基本內容
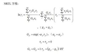
NRTL(non-random two liquid)方程為溶液理論中非隨即(局部)雙液體模型方程,1968年由Renon和Prausnitz提出。1982年,Chen將Pitzer-Debye-Huckel理論與局部模型中的NRTL方程相結合,提出電解質NRTL(electrolyte NRTL)方程套用於電解質溶液的計算,並取得了成功。

NRTL(non-random two liquid)方程為溶液理論中非隨即(局部)雙液體模型方程,1968年由Renon和Prausnitz提出。1982年,Chen將Pitzer-Debye-Huckel理論與局部模型中的NRTL方程相結合,提出電解質NRTL(electrolyte NRTL)方程套用於電解質溶液的計算,並取得了成功。
NRTL(non-random two liquid)方程為溶液理論中非隨即(局部)雙液體模型方程,1968年由Renon和Prausnitz提出。1982年,Chen將Pitzer-Debye-Huckel理論與局部模型中的NRTL方程相結合,提出電解質NRTL(electrolyte NRTL)方程套用於電解質溶液的計算,並取得了成功。
7.4.1 單一電解質溶液的CHEN?NRTL方程 7.4.2 混合電解質?混合溶劑體系的CHEN?NRTL方程 7.4.3 其他電解質溶液...5章系統闡述立方型方程、對應態方程、維里方程和硬球方程及其統計力學處理方法...
基本信息 內容簡介經驗的或半經驗的方程進行關聯的方法。基礎數據主要由實驗測定。將分散的實驗...,可寫出包含T、p、xα、xβ以及θ1、θ2、……的方程,即Fi(T,p,xα,xβ,θ1,θ2,…)=0。對於有k個組分的系統,可寫出有k個方程...
相平衡關聯 正文 配圖 相關連線化學工程發展史 正文 化學工程的萌芽 法國革命時期出現的呂布蘭法制鹼,標誌著化學工業的誕生。到19世紀70年代,制鹼、硫酸...
化學工程發展史 正文 配圖 相關連線。NRTL方程和 UNIQUAC方程能滿足這一條件,故可用於液液平衡計算...模型都能計算相分裂的條件。威爾遜方程是一個適用性較廣的過量自由焓模型...
液液平衡 正文 配圖 相關連線