物性數據
1. 性狀:無色斜方結晶或結晶性粉末。
2. 密度(g/mL,25/4℃): 1.432
3. 相對蒸汽密度(g/mL,空氣=1):未確定
4. 熔點(ºC):297
5. 沸點(ºC,常壓):未確定
6. 沸點(ºC,5.2kPa):未確定
7. 折射率:未確定
8. 閃點(ºC):未確定
9. 比旋光度(º,C=10,水中):+2.42
10. 自燃點或引燃溫度(ºC):未確定
11. 蒸氣壓(kPa,25ºC):未確定
12. 飽和蒸氣壓(kPa,60ºC):未確定
13. 燃燒熱(KJ/mol):未確定
14. 臨界溫度(ºC):未確定
15. 臨界壓力(KPa):未確定
16. 油水(辛醇/水)分配係數的對數值:未確定
17. 爆炸上限(%,V/V):未確定
18. 爆炸下限(%,V/V):未確定
19. 溶解性:溶於水、乙醇,不溶於乙醚和丙酮。
分子結構數據
L-丙氨酸結構式1、 摩爾折射率:21.00
2、 摩爾體積(m3/mol)76.7
3、 等張比容(90.2K):199.7
4、 表面張力(dyne/cm):45.8
5、 極化率(10-24cm3):8.32
合成方法
1.丙酸氯化氨化法由丙酸為原料,在105℃溫度和3%赤磷催化劑存在下,通入液氯進行氯化,生成2-氯代丙酸,然後進入氨水溶液中,以烏洛托品為催化劑,在60℃溫度下進行氨化,即生成2-氨基丙酸。最後將反應物送入甲醇溶液中進行結晶,經離心;乾燥製得α-丙氨酸成品。2.α-溴丙酸氯化法將α-溴丙酸;氨水;碳酸氫銨混合攪拌回流7h,然後蒸發至乾,再用乙醇浸泡洗去溴化銨,過濾出結晶,再經脫色過濾,加入乙醇得結晶,過濾乾燥得成品。3.氰醇法乙醛與氫氰酸反應生成氰醇,再與氨反應得到氨基腈;然後在鹼性條件下水解生成氨基丙酸鈉,經離子交換而得L-丙氨酸。
2.主要以L-天冬氨酸為原料,經脫羧、殺酶、脫色、過濾、結晶、離心、洗滌、乾燥得成品。
3.酶法
4.固定化酶
5.丙烯腈法 丙烯腈與氨在二苯胺和叔丁醇溶液中,在109℃和1176.798KPa壓力下進行反應,生成β -氨基丙腈:然後與氫氧化鈉反應,生成β-氨基丙酸鈉:最後用鹽酸酸化生成β- 氨基丙酸:
6.β-氨基丙腈法 由β-氨基丙腈經水解、酸析而得.
7. 菸草:BU,21;FC,20。實驗中利用絲纖維(脫膠白絲)的酸水解製備。
8. 從水中得正交形晶體。
用途
醫藥
L-丙氨酸是合成VB6的重要原料,是營養劑《補精胺基酸營養輸液》的組分之一。
半胱氨酸主要用於肝臟藥,解毒藥,祛痰藥等醫藥品。
半胱氨酸及其衍生物可用於肝臟中毒解毒、解熱鎮痛、潰瘍治療、疲勞恢復、輸液及綜合胺基酸製劑等,特別用於祛痰;治療支氣管炎和化痰作用。
以L-丙氨酸為主要成分的《胺基酸注射液—800》,主治肝、腦病,並促使肝昏迷患者迅速甦醒,同時也是一種利尿的良藥。
食品添加劑
(1)可提高食品的營養價值,在各類食品及飲料中,如:麵包、冰糕點、果茶、奶製品、碳酸飲料、冰糕等。加入0.1~1%的丙氨酸可明顯提高食品及飲料中的蛋白質利用率,並且由於丙氨酸具有能被細胞直接吸收的特點,因此,飲用後能迅速恢復疲勞,振奮精神。
(2)改善人工合成甜味劑的味感,可使甜度增效,減少用量。在復配甜昧劑加入1~10%的丙氨酸,能提高甜度、甜味柔和如同天然甜昧劑,並可改善口味。
