結構分類
條件控制語句選擇結構分為if-else結構與switch-case結構。
if語句
簡單形式
if(表達式) 語句
其中表達式不限於邏輯表達式或關係表達式,可以是各種表達式,如算術表達式等。當表達式的值為非零時,結果為“真”;當表達式的值為零時,結果為“假”。
if-else結構
基本形式是:
if(表達式) 語句1
else 語句2
當表達式的結果為真(非零)時,執行語句1,執行完後跳到下一語句。當表達式的結果為假(零)時,執行語句2,執行完後順序執行下一語句。
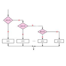
else-if結構
形式如下:
if(表達式1) 語句1
else if(表達式2) 語句2
else if(表達式3) 語句3
……
……
else if(表達式n) 語句n
else 語句n+1
switch語句
一般格式
switch(表達式)
{
case 常量表達式1:
語句1;
break;
case 常量表達式2:
語句2;
break;
…
case 常量表達式n:
語句n;
break;
default:
語句n+1;
break;
}
注意事項
switch後面圓括弧中的表達式的類型,ANSI標準允許為任何類型,但Visual C++6.0隻允許為整型、字元型或枚舉類型。
case後面常量表達式的值必須互不相等,否則會出現互相矛盾的現象。其類型應該與switch後面表達式的類型相容。
case和常量表達式之間要有空格。
case和default出現可以在任何位置,其先後次序不影響執行結果,但習慣上將default放在switch-case結構的底部。
case提供了執行某一語句序列的入口,起著標號的作用;多個case可以執行同一語句序列。
每個case語句的結尾不要忘了加break,否則將導致多個分支重疊。
不要忘記最後的default分支。即使程式真的不需要default處理,也應該保留語句: default : break;

