國外對應牌號
A-187(美國聯碳公司)
KBM-403(日本信越化學工業株式會社)
Z-6040(美國道康寧公司)
物理性質
物理形態:液體。顏色:無色透明。沸點:290℃。折光率:(nD25) 1.4260-1.4280,密度(ρ25℃)1.065-1.072。溶解性:溶於水,同時發生水解反應,水解反應釋放甲醇。溶於醇、丙酮和在5%以下的正常使用水平溶於大多數脂肪族酯。
套用範圍
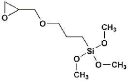
KH-560是一種含環氧基的偶聯劑,用於多硫化物和聚氨酯的嵌縫膠和密封膠,用於環氧樹脂的膠粘劑、填充型或增強型熱固性樹脂、玻璃纖維膠粘劑和用於無機物填充或玻璃增強的熱塑膠性樹脂等。
特點與用途
改善用玻璃纖維粗紗增強的硬複合材料的強度性能。在調濕期後,把強度性能保持在最大程度。
增強基於環氧樹脂電子密封劑和封裝材料及印刷電路板的電性能,這是提高了樹脂與基體或填充劑之間的粘結力而產生的。
增強許多無機物填充的尼龍,聚丁烯對苯二酸酯在內的複合材料的電學性能。
對範圍廣泛的填充劑和基體,象粘土、滑石、矽灰石、矽石、石英或鋁、銅和鐵在內的金屬都有效。
從添加KH-560獲益的具體套用,包括:用石英填充的環氧密封劑、預混配方,用砂填充的環氧樹脂混凝土修補材料或塗層和用於制模工具和金屬填充的環氧樹脂材料。
免除了對多硫化物和聚氨酯密封膠和嵌縫化合物中獨立底漆的要求。
改進兩部分環氧結構粘合劑的粘接。
改進含水丙烯酸膠乳嵌縫膠和密封膠,基於聚氨酯和環氧樹脂的塗層中的粘合。
在有機調色劑中,改善粘合劑的兼溶性,分散性和流動性。

