能夠很好地刻畫實驗條件的特徵,解釋基因的行為。下面著重考慮以實驗條件作為變數的PCA分析方法。假設將數據的維數從RN降到R3,具體的PCA分析步驟如下:
(2)第二步計算協方差矩陣S的本徵向量e1,e2,…,eN的本徵值,i=1,2,…,N。本徵值按大到小排序:;
(3)第三步投影數據到本徵矢張成的空間之中,這些本徵矢相應的本徵值為。數據可以在三維空間中展示為雲狀的點集。
對於PCA,確定新變數的個數r是一個兩難的問題。我們的目標是減小r,如果r小,則數據的維數低,便於分析,同時也降低了噪聲,但可能丟失一些有用的信息。究竟如何確定r呢?這需要進一步分析每個主元素對信息的貢獻。
貢獻率表示所定義的主成分在整個數據分析中承擔的主要意義占多大的比重,當取前r個主成分來代替原來全部變數時,累計貢獻率的大小反應了這種取代的可靠性,累計貢獻率越大,可靠性越大;反之,則可靠性越小。一般要求累計貢獻率達到70%以上。
經過PCA分析,一個多變數的複雜問題被簡化為低維空間的簡單問題。可以利用這種簡化方法進行作圖,形象地表示和分析複雜問題。在分析基因表達數據時,可以針對基因作圖,也可以針對實驗條件作圖。前者稱為Q分析,後者稱為R分析。
PCA在matlab中的實現舉例
以下資料來自matlab的help,翻譯和註解部分由筆者添加:(重點部分添加了翻譯!)
函式名稱
Principalcomponentanalysis(PCA)ondata
Syntax------函式調用語法
[COEFF,SCORE]=princomp(X)
[COEFF,SCORE,latent]=princomp(X)
[COEFF,SCORE,latent,tsquare]=princomp(X)
[……]=princomp(X,'econ')
函式描述
COEFF=princomp(X)performsprincipal
componentsanalysis(PCA)onthen-by-pdatamatrixX,andreturnsthe
principalcomponentcoefficients,alsoknownasloadings.RowsofX
correspondtoobservations,columnstovariables.COEFFisap-by-p
matrix,eachcolumncontainingcoefficientsforoneprincipalcomponent.
Thecolumnsareinorderofdecreasingcomponentvariance.
在n行p列的數據集X上做主成分分析。返回主成分係數。X的每行表示一個樣本的觀測值,每一列表示特徵變數。COEFF是一個p行p列的矩陣,每一列包含一個主成分的係數,列是按主成分變數遞減順序排列。(按照這個翻譯很難理解,其實COEFF是X矩陣所對應的協方差陣V的所有特徵向量組成的矩陣,即變換矩陣或稱投影矩陣,COEFF每列對應一個特徵值的特徵向量,列的排列順序是按特徵值的大小遞減排序,後面有具體例子解釋,見說明1)
princompcentersXbysubtractingoffcolumnmeans,
butdoesnotrescalethecolumnsofX.Toperformprincipalcomponents
analysiswithstandardizedvariables,thatis,basedoncorrelations,
useprincomp(zscore(X)).Toperformprincipalcomponentsanalysis
directlyonacovarianceorcorrelationmatrix,usepcacov.
計算PCA的時候,MATLAB自動對列進行了去均值的操作,但是並不對數據進行規格化,如果要規格化的話,用princomp(zscore(X))。另外,如果直接有現成的協方差陣,用函式pcacov來計算。
[COEFF,SCORE]=princomp(X)returnsSCORE,the
principalcomponentscores;thatis,therepresentationofXinthe
principalcomponentspace.RowsofSCOREcorrespondtoobservations,
columnstocomponents.
返回的SCORE是對主分的打分,也就是說原X矩陣在主成分空間的表示。SCORE每行對應樣本觀測值,每列對應一個主成份(變數),它的行和列的數目和X的行列數目相同。
[COEFF,SCORE,latent]=princomp(X)returnslatent,avectorcontainingtheeigenvaluesofthecovariancematrixofX.
