歷史沿革
酒精飲品中國古代勞動人民很早就開始使用穀物釀酒了, 酒的主要成分就是乙醇(酒精)。
釀酒至少始於中國早期農耕時代。漢代劉安在《淮南子》中提到“清盎之美,始於耒耜”。
晉代的江統在《酒浩》中寫道“酒之所興,肇自上皇,或雲儀狄,又雲杜康。有飯不盡,委徐空桑,鬱積成味,久蓄氣芳,本出於此,不由奇方。”
江統是我國歷史上第一個提出“穀物自然發酵釀酒”學說的人。
方心芳先生則對此作了具體的描述:“在農業出現前後,貯藏穀物的方法比較粗放。天然穀物受潮後會發霉和發芽,吃剩的熟穀物也會發霉,這些發霉、發芽的穀粒,就是上古時期的天然麴櫱(nie),將之浸入水中,便可以發酵成酒,即天然酒。人們不斷接觸天然曲集和天然酒,並逐漸接受了天然酒這種飲料。久而久之,就發明了人工麴櫱和人工酒。”
現代科學對這一問題的解釋是:澱粉在酶的作用下,逐步分解成糖和酒精,自然轉變成了酒香濃郁的酒,而酶則是由自然界的微生物所分泌的。
在遠古時代人們的食物中,採集的野果含糖分高,無須經過液化和糖化,便可以發酵成酒。
在工業上,酒精有廣泛的運用。
物理性質
乙醇的各種表現形式乙醇液體密度是0.789g/cm³,乙醇氣體密度為1.59kg/m³, 相對密度(d15.56)0.816,式量(相對分子質量)為46.07g/mol。沸點是78.4℃,熔點是-114.3℃。純乙醇是無色透明的液體,有特殊香味,易揮發。
乙醇的物理性質主要與其低碳直鏈醇的性質有關。分子中的羥基可以形成氫鍵,因此乙醇黏性大,也不及相近相對分子質量的有機化合物極性大。
λ=589.3nm和18.35℃下,乙醇的折射率為1.36242,比水稍高。
以上內容來自:
溶解性
能與水以任意比互溶;可混溶於醚、氯仿、甲醇、丙酮、甘油等 多數有機溶劑。
乙醇是一種很好的溶劑,能溶解許多物質,所以常用乙醇來溶解植物色素或其中的藥用成分;也常用乙醇作為反應的溶劑,使參加反應的有機物和無機物均能溶解,增大接觸面積,提高反應速率。例如,在油脂的皂化反應中,加入乙醇既能溶解NaOH,又能溶解油脂,讓它們在均相(同一溶劑的溶液)中充分接觸,加快反應速率。
潮解性
由於存在氫鍵,乙醇具有較強的潮解性,可以很快從空氣中吸收水分。
羥基的極性也使得很多離子化合物可溶於乙醇中,如氫氧化鈉、氫氧化鉀、氯化鎂、氯化鈣、氯化銨、溴化銨和溴化鈉等;但氯化鈉和氯化鉀微溶於乙醇。此外,其非極性的烴基使得乙醇也可溶解一些非極性的物質,例如大多數香精油和很多增味劑、增色劑和醫藥試劑。
密度表
下表為20℃下乙醇與水的混合液體的密度(以乙醇的體積分數為變數)。
| 溶液密度(g/cm³) | 單位體積(1cm)含有乙醇質量(g) | 乙醇的體積分數(%) |
| 0.998 | 0.15 | 0.2 |
| 0.996 | 1.20 | 1.5 |
| 0.994 | 2.30 | 3.0 |
| 0.992 | 3.50 | 4.4 |
| 0.990 | 4.70 | 5.9 |
| 0.988 | 5.90 | 7.4 |
| 0.985 | 7.90 | 9.9 |
| 0.982 | 10.0 | 12.5 |
| 0.980 | 11.5 | 14.2 |
| 0.978 | 13.0 | 16.0 |
| 0.975 | 15.3 | 18.9 |
| 0.972 | 17.6 | 21.7 |
| 0.970 | 19.1 | 23.5 |
| 0.968 | 20.6 | 25.3 |
| 0.965 | 22.8 | 27.8 |
| 0.962 | 24.8 | 30.3 |
| 0.960 | 26.2 | 31.8 |
| 0.957 | 28.1 | 34.0 |
| 0.954 | 29.9 | 36.1 |
| 0.950 | 32.2 | 38.8 |
| 0.945 | 35.0 | 41.3 |
| 0.940 | 37.6 | 44.8 |
| 0.935 | 40.1 | 47.5 |
| 0.930 | 42.6 | 50.2 |
| 0.925 | 44.9 | 52.7 |
| 0.920 | 47.3 | 55.1 |
| 0.915 | 49.5 | 57.4 |
| 0.910 | 51.8 | 59.7 |
| 0.905 | 53.9 | 61.9 |
| 0.900 | 56.2 | 64.0 |
| 0.895 | 58.3 | 66.2 |
| 0.890 | 60.5 | 68.2 |
| 0.885 | 62.7 | 70.2 |
| 0.880 | 64.8 | 72.2 |
| 0.875 | 66.9 | 74.2 |
| 0.870 | 69.0 | 76.1 |
| 0.865 | 71.1 | 77.9 |
| 0.860 | 73.2 | 79.7 |
| 0.855 | 75.3 | 81.5 |
| 0.850 | 77.3 | 83.3 |
| 0.845 | 79.4 | 85.0 |
| 0.840 | 81.4 | 86.6 |
| 0.835 | 83.4 | 88.2 |
| 0.830 | 85.4 | 89.8 |
| 0.825 | 87.3 | 91.2 |
| 0.820 | 89.2 | 92.7 |
| 0.815 | 91.1 | 94.1 |
| 0.810 | 93.0 | 95.4 |
| 0.805 | 94.4 | 96.6 |
| 0.800 | 96.5 | 97.7 |
| 0.795 | 98.2 | 98.9 |
| 0.791 | 99.5 | 99.7 |
酒精度數計算
酒精水溶液中純酒精的含量就是其濃度,我國是以容量(體積)百分數進行酒精水溶液的濃度計算的。如平常說的五十度酒是指在20℃時100體積酒精溶液中含有50體積純酒精。計算式:
酒精容量=(純酒精容量數/酒精水溶液總容量數)×100%
酒精度數=酒精容量×100
化學性質
酸鹼性
