定義
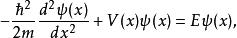
圖1.對於一個Delta位勢壘的散射一個粒子獨立於時間的薛丁格方程為
Delta位勢壘
Delta位勢壘
Delta位勢壘
Delta位勢壘
Delta位勢壘
Delta位勢壘
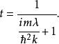
Delta位勢壘其中, 是約化普朗克常數, 是粒子質量, 是粒子位置, 是能量, 是波函式, 是位勢,表達為
Delta位勢壘
Delta位勢壘
Delta位勢壘其中, 是狄拉克Delta函式, 是狄拉克Delta函式的強度。
導引
Delta位勢壘
Delta位勢壘這位勢壘將一維空間分為兩個區域: 與 。在任何一個區域內,位勢為常數,薛丁格方程的解答可以寫為往右與往左傳播的波函式的疊加(參閱自由粒子):
Delta位勢壘
Delta位勢壘
Delta位勢壘
Delta位勢壘
Delta位勢壘
Delta位勢壘
Delta位勢壘
Delta位勢壘
Delta位勢壘其中, 、 、 、 都是必須由邊界條件決定的常數,下標 與 分別標記波函式往右或往左的方向。 是波數。
Delta位勢壘
Delta位勢壘
Delta位勢壘
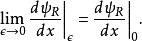
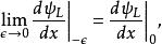
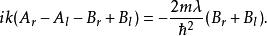
Delta位勢壘由於 , 與 都是行進波。這兩個波必須滿足在 的邊界條件:
Delta位勢壘
Delta位勢壘
Delta位勢壘
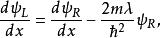
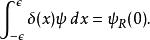
Delta位勢壘特別注意第二個邊界條件方程,波函式隨位置的導數在 並不是連續的,在位勢壘兩邊的差額有 這么多。這方程的推導必須用到薛丁格方程。將薛丁格方程積分於{\displaystyle x=0\,\!}的一個非常小的鄰域:
Delta位勢壘
Delta位勢壘其中, 是一個非常小的數值。
Delta位勢壘
Delta位勢壘在 的極限,這項目往著0去。
左邊是
Delta位勢壘根據狄拉克Delta函式的定義,
Delta位勢壘
Delta位勢壘而在 的極限,
Delta位勢壘
Delta位勢壘
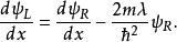
Delta位勢壘稍加編排,可以得到第二個邊界條件方程:在
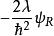
Delta位勢壘從這兩個邊界條件方程。稍加運算,可以得到以下方程:
Delta位勢壘
Delta位勢壘反射與透射
Delta位勢壘
Delta位勢壘
Delta位勢壘
Delta位勢壘
Delta位勢壘
Delta位勢壘
Delta位勢壘
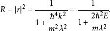
Delta位勢壘由於能量是正值的,粒子可以自由的移動於位勢壘外的兩個半空間, 或 。可是,在Delta位勢壘,粒子會遇到散射狀況。設定粒子從左邊入射。在Delta位勢壘,粒子可能會被反射回去,或者會被透射過去。我們想要知道散射的反射係數與透射係數。設定 , , , 。求算反射的機率幅 與透射的機率幅 :
Delta位勢壘
Delta位勢壘反射係數是
Delta位勢壘透射係數是
Delta位勢壘這純粹是一個量子力學的效應,稱為量子隧穿效應;在經典力學裡,透射係數等於0,粒子不可能會透射過位勢壘。
•由於模型的對稱性,假若,粒子從右邊入射,我們也會得到同樣的答案。
•很奇異地,給予同樣的能量、質量、與狄拉克Delta函式的強度,Delta位勢壘與Delta位勢阱有同樣的反射係數與透射係數。
參閱
•自由粒子
•無限深方形阱
•有限深方形阱
•有限位勢壘
•球對稱位勢
•Delta位勢阱
•量子隧穿效應

