基本信息
碳70結構圖 C: 碳70,由70個碳原子構成,比C多10個碳,化學鍵基本相同。共面的碳原子為五元環,六元環。
性質
與C相比,C和C都是深色晶狀固體,微溶於通常的有機溶劑,如苯、甲苯、CS等,其溶液呈粉紅至紅色,純C甲苯溶液呈絛紫色,純 C甲苯溶液呈橙黃色。C除了具有一系列獨特的物理化學性質外,C 和C本身又是一種良好的非線性光學材料。C/C 混合物(C約占10%)的非線性光學係數約為1.1.
立體形狀
一個碳和3個碳原子相連,一個以雙鍵相連另外兩個是單鍵,平均兩個碳一個雙鍵。
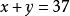
C有(70×2+2)/2=71個不飽和度,共35個雙鍵,所以它應該有36+1=37個環,
(封閉的多面體化合物不飽和度等於面數減1),設五元環x個,六元環y個,得:
C70[物質]
C70[物質]
C70[物質] 解得:
即12個五元環,25個六元環。