乙醇不是酸(一般意義上的酸,它不能使酸鹼指示劑變色,也不具有酸的通性),乙醇溶液中含有極化的氧氫鍵,電離時生成烷氧基負離子和質子(氫離子)。
C2H6O[乙醇]乙醇的pKa=15.9,與水相近。
乙醇的酸性很弱,但是電離平衡的存在足以使它與重水之間的同位素交換迅速進行。
C2H6O[乙醇]
還原性
乙醇具有還原性,可以被氧化(催化氧化)成為乙醛甚至進一步被氧化為乙酸。
酒精中毒的罪魁禍首通常被認為是有一定毒性的乙醛(乙醇在體內也可以被氧化,但較緩慢,因為沒有催化劑),而並非喝下去的乙醇。
化學方程式:
C2H6O[乙醇]實際上是銅先被氧化成氧化銅;然後氧化銅再與乙醇反應,被還原為單質銅(黑色氧化銅變成紅色)。
乙醇也可被高錳酸鉀氧化成乙酸,同時高錳酸鉀由紫紅色變為無色。
乙醇也可以與酸性重鉻酸鉀溶液反應,當乙醇蒸汽進入含有酸性重鉻酸鉀溶液的矽膠中時,可見矽膠由橙紅色變為灰綠色(Cr ),此反應可用於檢驗司機是否飲酒駕車(酒駕)。
化學反應
1、與金屬反應
C2H6O[乙醇]因為乙醇可以電離出極少量的氫離子,所以其只能與少量金屬(主要是鹼金屬)反應生成對應的有機鹽以及氫氣:
結論:
(1)乙醇可以與金屬鈉反應產生氫氣,但不如水與金屬鈉反應劇烈。金屬鈉與水反應劇烈,鈉熔化,氣泡猛烈,反應生成的熱,可使鈉燃燒;而乙醇與金屬鈉的反應很緩慢,形狀不怎么變化,氣泡很緩慢,金屬鈉沉在溶液底下。
(2)活潑金屬(鉀、鈣、鈉等)可以將乙醇羥基里的氫取代出來。醇的金屬鹽遇水則迅速水解生成醇和鹼。
2、酯化反應
C2H6O[乙醇]乙醇可以與乙酸在濃硫酸的催化並加熱的情況下,發生酯化作用,生成乙酸乙酯(具有果香味;酒放得越久就越香就是因為乙醇被緩慢氧化成乙酸,然後發生酯化反應作用,生成乙酸乙酯)。反應為可逆反應:
反應中酸脫去羥基,醇脫去羥基上的氫,即“酸脫羥基醇脫氫”。
3、取代反應
乙醇可以和鹵化氫發生取代反應,生成鹵代烴和水。
C2H6O[乙醇]通式: (X為鹵素)
注意:通常用溴化鈉和中等濃度的硫酸的混合物與乙醇加熱進行該反應,故常有紅棕色氣體(溴單質)產生。
4、氧化反應
①燃燒
乙醇燃燒產生的光譜乙醇易燃,其蒸氣能與空氣形成爆炸性混合物。
完全氧化反應:發出淡藍色火焰,生成二氧化碳和水(蒸氣),並放出大量的熱;
不完全燃燒時還生成一氧化碳,有黃色火焰,放出熱量。
C2H6O[乙醇]完全燃燒:
C2H6O[乙醇]不完全燃燒: (方程式係數可以不同,故沒有配平)
② 催化氧化:在加熱和有催化劑(Cu或Ag)存在的情況下進行。
C2H6O[乙醇]
C2H6O[乙醇]以上反應即催化氧化的實質
C2H6O[乙醇]總式: (制乙醛的原理)
乙醇也可被濃硫酸跟高錳酸鉀的混合物發生非常激烈的氧化反應,燃燒起來。
5、脫水反應
乙醇可以在濃硫酸和高溫的催化發生脫水反應,隨著溫度的不同生成物也不同。
1、消去(分子內脫水)制乙烯(170℃濃硫酸)(切記要注酸入醇,酸與醇的比例是1:3)
C2H6O[乙醇]製取時要在燒瓶中加入碎瓷片(或沸石)以免暴沸。
2、縮合(分子間脫水)制乙醚
C2H6O[乙醇](此為取代反應, thick代表濃)
主要種類
1、按生產使用的原料可分為澱粉質原料發酵酒精、糖蜜原料發酵酒精、亞硫酸鹽紙漿廢液發酵生產酒精。
澱粉質原料發酵酒精(一般有薯類、穀類和野生植物等含澱粉質的原料,在微生物作用下將澱粉水解為葡萄糖,再進一步由酵母發酵生成酒精);
糖蜜原料發酵酒精(直接利用糖蜜中的糖分,經過稀釋殺菌並添加部分營養鹽,借酵母的作用發酵生成酒精);
和亞硫酸鹽紙漿廢液發酵生產酒精(利用造紙廢液中含有的六碳糖,在酵母作用下發酵成酒精,主要產品為工業用酒精。也有用木屑稀酸水解製作的酒精)。
2、按生產的方法來分,可分為發酵法、合成法兩大類。
3、按產品質量或性質來分,又分為高純度酒精、無水酒精、普通酒精和變性酒精。
4、按產品系列(BG384-81)分為優級、一級、二級、三級和四級。其中一、二級相當於高純度酒精及普通精餾酒精。三級相當於醫藥酒精,四級相當於工業酒精。新增二級標準是為了滿足不同用戶和生產的需要,減少生產與使用上的浪費,促進提高產品質量而制訂的。
分子結構
C、O原子均以sp³雜化軌道成鍵、極性分子。
乙醇分子是由是由C、H、O 三種原子構成(乙基和羥基兩部分組成),可以看成是乙烷分子中的一個氫原子被羥基取代的產物,也可以看成是水分子中的一個氫原子被乙基取代的產物。
工業製備
製備原料有澱粉、乙烯、磷酸、硫酸、葡糖澱粉酶, 衍生產品為鹽酸乙醇液、二硫化硒、環氧乙烷、對二乙基苯、聯苯、6-甲氧基-2-乙醯萘、戊基氰基三聯苯、乙醛、甲醛、乙醇鈉、乙醚、乙酸乙酯、乙醇(無水)、復盆子酮等。
工業上一般用澱粉發酵法或乙烯直接水化法製取乙醇:
發酵法
糖質原料(如糖蜜、亞硫酸廢液等)和澱粉原料(如甘薯、玉米、高梁等)發酵;
發酵法制乙醇是在釀酒的基礎上發展起來的,在相當長的歷史時期內,曾是生產乙醇的唯一工業方法。
發酵法的原料可以是含澱粉的農產品,如穀類、薯類或野生植物果實等;也可用製糖廠的廢糖蜜;或者用含纖維素的木屑、植物莖稈等。這些物質經一定的預處理後,經水解(用廢蜜糖作原料不經這一步)、發酵,即可製得乙醇。
發酵液中的質量分數約為6%~10%,並含有其他一些有機雜質,經精餾可得95%的工業乙醇。
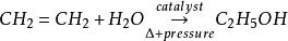
乙烯水化法
乙烯直接或間接水合。
乙烯直接水化法,就是在加熱、加壓和有催化劑存在的條件下,是乙烯與水直接反應,生產乙醇:
C2H6O[乙醇]( catalyst是催化劑, pressure是加壓)
此法中的原料—乙烯可大量取自石油裂解氣,成本低,產量大,這樣能節約大量糧食,因此發展很快。
煤化工
以煤基合成氣為原料,經甲醇、二甲醚羰基化、加氫合成乙醇的工藝路線。
聯合生物加工
利用生物能源轉化技術生產乙醇能緩解非再生化石能源日漸枯竭帶來的能源壓力。來源廣泛的纖維素將是很有潛力的生產乙醇原料。然而由於各種原因,一般的發酵法生產乙醇成本較高,乙醇生產難以規模化。聯合生物加工技術,一體化程度高,能有效降低生產成本,未來發展前景廣闊。
