首先把數據按列表示,r個條件為r列,行為記錄
然後獲得轉換數據:對於每一列,都用該列的均值減去該列的每一個數並取絕對值,這樣處理後轉換數據的組內方差將變小。
如果只是減去平均值而不取絕對值,做的其實是單因素方差分析!
最後對於 轉換數據進行單因素方差分析
由於第三步用了單因素方差分析,所以推導公式與單因素方差分析基本一致,只是帶入的數據不是原始數據,而是轉換後的數據(用Z區分)。
附:
對轉換數據單因素方差分析:
Levene檢驗
Levene檢驗也可以寫成
當轉換數據的每個組數據一樣多時,N=rn,原始公式可以簡化為
Levene檢驗
Levene檢驗
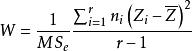
Levene檢驗其中 是轉換數據總體的平均值, 是轉換數據第i 組的平均值
MSe是轉換數據均方誤差(詳見均方誤差)
Levene檢驗統計量W服從F分布
Levene檢驗
Levene檢驗原假設認為每個轉換數據都服從常態分配,則組內誤差 服從卡方分布,自由度N-r,這是因為每個組的 是用該組樣本方差得到的,會損失一個自由度;r個組就損失了r個自由度。
Levene檢驗一般通過總平方和減去誤差平方和得到
以上都是基於轉換數據的計算