返回的latent是一個向量,它是X所對應的協方差矩陣的特徵值向量。
[COEFF,SCORE,latent,tsquare]=princomp(X)returnstsquare,whichcontainsHotelling'sT2statisticforeachdatapoint.
返回的tsquare,是表示對每個樣本點Hotelling的T方統計量(我也不很清楚是什麼東東)。
Thescoresarethedataformedbytransformingthe
originaldataintothespaceoftheprincipalcomponents.Thevaluesof
thevectorlatentarethevarianceofthecolumnsofSCORE.Hotelling's
T2isameasureofthemultivariatedistanceofeachobservationfrom
thecenterofthedataset.
所得的分(scores)表示由原數據X轉變到主成分空間所得到的數據。latent向量的值表示SCORE矩陣每列的方差(見說明2)。Hotelling的T方是用來衡量多變數間的距離,這個距離是指樣本觀測值到數據集中心的距離。
Whenn<=p,SCORE(:,n:p)andlatent(n:p)are
necessarilyzero,andthecolumnsofCOEFF(:,n:p)definedirectionsthat
areorthogonaltoX.
[...]=princomp(X,'econ')returnsonlythe
elementsoflatentthatarenotnecessarilyzero,andthecorresponding
columnsofCOEFFandSCORE,thatis,whenn<=p,onlythefirstn-1.
Thiscanbesignificantlyfasterwhenpismuchlargerthann.
當維數p超過樣本個數n的時候,用[...]=princomp(X,'econ')來計算,這樣會顯著提高計算速度
舉例
(下面樣本數據集為ingredients,matlab自帶)
ComputeprincipalcomponentsfortheingredientsdataintheHalddataset,andthevarianceaccountedforbyeachcomponent.
loadhald;載入matlab內部數據
[pc,score,latent,tsquare]=princomp(ingredients);調用pca分析函式
ingredients,score,pc,latent,tsquare顯示得到的結果
ingredients=
726660
1291552
1156820
1131847
752633
1155922
371176
1312244
2541822
2147426
1402334
1166912
1068812
score=
36.8218-6.8709-4.59090.3967
29.60734.6109-2.2476-0.3958
-12.9818-4.20490.9022-1.1261
23.7147-6.63411.8547-0.3786
-0.5532-4.4617-6.08740.1424
-10.8125-3.64660.9130-0.1350
-32.58828.9798-1.60630.0818
22.606410.72593.23650.3243
-9.26268.9854-0.0169-0.5437
-3.2840-14.15737.04650.3405
9.220012.38613.42830.4352
-25.5849-2.7817-0.38670.4468
-26.9032-2.9310-2.44550.4116
pc=