①原因
生物轉化使用的原料是玉米等糧食作物,但是這些原料的大量使用會影響到糧食安 全,所以秸稈、麩皮、鋸木粉等農業、工業廢棄物等含有大量的木質纖維素,將是很有潛力的乙醇發酵原料。另外,生物燃料的生產過程中,纖維素的預處理和纖維素酶的生產成本較高。因此減少預處理,增強纖維素酶的活性,提高發酵產物的產量和純度,減少中間環節也是降低生產成本的途徑。
②原理
聯合生物加工 (consolidated bioprocessing,CBP)不包括纖維素酶的生產和分離過程,而是把糖化和發酵結合到由微生物介導的一個反應體系中,因此與其他工藝過程相比較,底物和原料的消耗相對較低,一體化程度較高。
③工藝
生理學研究和¹⁴C標記的纖維素實驗說明,生長於纖維素上的微生物的生物能量效益取決於胞內低聚糖攝取過程中β一糖苷鍵磷酸解的效率,並且這些效益超過了纖維素合成的生物能量成本。這些研究為纖維素分解菌在纖維素上快速生長提供了實驗依據和理論依據。 套用聯合生物加工的關鍵是構建出能完成多個生化反應過程的酶系統,使纖維素原料通過一個工藝環節就轉變為能源產品。一些細菌和真菌具有CBP所需要的特性,所以改造現有的微生物已成為研究的熱點。以基因重組等為代表的生物工程技術已經使這種構想成為現實,並為設計出更完善的CBP酶系統提供了可能。對相關的微生物改造主要有以下3個策略:
1.天然策略
是將本身可產生纖維素酶的微生物,尤其是厭氧微生物進行改造,使其適應CBP生產的要求。這種策略關鍵在於,提高對乙醇的耐受力,減少副產物的生成,導入新的代謝基因將糖化產物全部或者大部分進行發酵,從而產出高濃度的乙醇。
2.重組策略
是通過基因重組的方法表達一系列的外切葡聚糖酶和內切葡聚糖酶等纖維素酶基因,使微生物能以纖維素為唯一碳源,將來源於纖維素的糖類完全或者大部分進行發酵。 重組策略所遇到的問題有:(1)外源基因共表達對細胞的有害性。(2)需要在轉錄水平使外源基因適量表達。 (3)一些分泌蛋白可能摺疊不正確。因為纖維素降解蛋白合成之後必須要正確摺疊才能分泌並行使功能。未正確摺疊的蛋白分泌後要通過內質網結合蛋白降解,而且對內質網造成壓力。
3.共培養策略
共培養策略有兩層含義:一是指發酵液中存在的不同的類型的微生物,利用廣泛類型的糖類底物。例如將僅能利用己糖的熱纖維梭菌與能利用戊糖的微生物進行共培養。這能避免不同生物間的底物競爭,實現乙醇產量最大化。二是指存在不同特性的微生物相互協作,加強發酵效果。
④特點
1.提高乙醇耐受力
高濃度的乙醇能改變細胞膜上的受體蛋白,阻遏糖酵解和代謝循環,最終抑制細胞的生長和發酵。許多證據表明,乙醇耐受基因不是單一的基因,全轉錄工程提供了一個新方法。例如分別通過三種轉錄調控因子基因的突變,釀酒酵母的乙醇耐受力有所提高。
2.提高糖轉運效率
糖類不能自由地穿過細胞膜,微生物是通過特定的糖轉運蛋白來利用糖類,所以了解糖轉運機制是必要的。轉運蛋白作為培養基中糖濃度的“感受器”,可產生相應的胞內信號.不同的糖轉運蛋白在不同的濃度下行使功能,從而使微生物在較廣的範圍內利用糖類。
這是生物方法的綜合運用。當然,還有其他的生產工藝方法,基本原理都是運用生物發酵的方法生產乙醇,如:木質纖維素原料酶水解產乙醇,玉米秸稈發酵生產乙醇等。這些基本的發酵方法通過聯合生物加工,可以大大提高乙醇的生產效率、減低生產成本。
⑤提純
75%的乙醇可以用蒸餾的方法蒸餾到95.5%。此後形成恆沸物,不能提高純度。
95%的乙醇可以用生石灰煮沸回流提純到99.5%。
99.5%的乙醇可以用鎂條煮沸回流製得99.9%的乙醇。
1.分批萃取精餾法
乙醇的生產離不開精餾、萃取等化工流程。氧化鈣脫水法、共沸精餾、吸附精餾、滲透汽化、吸附法、萃取精餾法和真空脫水法等多用在乙醇的回收和提純的方面。實際生產中較成熟的方法是共沸精餾和萃取精餾,這2 種分離方法多以連續操作的方式出現。在一些領域生產乙醇設備簡單、投資小,可單塔分離多組分混合物,或同一塔可處理種類和組成頻繁更換的物系。分批共沸精餾可以同時滿足這些要求,但是分批共沸精餾所需的塔板數較多,產品中常含有微量的苯不能套用於醫藥和化學試劑領域,且生產中易發生苯中毒事故。
分批萃取精餾(BED) 則無以上缺點,且可以同時具備分批精餾與萃取精餾兩者的優點。其工藝特點是連續萃取精餾至少需要3 個精餾塔的工藝來完成:乙醇稀溶液富集到共沸組成(乙醇質量分數95.7 %) ,萃取精餾回收無水乙醇,回收溶劑以循環使用。並且連續萃取精餾法只適於原料組成固定的、規模較大的連續生產中。而且設備投資少,僅用單塔可完成原料富集、萃取精餾和溶劑回收3 項任務;且精密度高,可根據實際生產的需求,靈活地調節產品純度;節省操作成本、無需連續操作;此設備也可用於回收其他有機溶劑。
2.分子篩固定床吸附法(簡稱分子篩法)
分子篩是一種無色、無臭、無毒的新材料,在無水乙醇製備和其他共沸混合物分離過程中無需添加第三組分,生產過程幾乎無毒害三廢排放;共沸法牽涉到苯、環已烷等高毒性的第三組分。工藝簡單可靠、產品質量優,是一種環保、節能型工藝。
優點是可以降低設備安裝高度,提高固定床有效吸附量及成品質量穩定性。產生的廢氣、廢渣、廢液均有很好的處理方法。
套用領域
工業原料
乙醇的用途很廣,可以用於:
溶劑;有機合成;各種化合物的結晶;洗滌劑;萃取劑;
食用酒精可以勾兌白酒;用作粘合劑;硝基噴漆;清漆、化妝品、油墨、脫漆劑等的溶劑以及農藥、醫藥、橡膠、塑膠、人造纖維、洗滌劑等的製造原料、還可以做防凍劑、燃料、消毒劑等。
75%的乙醇溶液常用於醫療消毒。
消毒用品
體積分數99.5%以上的酒精稱為無水酒精。生物學中的用途:葉綠體中的色素能溶在有機溶劑無水乙醇(或丙酮)中,所以用無水乙醇可以提取葉綠體中的色素。
95%的酒精用於擦拭紫外線燈。這種酒精在醫院常用,而在家庭中則只會將其用於相機鏡頭的清潔。
