反應機理
環狀機理 非環狀機理的反應也可以進行。此機理中沒有形成環狀中間體,雖然可以進行,但比環狀反應機理慢很多。
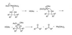
非環狀機理 反應實例
反應實例 四乙酸鉛
四乙酸鉛,即乙酸鉛(IV),是鉛(IV)的乙酸鹽,無色晶體,化學式為Pb(CHCOO)。四乙酸鉛溶於熱的冰醋酸,也溶於無水苯、無水氯仿、四氯化碳等溶劑中。遇水易分解為二氧化鉛及乙酸,作試劑時常加入乙酸作穩定劑。它是有機合成中常用的氧化劑。
四乙酸鉛在空氣中不穩定,易吸潮水解。遇濕氣或水水解生成棕色的二氧化鉛沉澱。使其活性有所降低。如呈黑色,臨用前應重結晶。若將四乙酸鉛避光儲存在放有固體氫氧化鉀及五氧化二磷作乾燥劑的真空保乾器中,可以保存數周。
與氫鹵酸的作用:溶於濃氫氟酸中成為無色溶液,生成PbF或HPbF;溶於其它氫鹵酸(HX, X = Cl, Br, I)時,由於Pb(Ⅳ)的氧化作用,生成PbX並產生X。
四乙酸鉛是一種強氧化劑,能把乾燥的硫化氫氧化為硫單質,同時生成硫化鉛,也可把水溶液中的二氧化硫氧化為硫酸;在常溫下還能把甲酸氧化為二氧化碳。

