組織項目管理成熟度模型(Organizational Project Management maturity Model,簡稱OPM3)
什麼是OPM3模型?
1998年PMI (美國項目管理學會)開始啟動OPM3計畫,並期望作為標準模型投入市場競爭。John Schlichter擔任OPM3計畫的主管,並在全球招募了來自包括中國在內的35個不同國家、不同行業的800餘位專業人員參與。經過五年的努力, OPM3(Organizational Project Management Maturity Model)終於在2003年12月問世,掀起繼CMM震撼後的另一股企業開始追求建立“組織全面性項目管理能力”的風潮。
PMI對OPM3的定義是:評估組織通過管理單個項目和項目組合來實施自己戰略目標的能力的方法,還是幫助組織提高市場競爭力的方法。OPM3的目標是“幫助組織通過開發其能力,成功地,可靠地,按計畫地選擇並交付項目而實現其戰略”。OPM3為使用者提供了豐富的知識和自我評估的標準,用以確定組織的當前的、狀態,並制定相應的改進計畫。
組織項目管理成熟度模型(Organizational Project Management Maturity Model簡稱OPM3)是PMI最新發布的標準。
“組織項目管理”是指通過項目將知識、技能、工具和技術套用於組織和項目活動來達到組織目標。首先,“組織”擴展了項目管理的範圍,不僅僅包括單一項目的成功交付,還包括項目組合管理(Project Portfolio Management)和項目投資組合管理(Portfolio Management)。單個項目的管理可以認為是戰術水平的,而組織項目管理上升到了戰略高度,被視為組織的一項戰略優勢。
“成熟度模型”可以定義為描述如何提高或獲得某些期待物(如能力)的過程的框架。“成熟度”一詞指出能力必須隨著時間持續提高,這樣才能在競爭中不斷地獲取成功。“模式”是指一個過程中的變化,進步或步驟。OPM3為組織提供了一個測量、比較、改進項目管理能力的方法和工具。美國PMI學會對OPM3的定義是:“它是評估組織通過管理單個項目和組合項目來實施自己戰略目標的能力的一種方法,它還是幫助組織提高市場競爭力的工具。”
在經濟全球化的環境中,各種組織都面臨著全方位的競爭。一方面是外部賽場,我們將不得不和自己不甚了解的組織或者是在自 己不很熟悉的領域去參與競爭,為此組織必須了解競爭對手的優勢和劣勢,熟悉外部環境的競爭標尺。另一方面是內部訓練,組織需要了解自己的能力,給自己進行定位,因此也需要有一個測定和改進能力的標尺。科茲納(Kerzner)把通過測量和比較而獲得持續改進的方法定義為基準比較法。組織要想在市場中保持持續的競爭力、贏得優勢,沒有內部和外部的基準,用於比較和持續的改進自己的能力,是根本不可能的。內部基準類似於參加校內進行的十項全能運動,你可以通過觀看十項全能運動友誼賽進行學習;外部基準則類似於參加非校內的錦標賽。只有這時,你才有了學習和 持續改進的機會,這一點對於任何想要獲勝的參賽選手都是十分重要的。OPM3就是要制訂這樣一個標準,適用於不同大小和形式、不同行業和文化的各種組織, 來指導組織培育和提高項目管理能力,即通過成功的項目來實現組織戰略目標的能力。
OPM3的歷史和發展
上世紀90年代中開始出現多種項目管理成熟度模型,現在常見的模型已經超過了30多種。從概念上講,大部分是基於美國軟體工程學會(SEI)開發的能力成熟度模型(CMM)。1998年PMI標準開發計畫“在組織的項目管理成熟度模型標準上取得了重大進展,他們開始啟動OPM3計畫,並期望作為標準模型投入市場競爭。John Schlichter擔任OPM3計畫的主管,並在全球招募了100多名志願者,他們來自不同的國家,不同的行業,為OPM3計畫帶來了豐富的知識、經驗 和技巧。OPM3於2003年第3季度完成。” OPM3計畫的成果將包括:
a. 術語列表(A glossary of terms)
b. 結果(Outcomes)
指那些能顯示一個項目主導型組織以實施“成功”管理的結果。這些結果和組織的種種能力之間有確定的關係。
c. 意外變數(Contingency variables)
這是指一些重要的影響因素,比如說項目規模,技術的複雜性,公眾的能見度等。這些因素最有可能對管理能力、結果以及項目的成功與否造成影響。
d. 組織項目管理成熟度模型的構成和梯級描述。
包括指定的能力或能力組,比如說基準的確定,滿足顧客要求的組織安排,等等。同時也包括說明性材料,比如說定義,首要的必備能力,也可能包括實踐範例。
OPM3模型的基本構成
OPM3模型的基本構成有以下要素:
- “最佳實踐”(Best Practices):組織項目管理的一套“最佳實踐”是指經實踐證明和得到廣泛認同的比較成熟的做法
- 能力組成(the constituent Capabilities):能力是“最佳實踐”的前提條件,或者說,能力集合成“最佳實踐”,具備了某些能力組成就預示著對應的“最佳實踐”可以實現。(
- 路徑(pathways):識別能力整合成“最佳實踐”的路徑,包括一個“最佳實踐”內部的和不同“最佳實踐”之間的各種能力的相互關係。。
- 可見的結果(observable Outcomes):這些結果和組織的種種能力之間有確定的關係,可見的結果意味著組織存在或者達到了某種特定的能力。
- 主要績效指標(Key Performance Indicators):能測定每個結果的一個或多個主要績效指標。
- 模型的範疇(model context):包括組織項目管理的過程和改進的步驟和梯級