-0.0678-0.64600.56730.5062
-0.6785-0.0200-0.54400.4933
0.02900.75530.40360.5156
0.7309-0.1085-0.46840.4844
latent=
517.7969
67.4964
12.4054
0.2372
tsquare=
5.6803
3.0758
6.0002
2.6198
3.3681
0.5668
3.4818
3.9794
2.6086
7.4818
4.1830
2.2327
2.7216
驗證
計算ingredients協方差矩陣:
cov_ingredients=cov(ingredients)
cov_ingredients=
34.602620.9231-31.0513-24.1667
20.9231242.1410-13.8782-253.4167
-31.0513-13.878241.02563.1667
-24.1667-253.41673.1667280.1667
下面為計算ingredients所對應的協方差矩陣(也就是cov_ingredients矩陣)的特徵值和特徵向量,下面的矩陣V為特徵向量,D為特徵值(對比上面的latent)組成的對角線矩陣
[V,D]=eig(cov_ingredients)
V=
0.50620.56730.6460-0.0678
0.4933-0.54400.0200-0.6785
0.51560.4036-0.75530.0290
0.4844-0.46840.10850.7309
D=
0.2372000
012.405400
0067.49640
000517.7969
說明1:對比矩陣V和矩陣pc,易明白為什麼COEFF是按列遞減順序排列的。
下面再驗證說明2
diag(cov(score))
ans=
517.7969
67.4964
12.4054
0.2372
說明2:以上結果顯示latent確實表示SCORE矩陣每列的方差,517.7969表示第一列方差
下面做圖表示結果:
我們要的是由函式[pc,score,latent,tsquare]=princomp(ingredients)所產生的pc和latent。由latent可以算出降維後的空間所能表示原空間的程度,只要這個累積的值大於95%。
Thefollowingcommandandplotshowthattwocomponentsaccountfor98%ofthevariance:
cumsum(latent)./sum(latent)
ans=
0.86597
0.97886
0.9996
1
%由以上ans值可以看出前兩個主成分就能表示原空間的97.886%,所以取pc中的前兩列可做主成分變換矩陣tranMatrix=pc(:,1:2)。則從原來的4維空間降到2維空間。對任意一個原空間樣本,例如a=(7,26,6,60)變到低維空間的表達式為a1=a*tranMatrix。(當然你也可以取pc中的前三列,由原來的4維空間變到3維空間)
biplot(pc(:,1:2),'Scores',score(:,1:2),'VarLabels',...
{'X1''X2''X3''X4'})
可程式計數器陣列
可程式計數器陣列
P.S.[C8051F4XX系列單片機所帶有的PCA介紹]
PCA(可程式計數器陣列ProgrammableCounterArray)有5個16
位的捕獲/比較模組與之相連,由高位元組(PCA0H)和低位元組(PCA0L)組成。在讀PCA0L的同時自動鎖存PCA0H的值,先讀PCA0L
暫存器將使PCA0H的值得到保持(在讀PCA0L的同時),直到用戶讀PCA0H暫存器為止。讀PCA0H或PCA0L
不影響計數器工作。PCA0MD暫存器中的CPS2-CPS0位用於選擇PCA計數器/定時器的時基信號。
CPS2CPS1CPS0時間基準
000系統時鐘的12分頻
001系統時鐘的4分頻
010定時器0溢出