70%~75%的酒精用於消毒。這是因為,過高濃度的酒精會在細菌表面形成一層保護膜,阻止其進入細菌體內,難以將細菌徹底殺死。若酒精濃度過低,雖可進入細菌,但不能將其體內的蛋白質凝固,同樣也不能將細菌徹底殺死。其中75%的酒精消毒效果最好。
40%~50%的酒精可預防褥瘡。長期臥床患者的背、腰、臀部因長期受壓可引發褥瘡,如按摩時將少許40%~50%的酒精倒入手中,均勻地按摩患者受壓部位,就能達到促進局部血液循環,防止褥瘡形成的目的。
25%~50%的酒精可用於物理退熱。高燒患者可用其擦身,達到降溫的目的。因為用酒精擦拭皮膚,能使患者的皮膚血管擴張,增加皮膚的散熱能力,酒精蒸發,吸熱,使病人體表面溫度降低,症狀緩解。
注意:酒精濃度不可過高,否則可能會刺激皮膚,並吸收表皮大量的水分。
飲料製品
乙醇是酒主要成分(含量和酒的種類有關係)。
注意:日常飲用的酒內的乙醇不是把乙醇加進去,而是微生物發酵得到的乙醇,當然根據使用的微生物種類不同還會有乙酸或糖等有關物質。
白酒的度數表示酒中含乙醇的體積百分比(西方國家常用proof表示酒精含量),通常是以20℃時的體積比表示的,如50度的酒,表示在100毫升的酒中,含有乙醇50毫升(20℃)。另外對於啤酒是表示啤酒生產原料麥芽汁的濃度,以12度的啤酒為例,是麥芽汁發酵前浸出物的濃度為12%(重量比)。麥芽汁中的浸出物是多種成分的混合物,以麥芽糖為主。啤酒中乙醇濃度一般低於10%。
有機原料
乙醇可用來製取乙醛、乙醚、乙酸乙酯、乙胺等化工原料,也是製取、染料、塗料、洗滌劑等產品的原料。
汽車燃料
早在19世紀,就出現了現代生物能源乙醇。1902 年,Deutz可燃氣發動機工廠特意將1/3的重型機車利用純乙醇作為燃料,隨後的1925 年至1945年間,乙醇被加入到汽油里作為抗爆劑。可以說安全、清潔是乙醇的主要優勢。
第一代生物能源正是乙醇(俗稱“汽車酒精”)。這類乙醇使用糧食或者甘蔗作為原料,通過澱粉或者蔗糖發酵得到的,而微生物在其中起著至關重要的作用。生物乙醇發酵是目前最大規模的微生物發酵過程。
乙醇可以調入汽油作為車用燃料。 美國銷售乙醇汽油已有20年歷史,我國高粱乙醇在汽油中占10%。
乙醇汽油也被稱為“E型汽油”,我國使用乙醇汽油是用90%的普通汽油與10%的燃料乙醇調和而成。它可以改善油品的性能和質量,降低一氧化碳、碳氫化合物等主要污染物排放。
藥理作用
消毒
廣泛用於醫用消毒(體積分數為75%±5%的乙醇溶液常用於醫療消毒)。
一般使用 95%的酒精用於器械消毒;70~75%的酒精用於殺菌,例如75%的酒精在常溫(25℃)下,一分鐘內可以殺死大腸桿菌、金黃色葡萄球菌、白色念珠菌、白色念球菌、銅綠假單胞菌等;更低濃度的酒精用於降低體溫,促進局部血液循環等。
但是研究表明,乙醇不能殺死細菌芽孢,也不能殺死肝炎病毒(如:B肝病毒)。故乙醇只能用於 一般消毒,達不到滅菌標準。
食用
乙醇還可以用於食用,如酒。因為它能作為良好的有機溶劑,所以中醫用它來送服中藥,以溶解中藥中大部分有機成分。
酒精在中藥使用上的作用:
1、酒精可以行藥勢,古人謂“酒為諸藥之長”,酒精可以便藥力外達於表而上至於顛,使理氣行血藥物的作用得到較好的發揮,也能使滋補藥物補而不滯;
2、酒精有助於藥物有效成分的析出,中藥的多種成分都易於溶解酒精之中;
3、防腐作用。
吸收
飲酒後,乙醇很快通過胃和小腸的毛細血管進入血液。
一般情況下,飲酒者血液中乙醇的濃度(blood alcohol concentration,BAC)在30~45分鐘內將達到最大值,隨後逐漸降低。
當BAC超過1000mg/L時,將可能引起明顯的乙醇中毒。
攝入體內的乙醇除少量未被代謝而通過呼吸和尿液直接排出外,大部分乙醇需被氧化分解。
代謝
在乙醇的代謝過程中乙醇脫氫酶(alcohol dehydrogenase,ADH)起著至關重要的作用,它主要分布在肝臟,在胃腸道及其他組織中也有少量分布。
乙醇通過血液流到肝臟後,首先被ADH氧化為乙醛,而乙醛脫氫酶則能把乙醛進一步催化為乙酸,在肝臟中乙醇還能被CYP2E1酶分解代謝。
人喝酒後面部潮紅,是因為皮下暫時性血管擴張所致,因為這些人體內有高效的乙醇脫氫酶,能迅速將血液中的酒精轉化成乙醛,而乙醛具有讓毛細血管擴張的功能,會引起臉色泛紅甚至身上皮膚潮紅等現象,也就是平時所說的“上臉”。另外還有一種酶——乙醛脫氫酶,喝酒臉紅的人是只有乙醇脫氫酶沒有乙醛脫氫酶,所以體內迅速累積乙醛而遲遲不能代謝引起的。
乙醇代謝的速率主要取決於體內酶的含量,其具有較大的個體差異,並與遺傳有關。
人體內若是具備這兩種酶,就能較快地分解酒精,中樞神經就較少受到酒精的作用,因而即使喝了一定量的酒後,也行若無事。在人體中,都存在乙醇脫氫酶,而且大部分人數量基本是相等的。但缺少乙醛脫氫酶的人就比較多。乙醛脫氫酶的缺少,使乙醛分解較慢,在體記憶體留時間較長,所以嚴格地說酒精的代謝速度是沒法用一個準確的速度來描述的,因人而異。
燃料乙醇
燃料乙醇一般是指體積分數達到 99.5%以上的無水乙醇,是 良好的辛烷值調和組分和汽油增氧劑,燃燒乙醇汽 油能夠有效減少汽車尾氣中的 PM2.5 和 CO[1],其 作為可再生液體燃料的代表之一,可補充化石燃料 資源,降低石油資源對外依存度,減少溫室氣體和 污染物排放,近年來受到世界各國的廣泛關注。自巴西、美國率先於 20 世紀 70 年代中期大力推行燃 料乙醇政策以來,加拿大、法國、西班牙、瑞典等 國紛紛效仿,目前以甘蔗、玉米為原料的第 1 代燃 料乙醇產業已經形成規模,燃料乙醇已經成為世界 消費量最大的生物燃料。
世界燃料乙醇發展概況
2011年世界生物燃料總產量為9095萬噸,其中燃料乙醇產量為6680萬噸。
