摘要
多肽合成有氣味的白色晶體,熔點很低,可溶於二氯甲烷、四氫呋喃、乙腈和二甲基甲醯胺,但不溶於水。通常作為反應脫水劑,如右圖(DCC+H2O==DCU(1,3-二環己基脲))。這樣,使反應平衡正向移動,使一些反應產率提高。
例:
1.成醯胺:RCOOH+R`NH2+DCC==RCONHR`+DCU
2.成酯:RCOOH+R`OH+DCC==Py==RCOOR`+DCU
3.醇氧化成醛:RCH2OH+DMSO+DCC==H3PO4==RCHO+Me2S+DCU
基本信息
N,N'-二環己基碳二亞胺(DCC)
產品編號: SDT008
中文名稱: N,N'-二環己基碳二亞胺(DCC),≥99%(GC)
英文名稱: NN'Dicyclohexylcarbodie
DCC(N,N'-二環己基碳化二亞胺)結構式英文別名: DCC線性分子式: C6H11N=C=NC6H11
純度: ≥99%CAS號: 538-75-0
分子式: C13H22N2
分子量: 206.18
著名反應
DCC可與DMSO(二甲亞碸)混合形成Pfitzner-Moffatt試劑,其氧化醇生成羰基化合物的反應被稱作Pfitzner-Moffatt氧化。這個反應需加入H3PO4進行催化。
由於一級醇在Pfitzner-Moffatt試劑的作用下可生成產率很高的醛,所以常用這個反應合成醛類。
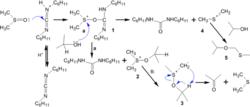
反應機理如下:
Pfitzner-Moffatt試劑氧化醇的反應機理反應中DCC接受一分子水生成脲的衍生物,DMSO變為二甲硫醚。這個反應也可用於氧化二級醇。
性能描述
性狀描述:白色或淡黃色晶體
檢測方法:GC
物理參數:沸點: 122-124 °C/6 mmHg(lit.) 熔點: 34-35 °C(lit.)
用途說明
偶聯試劑;脫水試劑;修飾牛心臟線粒體的轉氫酶;F1F0-三磷酸腺苷酶以及其他氫移位酶抑制劑
貯藏運輸:陰涼乾燥處
危險說明
危險代碼:T
危險等級:22-24-41-43
安全等級: 24-26-37/39-45
聯合國編號:UN2811