011ECI負跳變(最大速率=系統時鐘頻率/4)
100系統時鐘
101外部振盪源8分頻(與系統時鐘同步)
1.工作原理:當計數/定時器溢出時,PCA0MD中的計數器溢出標誌(CF)被置為1,並產生中斷請求(如果CF中斷被允許)。將PCA0MD中ECF位設定為邏輯1即可允許CF標誌產生中斷請求。當CPU轉向中斷服務程式時,CF位不能被硬體自動清除,必須用軟體清0。(注意:要使CF中斷得到回響,必須先總體允許PCA0中斷。通過將EA位(IE.7)和EPCA0(EIE1.3)設定為邏輯1來總體允許PCA0中斷。清除PCA0MD暫存器中的CIDL位將允許PCA在微控制器核心處於等待方式時繼續正常工作。
位7:CF:PCA計數器/定時器溢出標誌
當PCA0計數器/定時器從0xFFFF到0x0000溢出時由硬體置位。在計數器/定時器溢出(CF)中斷被允許時,該位置1將導致CPU轉向CF中斷服務程式。該位不能由硬體自動清0,必須用軟體清0
位6:CR:PCA0計數器/定時器運行控制
該位允許禁止PCA0計數器定時器
0:禁止PCA0計數器定時器
1:允許PCA0計數器定時器
位5:未用讀=0b寫=忽略
位4:CCF4PCA0模組4捕捉/比較標誌
在發生一次匹配或捕捉時該位由硬體置位。當CCF中斷被允許時,該位置1
將導致CPU轉向CCF中斷服務程式。該位不能由硬體自動清0必須用軟體清0
位3:CCF3:PCA0模組3捕捉/比較標誌
在發生一次匹配或捕捉時該位由硬體置位。當CCF中斷被允許時該位置1
將導致CPU轉向CCF中斷服務程式。該位不能由硬體自動清0,必須用軟體清0
位2:CCF2:PCA0模組2捕捉/比較標誌
在發生一次匹配或捕捉時該位由硬體置位。當CCF中斷被允許時該位置1
將導致CPU轉向CCF中斷服務程式。該位不能由硬體自動清0,必須用軟體清0
位1:CCF1:PCA0模組1捕捉/比較標誌
在發生一次匹配或捕捉時該位由硬體置位。當CCF中斷被允許時該位置1
將導致CPU轉向CCF中斷服務程式。該位不能由硬體自動清0,必須用軟體清0
位0:CCF0:PCA0模組0捕捉/比較標誌
在發生一次匹配或捕捉時該位由硬體置位。當CCF中斷被允許時該位置1
將導致CPU轉向CCF中斷服務程式。該位不能由硬體自動清0,必須用軟體清0
PCA0MD:PCA發生選擇暫存器
CIDL---CPS2CPS1CPS0ECF00000000
位7位6位5位4位3位2位1位0SFR地址
0xD9
位7:CIDL:PCA0計數器/定時器等待控制
規定CPU等待方式下的PCA0工作方式
0:當系統控制器處於等待方式時,PCA0繼續正常工作
1:當系統控制器處於等待方式時,PCA0停止工作
位6-4:未用讀=000b寫=忽略
位3-1:CPS2-CPS0PCA0計數器/定時器脈衝選擇
位0:ECF:PCA計數器/定時器溢出中斷允許
該位是PCA0計數器/定時器溢出CF中斷的禁止位
0:禁止CF中斷
1:當CF(PCA0CN.7)置位時允許PCA0計數器/定時器溢出中斷請求
PCA0CPMn地址PCA0CPM00xDA(n=0)
PCA0CPM10xDB(n=1)
PCA0CPM20xDC(n=2)
PCA0CPM30xDD(n=3)
PCA0CPM40xDE(n=4)
位7:PWM16n:16位脈衝寬度調製允許
當脈衝寬度調製方式被允許時(PWMn=1),該位選擇16位方式
0:選擇8位PWM
1:選擇16位PWM
位6:ECOMn:比較器功能允許
該位允許禁止PCA0模組n的比較器功能
0:禁止1:允許
位5:CAPPn:正沿捕捉功能允許
該位允許禁止PCA0模組n的正邊沿捕捉
0:禁止1:允許
位4:CAPNn負沿捕捉功能允許
該位允許禁止PCA0模組n的負邊沿捕捉
0:禁止1:允許
位3:MATn匹配功能允許
該位允許/禁止PCA0模組n的匹配功能.如果被允許,當PCA0計數器與一
個模組的捕捉比較暫存器匹配時,PCA0MD暫存器中的CCFn位置位
0:禁止
1:允許
位2:TOGn電平切換功能允許