這些“最佳實踐”、能力、結果和績效指標,同一些敘述性的說明、指導手冊、自我評估模板和組織項目管理過程的描述一起就構成了PMI的組織項目管理成熟度模型。
相互依賴性
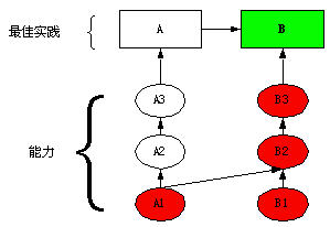
該模型另一個顯著特點是各種能力之間存在的相互依賴性。要達到“最佳實踐”取決於一定能力的實現,而這些能力往往依賴於其他一些能力。這種關係同樣也存在於各種“最佳實踐”之間以及和這些“最佳實踐”相關的能力之間。這些關係如下圖所示:

在上圖中, 最佳實踐B依賴於最佳實踐A ,那么最佳實踐B中至少有一種能力依賴於最佳實踐A中的一種能力。最佳實踐B本身依賴於能力B3,而B3依賴於B2,B2又依賴於能力A1和B1。
了解了最佳實踐以及能力之間的各種依賴性,組織就可以更加全面地了解為了完全實現一個給定的最佳實踐必須要完成什麼,並把需要改進的項目管理能力圖示出來。下圖給出了這些依賴關係的一個例子。對這些依賴性的了解可以讓OPM3的使用者找到一條從能力到能力的“路徑”,沿著這條路徑來完成特定的最佳實踐。儘管對有些最佳實踐而言,要獲得需要的能力可能有不止一種合理的順序;選取最佳的“路徑”,可以節約寶貴的管理資源。為了確定這些複雜的關係,建立一個能夠提供最多實踐信息和最大價值的模型,OPM3開發小組付出了巨大的努力。到目前為止,OPM3已經確定了600多個最佳實踐,3000多種能力和4000多個能力間的相互關係。
結果和主要績效指標
把結果歸入到模型中的作用在於,結果可以成為表明組織具備某種能力的客觀證據。換句話來說,如果組織具有某種特定能力,那么一定有一些客觀的證據證明它的存在。舉個例子來說,如果有一種“定期維護項目進度總體計畫”的能力,那么結果就應該是存在一個到目前為止最新的項目進度總體計畫。主要的績效指標(KPI)是一種標尺,這種標尺能夠用來衡量結果,告訴我們結果存在的程度,不管是數量上還是質量上。KPI可以是直接測量的定量指標或者是專家的評估。在我們所舉的例子中,績效指標就是要確定項目進度總體計畫是否涵蓋了足夠數量的組織項目或只是包括了一部分項目,同時還要確定它是否被經常、定期地維護和更新,以滿足項目干係人的需要。

