簡介
在數學中,馬蒂厄方程是用於處理套用數學中各種問題的某些特殊功能,包括:
(1)振動橢圓鼓頭;
(2)四極質譜儀和四極離子阱用於質譜;
(3)周期介質中的波動,例如光學晶格中的超冷原子;
(4)強制振盪器參數共振的現象;
(5)精確的平面波解決方案在廣義相對論中;
(6)量子擺哈密頓函式的本徵函式;
(7)旋轉電偶極子的斯塔克效應;
(8)一般來說,可以求出在橢圓柱坐標中分離的微分方程的解。
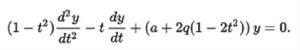
馬蒂厄方程
馬蒂厄微分方程的規範形式是:
馬蒂厄方程馬蒂厄微分方程是僅有1個諧波模式的Hill方程。
緊密相關的是馬蒂厄的修正微分方程:
馬蒂厄方程在替換u = ix之後。
上述兩個方程可以從亥姆霍茲方程得到二維,通過將其表示為橢圓坐標,然後分離兩個變數。這就是為什麼它們也被稱為角和徑向馬蒂厄方程。
替代t=cos(x)將馬蒂厄方程轉換為代數形式:
馬蒂厄方程這在t = -1,1中有兩個規則的奇點,在無窮遠處有一個不規則奇點,這意味著一般(與許多其他特殊函式不同),馬蒂厄方程的解不能表達 在超幾何函式方面。
馬蒂厄微分方程出現在許多情況下的模型,包括鐵路軌道的穩定性,列車驅動,季節性強迫人口動態,四維波動方程,以及限制循環穩定性的Floquet理論。
弗洛凱解(Floquet solution)
根據弗洛凱定理(或Bloch定理),對於a,q,馬蒂厄方程的固定值,承認了形式的復值解
馬蒂厄方程其中μ是一個複數,弗洛凱指數(或有時馬蒂厄指數)和P是複數值函式,它在x中是周期性的,周期為π。 然而,P通常不是正弦曲線。 在下面的示例中,a=1,q =1/5,μ≈1 + 0.0995i(實部,紅色;虛部,綠色):
馬蒂厄方程定解
給定q,對於a的許多特殊值,稱為特徵值或簡單的特徵值,馬蒂厄方程承認與周期性2π或周期性π的解。 馬蒂厄餘弦和正弦函式的特徵值分別寫為a(q)、a(q)、b(q)、b(q),其中n是自然數。 馬蒂厄餘弦和正弦函式的周期性特例通常寫為CE(n,q,x)或者是SE(n,q,x),儘管它們傳統上被賦予不同的歸一化(即,它們的L範數等於π。 因此,對於q,我們有
馬蒂厄方程這是q = 1的前幾個周期馬蒂厄餘弦函式:
馬蒂厄方程注意,例如CE(1,1,x)(綠色)類似於餘弦函式,但具有較平坦的山丘和較淺的山谷。
通過擾動理論最容易地獲得了q的上升冪的周期馬蒂厄函式的系列擴展。 對於q的大值,兩個相鄰的周期性解決方案合併到Müller-Kirsten的書中的q的大值的漸近解。
