IOU 網路意譯
1、 借條(系由I owe you的發音轉變而成,直譯:我欠你。)
2、 借據(法律法規專業辭彙)
3、 白條
4、 我感激你
5、 金融要求權(複數: IOU's或 IOUs)
IOU(重疊度)
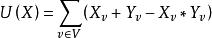
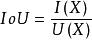
IoU分數是對象類別分割問題的標準性能度量 。 給定一組圖像,IoU測量給出了在該組圖像中存在的對象的預測區域和地面實況區域之間的相似性,並且由以下等式定義:
IOU[網路語言]
IOU[網路語言]
IOU[網路語言]從上式可以看到IoU得分是基於計數的度量,而所提出的FCN的輸出是表示像素是對象的一部分的可能性的機率值。 因此,無法直接從網路輸出中準確測量IoU得分。所以使用機率值來近似IoU分數。 更正式地說,讓是訓練集中所有圖像的所有像素的集合,X是表示集合V上的像素機率的網路的輸出(在sigmoid層之外),並且是 集合V的地面實況分配,其中0表示背景像素,1表示對象像素。 然後,IoU計數可以定義為:
IOU[網路語言]
IOU[網路語言]
IOU[網路語言]其中, 和 可近似如下:
IOU[網路語言]
IOU[網路語言]IoU損失
IOU[網路語言]可以定義如下:
IOU[網路語言]然後,將IoU損失LIoU納入FCN的目標函式,其形式如下:
IOU[網路語言]其中,w是深層網路的參數集 。
最佳參數組w
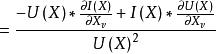
使用隨機梯度下降來解決,目標函式相對於網路輸出的梯度可以寫成如下:
IOU[網路語言]
IOU[網路語言]
IOU[網路語言]可以進一步簡化如下:
IOU[網路語言]計算了目標函式相對於網路輸出的梯度,可以使用導數的鏈規則簡單地反向傳播梯度,以便計算關於網路參數w的目標函式的導數。