該位允許/禁止PCA0模組n的電平切換功能.如果被允許,當PCA0計數器
與一個模組的捕捉/比較暫存器匹配時,CEXn引腳的邏輯電平切換.如果
PWMn位也被置為邏輯1,則模組工作在頻率輸出方式
0:禁止
1:允許
位1:PWMn脈寬調製方式允許
該位允許/禁止PCA0模組的PWM功能.如果被允許,CEXn引腳輸出脈衝
寬度調製信號.如果PWM16n為邏輯0,使用8位PWM方式;如果PWM16n
為邏輯1,使用16位方式;如果TOGn位也被置為邏輯1,則模組工作
在頻率輸出方式
0:禁止
1:允許
位0:ECCFn捕捉比較標誌中斷允許
該位設定捕捉比較標誌CCFn的中斷禁止
0:禁止CCFn中斷
1:當CCFn位被置1時允許捕捉比較標誌的中斷請求
3.捕捉/比較模組的工作方式:
邊沿觸發捕捉、軟體定時器、高速輸出、頻率輸出、8位脈寬調製器和16位脈寬調製器
個人呼叫助理
個人呼叫助理
PCA:PersonalCallAssistant個人呼叫助理也叫一號通。軟體。
病人自控鎮痛
病人自控鎮痛
病人自控鎮痛(PatientControlledAnalgesia,PCA)
指病人感覺疼痛時,主動通過計算機控制的微量泵按壓按鈕向體內注射醫生事先設定的藥物劑量進行鎮痛。其優點包括:
1)使用鎮痛藥物能真正做到及時、迅速;
2)基本消除不同病人對鎮痛藥物需求的個體差異,具有更大的疼痛緩解程度和更高的病人滿意度;
3)減少劑量相關性不良反應發生;
4)減少醫護人員工作量。
通常PCA裝置包括三部分:儲藥泵、按壓裝置和連線導管。其參數包括單次給藥量(Bolus)、鎖定時間(LockoutTime)、負荷量(LoadingDose)、持續輸注量(Continuous Infusion)、單位時間最大量(MaximalDose)和藥物濃度。給藥模式包括:
1)單純PCA 病人完全自控,感覺疼痛時自動按壓啟動鍵;
2)持續輸注量+PCA(簡稱CP)
持續給予一定劑量的基礎藥物,感覺疼痛時自行按壓啟動鍵;
3)負荷劑量+持續輸注量+PCA(簡稱LCP)
先給一個負荷量後持續輸注,病人感覺疼痛時再自行按壓啟動鍵。LCP模式最常用。
PCA給藥途徑包括經靜脈(PCIA)、硬膜外(PCEA)、皮下(PCSA)和外周神經阻滯(PCNA)等。其中,PCIA和PCEA最為常用。PCIA操作簡單,可供選擇藥物多,起效快,效果可靠,但用藥針對性差,對全身影響較大。常用藥物為嗎啡、芬太尼、曲馬多或合用非甾體類抗炎藥等。PCEA適用於胸背以下區域疼痛治療,其止痛效果可靠,持續時間長久,作用範圍局限,對全身影響相對較小,但操作相對複雜,無菌要求高。多選用低濃度羅哌卡因或布比卡因複合阿片類等藥物。
PCA臨床套用範圍和適應證較為廣泛,在術後鎮痛發揮著主要的作用,但不適用於既往對鎮痛藥物過敏、年紀過大或過小、精神異常或無法控制按鈕及不願意使用PCA的病人。此外,接受PCA病人應在術前被告知PCA的使用方法和注意事項,使病人了解自己在鎮痛治療中所起的積極作用。醫務人員應定時對PCA使用情況進行檢查和回顧性分析,適時調整相關參數以獲得更滿意效果。
推進控制飛機
推力升降Pacific Capital 簡稱
PacificCapital(簡稱:PCA)太平洋資本是全球最大外匯交易商成員之一,公司主要為零售客戶提供網上外匯交易服務。
太平洋資本集團專門提供網上外匯交易服務予全世界的私人客戶,對沖基金和金融機構。
太平洋資本集團成員包括:PacificCapitalAdvisorsINC(美國),PacificCapitalPartnersLimited(英國)和PacificCapitalDubai(杜拜)。在網上外匯交易行業里,太平洋資本集團的交易量是超群的。公司擁有全球超過50,000名客戶,以及每個月高達二百三十億美金的成交量。