美國是目前世界上最大的燃料乙醇生產國,2011年總產能為4454萬噸/年(149億加侖/年),實際產量約為4153萬噸(139億加侖,1加侖=3.78541L,下同),較2010年(3944萬噸)增加了5.3%,占世界燃料乙醇總產量的62.2%。美國共有燃料乙醇生產企業209家,絕大多數以玉米為原料,目前美國非糧原料燃料乙醇廠。美國通過法令的形式,強制規定了燃料乙醇的使用量。2005年通過的可再生燃料標準(RFS)能源政策法案(EPAct)規定到2012年生物燃料使用量要達到75億加侖。2007年美國能源獨立與安全法案(EISA)中對RFS進行了修訂,建立了RFS2計畫,對每年運輸用的纖維素生物燃料、生物柴油和先進生物燃料的使用量進行了規定,要求到2022年生物燃料的總使用量要達到360億加侖(235萬桶/日),其中纖維素生物燃料的使用量要達到160億加侖。目前美國市場上同時銷售不含乙醇的汽油、E10和E15汽油。E10已經在美國得到廣泛套用,使用比例達到95%,銷售商將辛烷值為83.5~83.7的汽油與乙醇(體積分數占10%)調和得到辛烷值為87的乙醇汽油;E15則適用於2001年以後生產的車輛。從2000—2011年美國燃料乙醇的實際使用情況看,符合RFS2的要求。2012年美國受高溫乾旱的影響,玉米價格上漲影響了美國燃料乙醇的生產,燃料乙醇產量較2011年下降4.6%。
巴西是第二大燃料乙醇生產國,以甘蔗為主要原料,約有50%的甘蔗用於生產燃料乙醇,燃料乙醇供應了其國內輕型乘用車38%的燃料需求。2011年受甘蔗減產的影響,燃料乙醇減產,總產量為1665.2萬噸,占世界總產量的25%,較2010年下降了19.5%。巴西銷售燃料乙醇的方式有兩種:含水乙醇和無水乙醇。含水乙醇用於純乙醇燃料汽車,而無水乙醇則用於與汽油調和,巴西銷售的汽油中均含有20%~25%的乙醇。巴西燃料乙醇產業的成功得益於其靈活燃料汽車(FFV)的推廣,目前銷售的汽車中90%為FFV,其燃料乙醇生產企業大多都與蔗糖生產相結合,共有350座燃料乙醇生產廠,約有80%位於巴西聖保羅州,另有20%位於巴西北部地區。其中273座工廠可同時生產糖和乙醇,單生產燃料乙醇的工廠僅有77座。
近年來,德國十分重視燃料乙醇的使用,2010年德國共有13家燃料乙醇生產企業,總產能100萬噸/年,2010年總產量60萬噸,但消費總量達到102萬噸,因此需從荷蘭、比利時、法國和波蘭進口燃料乙醇。預計到2020年,德國燃料乙醇的消費量將達到156萬噸。德國乙醇的銷售方式有3種:直接與汽油調和銷售;以乙基叔丁基醚(ETBE)與汽油調後銷售;以E85銷售。2010年這3種方式分別銷售85.9萬噸、14.9萬噸和1.3萬噸。
日本交通部門的石油對外依存度接近於100%,日本經濟產業省2006年發布了“國家新能源戰略”,計畫到2030年將石油的對外依存度降低80%,到2020年要實現可再生燃料替代3%的汽油消費量的目標。燃料乙醇是日本國內最主要的可再生燃料種類之一,根據日本“揮髮油類質量標準”的要求,汽油中需要摻調3%的燃料乙醇,採用直接與汽油摻混或以ETBE與汽油摻混的方式使用,其燃料乙醇消費總量的97%從海外進口。目前日本國內燃料乙醇總產能約為3萬噸/年,主要以糧食、甜菜為原料,也有一些纖維素乙醇示範裝置。
燃料乙醇生產技術進展
目前,燃料乙醇的生產方法主要分為化學合成法和生物法。化學合成法包括乙烯路線和合成氣路線,生物法分為生物化學法和熱化學法。
目前普遍研究的合成氣化學法生產乙醇有2種方法。一種是甲醇羰基化,美國聯碳公司利用Co(OAc)-12催化劑,甲醇與合成氣反應製取乙醇,獲得了較高的轉化率和產品選擇性;殼牌公司用甲醇和合成氣在CoI、CoBr的催化作用下反應,甲醇轉化率可達51.1%,乙醇選擇性63.8%。另一種方法是合成氣在催化劑的作用下直接合成乙醇,美國聯碳公司開發的Rh系催化劑、德國Hoechst公司開發的Rh-Mg系催化劑和法國IFP開發的Co-Cu-Cr-鹼系催化劑,都取得了一定進展。雖然國內外已在該領域開展了大量研究工作,但在目標產物轉化率和收率方面還有待進一步提高,因此該方法目前尚未得到工業套用。美國塞拉尼斯公司基於其甲醇羰基合成乙酸工藝,開發了TCX乙醇生產技術。該技術使用合成氣和氫氣為原料,在合成乙酸後,乙酸和氫氣在鉑/ 錫催化劑的作用下發生加氫反應製備乙醇,具有生產成本低、占地面積小和裝置規模大(110萬噸/ 年)等特點,其全生命周期水耗比傳統生物燃料水耗要低。該工藝與生物質氣化技術結合可低成本生產生物燃料乙醇。2012年4月,塞拉尼斯公司獲準在南京建設27.5萬噸/年工業乙醇項目,該公司同時計畫在中國珠海、內蒙古,美國德克薩斯州和印度尼西亞建設乙醇生產裝置。加拿大Enerkem公司開發了以城市垃圾為原料,經氣化、合成氣淨化、甲醇羰基化生產乙醇的成套技術,該工藝每10噸垃圾可生產3噸乙醇。Enerkem公司在加拿大的魁北克已經建成一座130萬加侖/年的工業示範裝置,目前與GreenField乙醇公司合作在加拿大埃德蒙頓建設其10萬加侖/年的商業生產裝置,並計畫在美國Pontotoc和加拿大Varennes另建2座10萬加侖/年的生產裝置。
生物發酵制燃料乙醇分為生化法和合成氣發酵2種。生化法是目前製取燃料乙醇的最主要方法,近十年以糧食和甘蔗為原料的第1代燃料乙醇產業快速發展。玉米燃料乙醇的生產過程包括預處理、脫胚製漿、液化、糖化、發酵和乙醇蒸餾步驟。早期的糧食乙醇生產工藝存在能耗高、反應速度慢 和原料利用率低的缺點,經過多年的技術改進,糧食乙醇的效率已經得到很大提高。目前美國大部分乙醇企業的澱粉轉化率已經達到90%~95%,生產1億加侖燃料乙醇,需要90萬噸玉米,可同時副產30萬噸動物飼料和8500噸玉米油。糧食乙醇的酶製劑的成本也經歷了從高到低的下降過程,酶製劑在成本中所占比例從30%~40%下降到了5%~10%。諾維信公司(Novozymes)在2012年推出了Avantec液化酶,在相同的工藝條件下,可提高乙 醇產率2.5%,每生產1億加侖燃料乙醇可減少糧食消耗2.25萬噸。以甜高粱莖稈和木薯等非糧作物為原料的1.5代燃料乙醇,主要是利用作物中的糖類物質,採用生化工藝,通過糖發酵生產燃料乙醇。目前,以纖維素和其它廢棄物為原料的第2代燃料乙醇生產技術主要有生化法和熱化學法。