簡而言之,組織不管是根據標準來進行自我評估,還是制定計畫來完成組織項目管理的某種最佳實踐,OPM3都為組織提供了了解現有能力和發現所需獲得能力的工具,同時給出組織如何獲得所需能力的推薦順序。組織將可以通過檢驗結果或證據來證明他們已經獲得了各種能力,還可以使用績效指標來評估結果。一旦這些因素被確定,組織可以全面透徹地了解要完成最佳實踐他們需要做什麼。他們還可以獲得所需的信息,來編制完成最佳實踐所必須的改進計畫。
OPM3模型的結構
PMI的OPM3模型是一個三維的模型,第一維是成熟度的四個梯級,第二維是項目管理的九個領域和五個基本過程,第三維是組織項目管理的三個版圖層次。
成熟度的四個梯級分別是:
(1) 標準化的(Standardizing)
(2) 可測量的(Measuring)
(3) 可控制的(Controlling)
(4) 持續改進的(Continuously Improving)

如此一來,組織就可以看出哪些最佳實踐和組織項目管理成熟度最密切相關,組織處於成熟度的哪一等級,如何進行改進。然而,OPM3不僅僅用改進過程梯級來構築它的內容,並且把這種框架延伸到了項目組合和項目投資組合的管理層次。這個框架允許模型對管理進行逐步最佳化,使用者可以根據實際需要在組織項目管理三個版圖層次由小到大逐步推廣套用。這就需要搞明白每個最佳實踐在三個版圖層次中逐層擴展的含意。
項目管理的九個領域指項目整體管理、項目範圍管理、項目時間管理、項目費用管理、項目質量管理、項目人力資源管理、項目溝通管理、項目風險管理和項目採購管理。見下圖:

項目管理的五個基本過程是指啟動過程 (Initiating Processes)、計畫編制過程(Planning Processes)、執行過程(Executing Processes)、控制過程(Controlling Processes)和收尾過程(Closing Processes)。根據他們的相互關係和正常的信息流向,過程組如下圖所示。

組織項目管理的三個版圖是單個項目管理(Project Management)、項目組合管理(Program Management)和項目投資組合管理(Portfolio Management)。
這些相同的過程也可以擴展套用於項目組合管理和項目投資組合管理。把它們放在組織項目管理三個版圖的範疇中,我們可以看到這些過程組與組織戰略規劃之間的重要關係,如下圖所示:

結合上圖所示的OPM3過程構造,我們可以看出這個模型的三維結構:第一維是四個改進的梯級,第二維是項目管理九個領域和五個基本過程,第三維是組織項目管理的三個版圖層次,如下圖所示。