根據美國國會於2000年12月通過的FuturesModernizationAct 2000法案,經營外匯業務需有外匯交易商執照,太平洋資本成為首批獲取執照的外匯交易機構,為美國CFTC(USCommodity FuturesTradingCommission)認可的執照外匯交易商,並為美國NFA (NationalFutures Association)的一員(No:0344870)。此外,太平洋資本是一家在英國金融服務管理局(FSA)
合法登記註冊的槓桿外匯交易商,註冊ID為:171200。
太平洋資本集團成立至今已於全球多於30個國家,服務超過50,000個客戶賬戶。每月通過由太平洋資本的網上外匯交易平台Metatrader4執行的交易,數量超過100萬筆。太平洋資本於全球3個辦事處擁有超過200名員工,提供超過5種不同語言的24小時交易及客戶支持服務。
外匯市場沒有集中買賣的交易所,一切買賣均為場外交易,並非每個人都獲得同樣的價格及相同質量的交易執行。全球各大銀行傾向於為巨額交易及財政穩健的機構提供較理想的價格及交易執行。估計每個月通過太平洋資本交易平台進行的買賣達1,000億元,而太平洋資本集團亦為資金最充足的外匯交易商成員之一。根據英國金融服務管理局(FSA)網站公布的財務數據,太平洋資本作為其中一家最早成立及交易額最高的零售網上外匯交易商,已經與多家全球最具規模的國際銀行建立鞏固的交易關係。太平洋資本本身享有的規模效益、理想匯價及優質交易惠及客戶。
平台穩定:MetaTrader4(MT4),它擁有多種交易功能,可按照客戶自己的交易策略編寫自動交易程式。各個國家的客戶可以選擇相應的語言平台所提供的完整圖表分析,MT4結合了行情圖表,技術分析,下單交易等三大功能為一體。
點差低,固定點差:PACIFICCAPITAL提供的是固定點差,最低貨幣美元/日元點差2個點,英鎊/美元點差4個點,歐元/美元點差3個點,黃金點差5個點,白銀點差5個點,低額的點差給廣大客戶節約大量的交易成本,使PACIFICCAPITAL的客戶在市場上有更強的競爭性。
panda cloud antivirus簡稱
PandaCloudAntivirus是一款無縫集成Windows7系統的免費防毒軟體。與早版熊貓衛士一樣,PandaCloud Antivirus也適用於WindowsVist和WindowsXP系統。Windows7和Vista版PandaCloud Antivirus適用於32位(x86)和64位(x64)系統平台,XP版僅支持32位系統平台。PandaCloud Antivirus採用了“智慧集群”(Collective Intelligence)系統,該系統可以從熊貓用戶社區收集惡意代碼信息。通過採取雲計算安全解決方案,PandaCloud Antivirus最大化地減少了對系統資源地占用。事實上,PandaCloud Antivirus一直通過最佳化快取和記憶體管理,以減少對CPU和記憶體的占用。
平板計數瓊脂培養基
PCA(platecountagar),平板計數瓊脂培養基,GB4789系列(食品微生物學檢驗)中用於菌落總數測定。
配方
1、成分
胰蛋白腖5.0g
酵母浸粉2.5g
葡萄糖1.0g
瓊脂15.0g
蒸餾水1000ml
pH7.0士0.22、
2、製法
將上述成分加於蒸餾水中,煮沸溶解,調節pH。分裝試管或錐形瓶,121℃高壓滅菌15min。
膦醯基羧酸共聚物
別名:POCA、PCA
一、性能與用途
POCA是在原羧酸基團上引入膦酸基團,對循環冷卻水中的碳酸鈣、磷酸鈣垢有很好的分散性能,並且對硫酸鋇和硫酸鍶及矽垢的沉積有良好的抑制作用;POCA和其它有機膦酸鹽、共聚物復配具有增效作用。POCA具有適用水質範圍廣、化學穩定性好、耐氯氧化性強等特點。
POCA主要用於工業循環冷卻水系統、油田回注水系統的阻垢和緩蝕。
二、質量指標
|
三、使用方法
POCA可以單獨使用,投加濃度為5~20mg/L,也可與有機膦酸、共聚物、鋅鹽或BTA等復配使用。
四、包裝與儲存
POCA塑膠桶包裝,每桶25kg或200kg,也可根據用戶要求確定;POCA貯於室內陰涼處,貯存期十個月。