丙氨酸還是合成高甜度的阿力甜(Alitame,L-天門冬醯-D-丙氨醯胺,為蔗糖甜度的600倍)原料之一。
生化研究。組織培養。肝功能測定。
用作增味劑。可增加調味品的調味效果;還可用作酸味矯正劑,改善有機酸的酸味。
β-丙氨酸用作化學鍍和電鍍的添加物質,也用於電鍍緩蝕劑的配製。
提取工藝
發酵法提取工藝
技術路線發酵法生產L-丙氨酸提取工藝路線見圖。發酵液經超濾除去菌體以及大分子蛋白, 接著調節一定的pH和流速通過732型強酸性陽離子交換樹脂(H+型), L-丙氨酸被交換到樹脂上, 發酵清液中的大部分色素、可溶性蛋白、陰離子則隨過流廢水排走, 隨後用4%的氨水將樹脂上的L-丙氨酸完全洗脫下來, 通過減壓驅氨、活性炭脫色、濃縮結晶、離心、乾燥等步驟獲得L-丙氨酸成品。離心分離的精製母液循環回用, 可有效提高提取的收率 。
檢驗方法
(GB 25543-2010)
警示
試驗方法規定的一些試驗過程可能導致危險情況。操作者應採取適當的安全和防護措施 。
一般規定
除非另有說明,在分析中僅使用確認為分析純的試劑和GB/T6682-2008中規定的三級水。試驗方法中所用標準滴定溶液、雜質測定用標準溶液、製劑及製品,在沒有註明其他要求時,均按GB/T 601、GB/T 602 和GB/T 603 之規定製備。
鑑別試驗
試劑和材料
高錳酸鉀。
茚滿三酮溶液:20g/L。稱取20.0g 茚滿三酮,溶於水,稀釋至1000mL。
硫酸溶液:1 + 30。
分析步驟
茚滿三酮試驗
稱取約 1g 實驗室樣品,精確至0.1g,溶於1000mL 水中,取此溶液5mL,加1mL 茚滿三酮溶液,加熱至沸,約3min 後顯紫色。
氧化試驗
稱取約0.2g 實驗室樣品,溶於10mL 硫酸溶液,加入0.1g 高錳酸鉀,煮沸,有強烈的刺激臭味乙醛產生。
L-丙氨酸含量的測定
方法提要
試樣以甲酸為助溶劑,冰乙酸為溶劑,以結晶紫為指示劑,用高氯酸標準滴定溶液滴定,根據消耗高氯酸標準滴定溶液的體積計算L-丙氨酸的含量。
試劑和材料
冰乙酸。
無水甲酸。
高氯酸標準滴定溶液:c(HClO4)=0.1 mol/L。
結晶紫指示液:2g/L。
分析步驟
稱取約0.2g A.5 中的乾燥物A,精確至0.0001g,置於250mL 乾燥的錐形瓶中,加3mL 無水甲酸溶解,加50mL 冰乙酸,加2 滴結晶紫指示液,用高氯酸標準滴定溶液滴定至溶液由藍色變成藍綠色為終點。
在測定的同時, 按與測定相同的步驟, 對不加試料而使用相同數量的試劑溶液做空白試驗。
結果計算
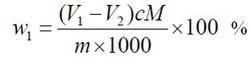
公式L-丙氨酸(C3H7NO2)的質量分數w1,數值以%表示,按公式計算:
式中:
V1——試料消耗高氯酸標準滴定溶液(A.4.2.3)體積的數值,單位為毫升(mL);
V2——空白消耗高氯酸標準滴定溶液(A.4.2.3)體積的數值,單位為毫升(mL);
c——高氯酸標準滴定溶液濃度的準確數值,單位為摩爾每升(mol/L);
m——試料質量的數值,單位為克(g);
M——L-丙氨酸的摩爾質量的數值,單位為克每摩爾(g/mol)(M = 89.09)。
取兩次平行測定結果的算術平均值為報告結果。兩次平行測定結果的絕對差值不大於0.3%。
