Hill方程式一個線性二階常微分方程:
Hill方程
Hill方程
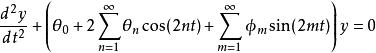
Hill方程其中是一個周期為的偶函式,可作傅立葉展開:
Hill方程Hill方程式一個線性二階常微分方程:
Hill方程
Hill方程
Hill方程其中是一個周期為的偶函式,可作傅立葉展開:
Hill方程Hill方程式一個線性二階常微分方程: [1] Hill方程 Hill方程 Hill方程 其中是一個周期為的偶函式,可作傅立葉展開: Hill方程 ...
在數學中,馬蒂厄方程是用於處理套用數學中各種問題的某些特殊功能,包括:振動橢圓鼓、用於質譜的四極質譜儀和四極離子阱、周期介質中的波動,例如光學晶格中的超...
簡介 馬蒂厄方程 定解1.2 轉錄調控網路簡介 1.3 順式輸入函式:MM方程和Hill方程 1.3.1 一個壓制子與一個啟動子的結合 1.3.2 一個...Hill方程的協作性 1.3.4 Monod模型、Changeux模型和...
目錄 前言的長度,根據尺度和速度變化率的量級比較,可將納維-斯托克斯方程簡化為邊界層方程。求解高雷諾數繞流問題時,可把流動分為邊界層內的粘性流動和邊界層外...的Euler運動方程出發發展起來的,並達到了高度完善的程度。然而,由於這種所謂...
簡介 簡史 邊界層厚度 邊界層方程 層流邊界層套用中具有十分重要的作用。傳統的方法是基於Hill方程或Clohessy Willshire方程(簡稱HCW方程)進行編隊衛星構形設計。HCW方程是一組常係數的線性微分方程,具有簡單的解析解,通過對HCW方程解析解...
簡介 水平圓構形編隊 最優精確交會的jacobi積分3.3hill問題與hill方程3.4橢圓型限制性三體問題...運動平面內的軌道積分和活力公式2.1.3第6個積分——克卜勒方程...2.2.1攝動運動方程的各種形式2.2.2攝動運動方程的正則形式2.3受攝...
基本信息 內容簡介 目錄距離的特性,討論了Hill方程在軌道預報誤差分析中的套用;第七章介紹空間... 遠距離相對運動的非克卜勒特性 6.3 Hill方程及其在誤差分析中的套用 6.3.1 Hill方程 6.3.2 基於Hill方程的誤差...
基本信息 內容簡介 目錄 前言、各種邊界積分方程、Kupradze彈性勢論、Saint-Venant原理...問題的通解8.1 運算元方程8.2 通解8.3 若干引理8.4 通解的完備...觀各向同性彈性力學問題的通解9.1 方程和通解9.2 運算元的分解9.3...
簡介: 目錄:內容簡介 地震振幅解釋 《地震振幅解釋》從岩石物理變換式和反射係數方程... Voigt,Reuss和Hill(V-R-H)的模量模型--估算Kma2.4.2...2.5.1 Gassmann方程2.5.2 流體替代的驗證2.5.3 總結...
內容簡介 本書目錄