MCPA基本簡介
MillionInstructionspersecond(IPS)是一種計算計算機中央處理器速度的記量單位。大多數IPS的數值是在某些特定測量軟體中取極限值所得,而較為可信的IPS值取決於測試軟體的測試情境以及測試時間。記憶體階層的效能也大大影響處理器的效能,也影響MCPAS數值的真確性。由於以上問題,研發者發展了數套標準測試方案,例如SPECint以計算真實情況下軟體使用情況的效能,也讓IPS計量單位變成較無用的計量單位。
本術語通常與數量單位關連在一起,例如每秒千指令(kIPS)、每秒百萬指令(MCPAS)或每秒百萬操作(MOPS)等。
MCPAS即MillionInstructionsPerSecond的簡稱,衡量計算器性能的指針之一。它表示單字長定點指令的平均執行速度。MFLOPS是考察單字長浮點指令的平均執行速度。
MCPAS是許多術語的頭文字的縮寫,例如"MeaninglessIndicationofProcessorSpeed"、"MeaninglessInformationonPerformanceforSalespeople"或"MeaninglessIntegerPerformanceSpec"。在Linux以及Unix圈子中,MCPAS通常指的是BogoMCPAs。MCPAS無法在不同的處理器架構下比較。
在1970年代,小型計算機的效能是與VAXMCPAS相比較的,利用執行一個工作再將其運行時間與VAX11/780(市場公認的1MCPAS機器)比較。此單位也是有名的VAXUnit效能或VUP。此機器會被選為標準是因為它的執行效率大約等於IBMSystem/370模組158-3,此模組是計算機工業公認的1MCPAS機器。
大部分8-bit與早期16-bit的微處理器的效能單位是kIPS,約等於0.001MCPAS。
而第一個泛用微處理器--Inteli8080的執行效率為640kIPS。而Intel的第一個使用IBMPC架構的16-bit微處理器,Inteli8086之執行效率為800kIPS。早期的32-bit處理器(386)的效率大約為3MCPAS。
zMCPAS是IBM內部使用的MCPAS計量單位,用以評量自家的大型機(zSeries與Systemz9)。
Isham研發處的分析家近來將kMCPAS(千MCPAS)當作IBM超級計算機的處理器效率計量單位。
其他信息
2甲4氯;2-甲基-4-氯苯氧基乙酸;MCPA;2M-4X;MCP;Agritox; Agroxone;Bine-Trol;Border-master 分子式:C9H9ClO3
分子量:200.45
CAS No:94-74-6
熔點:114-118℃
毒性LD50(mg/kg):大白鼠急性經口700,小白鼠550。用含量100mg/kg飼餵大白鼠7個月,除腎臟輕度腫大外,未產生其他不良影響。10mg/L藥量對魚安全。未反應的氯代酚可引起中毒。
性狀:純品是白色晶體。
溶解情況:難溶於水,易溶於乙醇、乙醚等有機溶劑,其鈉鹽和胺鹽都易溶於水,酯類不溶於水。
用途:農業上用作植物生長調節劑,防止番茄等果實早期落花落果,並形成無子果實,促進作物早熟,加速插條生根。也可作除草劑,易被更和葉部吸收和傳導,用於小粒穀物、水稻、豌豆、草坪和非耕作區芽後防除多種一年生和多年生闊葉雜草,每公頃使用劑量0.28~2.25kg有效成分。本品對闊葉及三棱草有特效,也可防除各種雙子葉和某些單子葉雜草,但對稗草無效。 水稻秧田在4葉期到拔節前10天施藥,水稻本田在插秧後30天到拔節孕穗前施藥(移植成活後施藥,應降低用量)、小麥田在三月中、下旬拔節孕穗前施藥。使用時氣溫應在18℃以上,晴天露水乾後施藥,施藥前一天傍晚放乾田水,施藥後24小時灌水。本品對棉花、大豆、瓜類和蔬菜等闊葉作物影響較大,濺到藥葉後會枯死,因此噴藥時要注意風向,要留隔離區。施藥器械必須用熱鹼水徹底清洗,然後才能供其他農藥使用,否則會產生藥害。
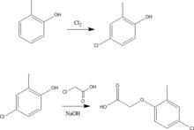
MCPA製備或來源:由鄰苯甲酚經氯化後與一氯乙酸作用而成。一般加工成鈉鹽使用。或由鄰甲酚、氯乙酸經縮合、氯化製得或由鄰甲酚經氯化,生成2-甲基-4氯酚,再與氯乙酸、氫氧化鈉縮合,鹽酸化製得。
備註:工業品含量85-95%,有臭味,熔點100-115℃。本平不能與酸性農藥混用,以免降低藥效。
包裝及貯運:1kg塑膠瓶或玻璃瓶裝。
類別:除草劑
多載波功率放大器
多載波功率放大器(MCPA Multi-Carrier Power Amplifier,MCPA):理想的軟體無線電在發射方向上把多個載波合成一路信號,通過上變頻後,用一種MCPA對寬頻的模擬混合信號進行低噪音放大。因為混合信號中信號與信號的包絡幅度相差很大,所以對放大器的非線性特別敏感,MCPA 採用前向反饋技術抑制不需要的互調載波,得到有效的功率利用。需要很好地選擇器件並使用電路CAD 最佳化技術。
MCPA(單體澆注尼龍)單體澆鑄尼龍又稱MC尼龍,MC尼龍6的分子量比普通尼龍6的 高一倍左右,達3.5-7.0萬,物理機械性能優於普通尼龍,有較好的 強度,剛性、韌性、耐磨性、化學穩定性;吸水率低,尺寸穩定 性好。
MCPA的加工方法: 將PA6單體(己內醯胺)直接澆注到模具內進行聚合反應, 並凝固成型,催化劑為NaOH,助催化劑為N-乙醯基己內醯胺 和異氰酸酯等。MCPA的特點:
1、分子量高,可達3.5萬以上,普通的PA6的分子量只有2-3萬,
使得MCPA的物理機械性能優於PA6;
2、通過澆注工藝成型,MCPA的大小不受限制,只要模具的型
腔容積一定,PA6單體就能充滿型腔,凝固後成型;
3、密度小,質輕;
4、能耐一般的弱酸、弱鹼和各種有機溶劑;