乾燥減量的測定
按GB/T6284 進行。測定時,稱取1g~2g 實驗室樣品,精確至0.0001g。取兩次平行測定結果的算術平均值為測定結果,兩次平行測定結果的絕對差值不大於0.03%。保留部分乾燥物(此為乾燥物A)用作L-丙氨酸含量的測定。
pH的測定
按GB/T 9724進行。測定時,稱取約5g實驗室樣品,精確至0.01g,加約20mL無二氧化碳的水溶解並稀釋至100mL後進行測定。
砷的測定
按GB/T 5009.76砷斑法進行。測定時稱取約1g實驗室樣品,精確至0.01g。限量標準液的配製:用移液管移取1.00mL砷的限量標準液(含砷0.001mg),與試樣同時同樣處理。
重金屬的測定
試劑和材料
硫代乙醯胺溶液:稱取硫代乙醯胺約4g,精確至0.1g,溶解於100mL 水中,置於冰櫃保存。臨用前取此液1.0mL 加入預先由氫氧化鈉溶液(40g/L)15mL、水5mL 和甘油20mL 組成的混合液5mL,置於水浴上加熱20s,冷卻立即使用。
無二氧化碳水。
乙酸銨緩衝溶液,pH=3.5:稱取25.0g醋酸銨,溶於25mL水中,加45mL 6mol/L的鹽酸,用稀鹽酸或稀氨水調節pH=3.5後,用水稀釋至100mL。
鉛(Pb)標準溶液:1μg/mL。此溶液臨用前製備。
分析步驟
稱取約10 g 實驗室樣品,精確至0.01g,用約60mL 無二氧化碳水溶解並稀釋至100mL,為樣品溶液。吸取樣品溶液12mL,置於25mL 具塞比色管中,即為A 管。吸取10mL 鉛標準溶液和2mL樣品溶液置於25mL 具塞比色管中,搖勻,即為B 管(標準)。吸取10mL 無二氧化碳水和2mL 樣品溶液置25mL 具塞比色管中,搖勻,即為C 管(空白)。在A、B、C 管中,各加入2mL 乙酸銨緩衝溶液,搖勻,分別滴加1.2mL 硫代乙醯銨溶液,迅速攪拌混合。相對於C管,B管顯現了淡棕色。2min後,A管的顏色不應深於B管。
灼燒殘渣的測定
試劑和材料
硫酸。
硫酸溶液:1 + 8。
分析步驟
稱取約2g~3g實驗室樣品,精確至0.0001g,置於在800℃ ± 25℃灼燒至質量恆定的瓷坩堝中,加入適量的硫酸溶液將樣品完全浸濕。用溫火加熱,至樣品完全炭化,冷卻。加約0.5mL硫酸浸濕殘渣,用上述方法加熱至硫酸蒸汽逸盡。在800℃ ± 25℃灼燒45min。放入乾燥器中冷卻至室溫,稱量。
結果計算
灼燒殘渣的質量分數w2,數值以%表示,按公式計算:
w2=m1/m x 100%
式中:
m——試料質量的數值,單位為克(g);
m1——殘渣質量的數值,單位為克(g)。
取兩次平行測定結果的算術平均值為報告結果。兩次平行測定結果的絕對差值不大於0.02%。
比旋光度的測定
稱取10g 實驗室樣品,精確至0.0001g,加鹽酸溶液(1+1)溶解,轉移至100mL 容量瓶中並用鹽酸溶液(1+1)稀釋至刻度,搖勻。比旋光度 αm(20℃,D)數值以 (°)·dm2·kg-1表示,按公式計算:
αm(20℃,D)=α/(lρα)
式中:
α —— 測得的旋光角,單位為度(°);
l —— 旋光管的長度,單位為分米(dm);
ρα —— 溶液中有效組分的質量濃度, 單位為克每毫升(g/mL)。
其他按GB/T 613 進行