纖維素生物發酵制燃料乙醇的技術路線包括預處理、纖 維素水解和單糖發酵3個關鍵步驟。預處理方法分為物理法、化學法、物理化學法和生物法, 目的是分離纖維素、半纖維素和木質素,增加纖維素與酶的接觸面積,提高酶解效率。物理方法包括機械粉碎、蒸汽爆碎、微波輻射和超音波預處理;化學法一般採用酸、鹼、次氯酸鈉、臭氧等試劑進行預處理,其中以NaOH和稀酸預處理研究較多;物理化學法包括蒸汽爆破和氨纖維爆破法;生物法是用白腐菌產生的酶類分解木質素。這些預處理方法各有其優缺點,今後的主要研究方向是繼續探索反應條件溫和、無有毒副產物和糖化效率高的預處理技術。纖維素酶成本較高的問題長期以來一直是阻礙纖維素乙醇產業發展的障礙。20世紀90年代,每加侖纖維素乙醇的酶成本約為5美元。為了降低酶費用,美國能源部為Novozymes公司和Genencor公司提供資金研究纖維素糖化酶,2012年Novozymes推出酶製劑產品Cellic CTec3,比其 推出的上一代商業酶CTec2轉化效率提高了50%,並且提高了溫度和酸鹼度的適應範圍,降低了纖維素乙醇的生產成本(由2.5美元/加侖降至2美元/加侖)。Genencor公司在2011年推出最新一代的纖維素複合酶Accellerase® TRIO產品,該酶同時含有外切葡聚糖酶,在Accellerse DUET基礎上,提高了處理高濃度底物的能力,酶用量可減少一半,最佳工作條件為pH值4.0~6.0,溫度40~57℃,可用於SSCF發酵工藝。丹麥DSM公司也推出了商業套用的纖維素水解酶,為Inbicon纖維素乙醇生產裝置提供酶產品。
纖維素乙醇生產工藝主要分為4種,包括分步水解與發酵工藝(SHF)、同步糖化發酵工藝(SSF)、同步糖化共發酵(SSCF)和直接微生物轉化工藝(DMC)。
其中SHF工藝是最先開發和套用最廣的纖維素乙醇技術,即纖維質原料首先利用纖維素酶水解後,再進行 C、C糖發酵,可分別發酵, 也可利用C、C共發酵菌株生產乙醇,該方法的缺點是隨著酶水解產物的積累,會抑制水解反應完全。目前絕大多數商業裝置都採用SHF工藝,如加拿大Iogen、杜邦DDCE等。
同步糖化發酵工藝(SSF)是將纖維素酶解與葡萄糖乙醇發酵整合在同一個反應器內進行,酶解過程中產生的葡萄糖被微生物迅速利用,消除了糖對纖維素酶的反饋抑制作用。Abengoa Bioenergy在其330噸/年的中試裝置上採用了SSF技術。同步糖化和共發酵工藝(SSCF)利用C糖和C糖共發酵菌株進行酶解同步發酵,提高了底物轉化率,增加了乙醇產量。直接微生物轉化工藝(DMC)也稱為統合生物工藝(CBP),將木質纖維素的生產、酶水解和同步糖化發酵過程集合為一步進行,要求此微生物/微生物群既能產生纖維素酶,又能利用可發酵糖類生產乙醇。
目前Mascoma公司在其500噸/年的中試裝置上使用該 技術,該公司利用酵母和細菌共同完成纖維素酶的生產和乙醇發酵過程,由於減少了酶生產單元,大大降低了生產費用,Mascoma公司和瓦萊羅公司合資建設的2000萬加侖/年商業規模纖維素乙醇工廠將使用CBP技術。法國Deinove公司與Tereos合作開發出一種稱作“奇球菌”的菌株,利用CBP技術,可直接將生物原料纖維素分解成單糖並轉化成乙 醇,生物燃料生產成本有望降低20%~30%。合成氣生物轉化乙醇主要由原料氣化、合成氣預處理和合成氣發酵單元構成。生物轉化所需的合成氣原料與化學轉化過程相同,利用能夠以CO和H為底物生長的微生物,通過厭氧發酵將合成氣轉化為燃料和化學品,合成氣生物轉化的反應條件溫和、反應副產物少、合成氣原料要求低、對原料氣中的硫化物耐受性強,目前已經從自然界分離出了多株適合合成氣發酵的菌株。Coskata公司開發了利用合成氣發酵制乙醇的技術,2009年該公司在美國賓夕法尼亞州建成4萬加侖/年的工業示範裝置,截至目前,該裝置已經運轉2年,其氣化1噸生物質原料可生產0.3噸燃料乙醇。
LanzaTech公司開發了利用鋼廠廢氣(CO)發酵生產乙醇的技術,在紐西蘭建立了1m 的中試裝置,並與寶鋼合資建成了300噸/年示範裝置。英力士公司則開發了垃圾氣化制合成氣,合成氣生物發酵生產燃料乙醇的技術,並已經在美國佛羅里達建成2.4萬噸/年燃料乙醇生產裝置,該裝置以當地的蔬菜廢棄物為原料,採用兩級氣化工藝製備合成氣,合成氣經淨化、微生物發酵和精餾得到燃料乙醇產品。該裝置無需使用化石燃料,不但能夠生產800萬加侖/年燃料乙醇,而且能夠產生6MW的電能,在裝置自給的情況下還能外送1~2MW電能。英力士公司目前正在英國的Seal Sands建設其15萬噸/年的商業裝置,該裝置將副產43MW的電能,預計可外送電能24MW。
合成氣發酵制燃料乙醇相比於生物化學法,原料來源廣泛,既可以利用單一生物質原料,也可使用多種原料的混合物,如生物質、石油焦、城市垃圾和煤炭等原料,無需複雜的預處理單元和使用昂貴的生物酶;原料利用率高,纖維素、半纖維素和木質素都可以氣化,達到了利用全部木質纖維素原料的目的。
但目前生物質氣化技術尚不成熟,氣化效率較低,直接制約了生物質熱化學技術的套用,合成氣轉化過程還需要繼續改進提高生產穩定性,也是目前需要解決的主要問題。美國ZeaChem公司開發的乙醇生產技術是將木質纖維素水解得到葡萄糖和木糖,利用乙酸發酵菌將糖轉化為乙酸,乙酸酯化得到乙酸乙酯,加氫後得到乙醇產品,氫氣由酸水解得到的木質素氣化生產。該技術的優點在於可以利用整個木質纖維素,提高了原料利用率,每噸乾物質的乙醇產量可達160加侖,相比於其它工藝,乙醇產率提高了50%。
該公司2012年底完成了其25萬加侖/年纖維素乙醇生產裝置的設備施工。此外合成生物學也是目前研究的熱點,如美國LS9公司通過對微生物的基因改造,可將底物直接轉化為多種化學品。除了以上燃料乙醇生產技術外,還可直接將太陽能轉化為燃料乙醇。美國Joule公司開發的Liquid Solar Energy技術在微生物的作用下能夠直接將陽光和CO轉化為乙醇和其它燃料產品,目標成本為1.28美元/加侖,預計2014年將實現商業套用。美國Algenol公司開發了光合制乙醇技術,利用藍藻在封閉光生物反應器(PBRS)中的光合作 用直接生產乙醇,乙醇從藻類培養液中蒸發,冷凝收集後,提純至燃料級乙醇。該工藝不但能夠產生乙醇,還能產生純淨水。目前該公司與陶氏化學合作在佛羅里達州建設10萬加侖/年燃料乙醇生產裝置。