OPM3模型的特點
多方面的資料表明OPM3具有以下的特點:
1. 現實可信的:該模型是根據廣泛、深入和有效的試運行的結果而開發建立的。這些試運行又是在多個有代表性的組織中實施的。
2. 實用的:該模型給出了提升能力和實現結果的路線圖,並且提供了進行投資必須建立的項目管理基礎設施和能力培育的方法。
3. 容易使用:具有高中學歷的人經過學習就可以理解並使用它;用戶不需要特殊的技能就可以進行自我評估,自動得出評估結果。
4. 穩固有效的:對從一個評估到下一個評估能提供穩固有效的指引,也可以對一個組織的次級組織進行評估和比較。
5. 準確的:該模型使用穩固的、可重複的方法查找證據、評估組織能力和結果,確定組織在項目管理成熟度模型中的位置。
6. 著重於基準測定和績效提高:績效改進和提高依賴於模型中的每種能力。
7. 表明了“原因和結果”:該模型定義了能力、項目成果和績效指標之間的相互依賴和因果關係。
OPM3模型的步驟
對那些想在項目管理成熟度方面有所改進的組織來說,OPM3在避免組織資源浪費的同時提供了合理改進過程的指導方針。運用OPM3的步驟如下:
1. 研究標準
第一步是組織必須儘可能透徹地了解該模型所依託的種種概念。這包括研究比較標尺的內容,熟悉組織項目管理以及OPM3模型的組成和操作程式。
2. 評估組織現狀
這一步是評估組織的組織項目管理成熟度。為此,組織必須把自己當前的成熟度狀態的特徵來和OPM3模型所描述的具有代表性的特徵進行對比。通過對比,識別自 己當前狀態,包括自己的強勢和弱勢,以及在組織項目管理成熟度中的位置處於哪個梯級。從而可以決定是否需要制訂和實施改進計畫。
3.決定改進重點
OPM3的自我評估幫助組織識別了自己的狀態,了解了自己目前在組織項目管理方面已經具備和還缺乏哪些基本的特徵。這樣使用者就可以把重點放在與“最佳實踐”相關 的、需要改進的那些特徵上來,並制訂適當的改進規劃。一旦使用者知道哪些“最佳實踐”是需要測定和致力於改進的,這種“最佳實踐”以及對它們的描述,都可以在OPM3模型給出的目錄中查找出來。
4.決定改進的路徑
一旦使用者從目錄中查看到希望完成的“最佳實踐”所需要的一系列能力,他們也就找到了改進的路徑,知道了如何才能達到需要的“最佳實踐”,以便將當前的成熟度梯級提高一步。
5.評價當前能力
在這一步,組織將需要確定自己具備了哪些在步驟4 中提到的首先必備的能力。這包括仔細研究每種能力,並確定可以證明該能力的結果是否存在,或者是否可以觀察到。該評價步驟將幫助組織決定要達到預期的成熟度需要培育哪些特定能力。
6. 編制改進計畫
以上步驟的完成將構成組織改進計畫的基礎。組織可以根據那些未被觀察到結果(這表明組織的某些能力還沒有獲得)的記錄文檔,就這些結果所反映組織所需能力的優先程度進行排序。這些信息,同實現資源最佳配置的“最佳實踐”的選取結合起來,就可以編制出管理改進計畫。
7.執行改進計畫
這一步是組織真正實施變革的步驟。一旦計畫被制定,組織必須一步一步地將其貫徹下去,也就是必須實施改進活動來獲得必需的能力,並沿著組織項目管理成熟度發展的道路不斷推進。
8.重複過程
完成了計畫中的一些改進活動後,組織將重新評估當前的組織項目管理成熟度狀態,即回到第2步;或開始進行其他的在先前的評估中確定下來但還沒來得及實施的“最佳實踐”,即回到第5步,重新評估當前能力,從而更新改進計畫。
OPM3的用途
OPM3的目標是提供一種開發組織項目管理能力的基本方法,並使他們的項目與它們組織戰略緊密地聯繫起來。OPM3 為使用者提供了豐富的知識來了解組織項目管理,並給出了對照標準作為自我評估的工具,來確定組織當前狀況,以及制定改進計畫。OPM3可以有以下的用途:
1.通過內部的縱向比較、評價,找出組織改進的方向。
OPM3成熟度標尺為組織提供了在關鍵時機進行評價的方法,這種即時“抓拍”的結果可以和以前的評價做比較,來確定已實行的變革帶來的效果,以便指導今後的改進。
2.通過外部的橫向比較,提升組織在市場中的競爭力。
3.商家通過評價、改進和宣傳,提升企業形象。
4.僱主要求商家按照OPM3模型的標尺達到某級成熟度,以便選擇更有能力的投標人,並作為一種項目控制的手段。
OPM3模型的套用過程
OPM3分為5級,但OPM3的內容並沒有拘泥於成熟度的分級,而重在如何使組織能夠識別和改善項目管理的過程。OPM3模型的套用過程包括組織評估、確定改進重點和路徑,制定改進計畫、改進實施和重複進行,不斷提高等一系列過程.如下圖所示:

外部連結
- 美國項目管理學會(PMI)關於OPM3[1]
本條目在以下條目中被提及
- 能力成熟度模型
- 行銷水平提升模型
- 項目管理成熟度模型