世界燃料乙醇產業發展現狀
以糧食為原料的第1代燃料乙醇由於存在成本過高、對土地和糧食安全造成威脅等問題而備受爭議。
樂施會(Oxfam)的研究表明,以糧食為原料的生物燃料推高了糧食價格,並大量占用土地資源,過去十年中亞洲、非洲和拉美有60%的新開發土地被用於生產生物燃料。傳統生物燃料“與糧爭地,與人爭糧”。歐盟為了減少因使用以糧食為原料的生物燃料對社會和環境帶來的負面影響,2012年10月公布了新生物燃料法令限制使用糧食生產生物燃料,到2020年,以糧食為原料的生物燃料的使用比例不得超過5%。
目前第1代生物燃料占歐盟交通運輸領域能源消耗總量的4.5%。美國2011年燃料乙醇消耗的玉米達50.5億蒲式耳(1.28億噸),相當於美國當年玉米總產量的40%左右,占全球玉米產量的25%。2011年美國國會取消了持續多年的乙醇調和稅收減免政策(減免45美分/加侖)和進口關稅(54 美分/ 加侖)。2012年夏天,美國發生了56年來最嚴 重的乾旱,玉米產量下降了20%,降至2010年來最低水平,導致玉米價格上漲48%。由於美國的玉米乙醇產量下降,巴西乙醇32年來首次直接進入美國市場。巴西2010/2011和2011/2012榨季也曾面臨因蔗糖產量下降而導致的燃料乙醇產量下降,並且在2011年將乙醇汽油中乙醇的調和比例從25%降低至20%。
由於糧食乙醇存在“與糧爭地,與人爭糧”問題,因此世界許多國家和地區均加快了非糧燃料乙醇的產業發展步伐。歐洲目前正鼓勵新能源企業利用垃圾、麥稈和藻類等非糧食原料開發新一代生物燃料,而不改變其2009年制定的到2020年境內交通運輸領域能耗的10%為可再生能源的目標。新法令規定只有以非糧原料製備的第2代生物燃料才可能在未來獲得補貼。
2011年8月,美國政府推出了一項總額為5.1億美元的補貼計畫,由農業部、能源部和海軍共同投資推動美國第2代生物燃料的生產開發進程。2012年8月美國政府宣布,對纖維素燃料產品提供每加侖1.01美元,對生物柴油每加侖1美元的聯邦稅收減免。對於纖維素燃料的減免政策還將延伸至利用藻類、藍細菌或浮萍(多種浮萍)煉製的燃料。而巴西目前正在開發蔗渣制燃料乙醇和新一代的含糖木薯制燃料乙醇技術。
中國燃料乙醇產業發展現狀
“十一五”期間,中國燃料乙醇產業在《可再生能源法》的推動下發展較快,燃料乙醇使用量從2005年的102萬噸增加到2010年的180萬噸。根據《可再生能源發展“十二五”規劃》,到2015年生物燃料乙醇利用量要達到400萬噸。2012年前中國共有5家燃料乙醇企業,除廣西木薯制乙醇外,其它4家均採用糧食為生產原料。
2012年國家批覆了山東龍力5.15萬噸/年纖維素燃料乙醇項目和中興能源10萬噸/年甜高粱莖稈燃料乙醇項目。 在技術研發方面,啟動了“十二五”國家科技支撐計畫項目——非糧燃料乙醇關鍵技術開發與示範課題,並在進行國家科技支撐計畫項目“生物液體燃料科技工程”中“千噸級生物質氣化合成液體燃料關鍵技術與示範”的研究工作;北京化工大學通過基因重組技術研發出一種新型重組釀酒酵母,可利用CBP工藝生產纖維素乙醇;中科院過程工程研究所進行了葛根、紅薯直接固態發酵生產燃料乙醇技術的研究;中科院山西煤炭化學研究所在“合成氣制低碳混合醇新型催化劑及配套工藝技術”研究方面都取得了較好的效果。
很多企業,如河南天冠企業集團有限公司、中糧生化能源(肇東)和山東龍力生物科技股份有限公司等企業都積極開展纖維素乙醇的工業示範;紐西蘭Lanzatech公司與寶鋼集團有限公司合資建設上海寶鋼朗澤新能源有限公司,並建成了300噸/年的合成氣發酵制乙醇中試裝置。中國首鋼集團、台灣“中鋼”公司和李長榮化學工業股份有限公司也將與Lanzatech合作建立中試裝置。中國在建和計畫建設的非糧燃料乙醇項目也很多:中國石油吉林燃料乙醇公司、華立集團計畫聯合在浙江省舟山市建設以進口木薯乾為原料的30萬噸/年燃料乙醇項目;中國石油吉林燃料乙醇公司引進芬蘭科伯利公司的技術,擬建設玉米秸稈制乙 醇工業化項目;中國石化擬與中糧集團及諾維信公司(Novozymes)於近期開始在中國合作建設12萬噸/年纖維素乙醇項目,項目正在審批中。美國杜邦公司和大唐新能源有限公司也有意向在吉林建設第2代生物燃料乙醇項目。同時,多個葛根制乙醇項目也在計畫中。
安全措施
主要危害
本品為中樞神經系統抑制劑。首先引起興奮,隨後抑制。
乙醇易燃,具刺激性。其蒸氣與空氣可形成爆炸性混合物,遇明火、高熱能引起燃燒爆炸。與氧化劑接觸發生化學反應或引起燃燒。在火場中,受熱的容器有爆炸危險。其蒸氣比空氣重,能在較低處擴散到相當遠的地方,遇火源會著火回燃。
急性中毒:急性中毒多發生於口服。一般可分為興奮、催眠、麻醉、窒息四階段。患者進入第三或第四階段,出現意識喪失、瞳孔擴大、呼吸不規律、休克、心力循環衰竭及呼吸停止。
慢性影響:在生產中長期接觸高濃度本品可引起鼻、眼、黏膜刺激症狀,以及頭痛、頭暈、疲乏、易激動、震顫、噁心等。
長期酗酒可引起多發性神經病、慢性胃炎、脂肪肝、肝硬化、心肌損害、器質性精神病等。
皮膚長期接觸可引起乾燥、脫屑、皸裂和皮炎。
乙醇具有成癮性及致癌性。但乙醇並不是直接導致癌症的物質,而是致癌物質普遍溶於乙醇。
在中國傳統醫藥觀點上,乙醇有促進人體吸收藥物的功能,並能促進血液循環,治療虛冷症狀。藥酒便是依照此原理製備出來的。
危害防治
皮膚接觸: 脫去污染的衣著,用肥皂水和清水徹底沖洗皮膚。
眼睛接觸:提起眼瞼,用流動清水或生理鹽水沖洗。就醫。
吸入:迅速脫離現場至空氣新鮮處。保持呼吸道通暢。如呼吸困難,給輸氧。如呼吸停止,立即進行人工呼吸。就醫。
食入: 飲足量溫水,催吐。就醫。
工程控制: 密閉操作,加強通風。
呼吸系統防護: 一般不需要特殊防護,高濃度接觸時可佩帶過濾式防毒面具(半面罩)。
眼睛防護:戴化學安全防護眼鏡。
身體防護:穿膠布防毒衣。
手防護:戴橡膠手套。
其他防護:工作完畢,淋浴更衣。保持良好的衛生習慣。
泄漏:迅速撤離泄漏污染區人員至安全區,並進行隔離,嚴格限制出入。切斷火源。建議應急處理人員戴自給正壓式呼吸器,穿消防防護服。儘可能切斷泄漏源,防止進入下水道、排洪溝等限制性空間。
小量泄漏:用砂土或其它不燃材料吸附或吸收。也可用大量水沖洗,洗水稀釋後放入廢水系統。
大量泄漏:構築圍堤或挖坑收容;用泡沫覆蓋,降低蒸氣災害。用防爆泵轉移至槽車或專用收集器內,回收或運至廢物處理場所處置。
滅火方法:抗溶性泡沫、乾粉、二氧化碳、砂土。
滅火注意事項:儘可能將容器從火場移至空曠處。噴水保持容器冷卻,直至滅火結束。
實驗室使用及滅火
應使用火柴點燃,不能用兩個酒精燈對點,否則容易使酒精燈內的酒精燃燒。
使用完畢後,套用燈帽將火蓋滅。嚴禁用嘴吹。
如不慎將酒精灑出並引燃,則套用濕抹布或用沙子將其蓋滅。
1.不能用兩個酒精燈對點,
2.嚴禁用嘴吹。
3.如不慎將酒精灑出並引燃,則套用濕抹布或用沙子將其蓋滅。
毒理資料
毒性:低毒。急性毒性:LD50 7060mg/kg(大鼠經口);7340 mg/kg(兔經皮);LC50 37620 mg/m³,10小時(大鼠吸入);人吸入4.3 mg/L×50分鐘,頭面部發熱,四肢發涼,頭痛;人吸入2.6 mg/L×39分鐘,頭痛,無後作用。
刺激性:家兔經眼:500 mg,重度刺激。家兔經皮開放性刺激試驗:15 mg/24小時,輕度刺激。
亞急性和慢性毒性:大鼠經口10.2 g/(kg·天)、12周:體重下降,脂肪肝。
致突變性:(微生物致突變)鼠傷寒沙門氏菌陰性。
顯性致死試驗:小鼠經口1~1.5 g/(kg·天),2周,陽性。
生殖毒性:大鼠腹腔最低中毒濃度(TDL0):7.5 g/kg(孕9天),致畸陽性。
致癌性:小鼠經口最低中毒劑量(TDL0):340 mg/kg(57周,間斷),致癌陽性。
儲存運輸
儲存方法
螺紋口玻璃瓶、鐵蓋壓口玻璃瓶、塑膠瓶或金屬桶(罐)外普通木箱;螺紋口玻璃瓶、塑膠瓶或鍍錫薄鋼板桶(罐)外滿底板花格箱、纖維板箱或膠合板箱。
小開口鋼桶;小開口鋁桶;螺紋口玻璃瓶、鐵蓋壓口玻璃瓶、塑膠瓶或金屬桶(罐)外木板箱。
包裝類別:O53;Ⅱ類
包裝標誌:易燃品;7
運輸方法
鐵路運輸時應嚴格按照鐵道部《危險貨物運輸規則》中的危險貨物配裝表進行配裝。運輸時單獨裝運,運輸過程中要確保容器不泄漏、不倒塌、不墜落、不損壞。運輸時運輸車輛應配備相應品種和數量的消防器材。嚴禁與酸類、易燃物、有機物、氧化劑、自燃物品、遇濕易燃物品等並車混運。運輸時車速不宜過快,不得強行超車。運輸車輛裝卸前後,均應徹底清掃、洗淨,嚴禁混入有機物。儲存於陰涼、通風的庫房。遠離火種、熱源。庫溫不超過30℃,相對濕度不超過80%。包裝要求密封,不可與空氣接觸。應與還原劑、活性金屬粉末、酸類、食用化學品分開存放,切忌混儲。儲區應備有合適的材料收容泄漏物。
儲存於陰涼、通風倉間內。遠離火種、熱源。倉內溫度不宜超過30℃。防止陽光直射。保持容器密封。應與氧化劑分開存放。儲存間內的照明、通風等設施應採用防爆型,開關設在倉外。配備相應品種和數量的消防器材。桶裝堆垛不可過大,應留牆距、頂距、柱距及必要的防火檢查走道。儲罐時要有防火防爆技術措施。露天儲罐夏季要有降溫措施。禁止使用易產生火花的機械設備和工具。灌裝時應注意流速(不超過3m/s),且有接地裝置,防止靜電積聚。
檢測方法
醇含量的測定有物理方法和化學方法。
物理方法:
有氣相色譜法、密度瓶法、酒精計法、折射計測定法。
化學方法:
重鉻酸鉀比色法、莫爾氏鹽法、碘量滴定法。
技術參數
根據國家和地方有關法規的要求處置。或與廠商或製造商聯繫,確定處置方法。本品根據《危險化學品安全管理條例》因易制爆性質受公安部門管制,低濃度醫用乙醇不受管制。
編碼信息
CAS編號:64-17-5
EINECS號:200-578-6
InChI編碼:InChI=1/C₂H₆O/c1-2-3/h3H,2H2,1H3
危規編號:32061
安全信息
危險品標誌:F:Flammable
風險術語:R11:
安全術語:S16;S7:
危險品運輸編號:UN 1170/1986/1987
危險類別:R11
儲量超出500噸,需申報重大危險源。參照危險化學品重大危險源辨識(GB18218-2009)
EU分類:可燃 (F)
警示性質標準詞:R11
安全建議標準詞:S2, S7, S16
研究進展
酒精會損害人的認知功能,如選擇性集中、認知控制和信息處理能力。因此,酒精也會干擾人們對於性暗示的解釋。因為腦前額葉外皮的的結構特別容易受到急性或慢性飲酒的影響,所以飲酒在影響性衝動中有著非常重要的作用。
色情電影能誘發性衝動,在觀看色情電影時腦電圖的頻率等會出現變化,酒精也會影響腦電圖。墨西哥科學家研究了酒精對男性觀看色情電影時腦電圖的影響。
24名23-31歲的健康的異性戀男性參加了該項研究,分為喝酒組和不喝酒組,在喝酒35分鐘後,記錄腦前額葉、顳葉和頂葉的腦電圖,給予兩種條件:看色情電影和看中性的電影。
腦電圖數據顯示,喝過酒看色情電影的男性的腦前額葉腦電波變化最大,酒精抑制了男性觀看情色電影時腦前額葉的興奮,但是並不影響性興奮。酒精影響了前額葉皮層的功能,這就可能會干擾男性對於視覺性刺激的處理能力,導致男性容易“酒後亂性”。
近日美國的Oak Ridge國家實驗室就意外發現了將二氧化碳直接轉化成乙醇的方法,這可能會大大改變我們以後利用能源的方式。
![C2H6O[乙醇] C2H6O[乙醇]](/img/b/f09/nBnauM3XyEjM3IjN0gjN2YzM1UTM1QDN5MjM5ADMwAjMwUzL4YzL0EzLt92YucmbvRWdo5Cd0FmLyE2LvoDc0RHa.jpg)
