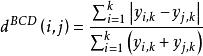
Bray-Curtis 相異度計算公式為:
其中k是物種數(樣地-物種矩陣中的物種數),y表示物種多度,i和j表示相比較的兩個樣地的編號。
Bray-Curtis 相異度(Bray-Curtis dissimilarity)是生態學中用來衡量不同樣地物種組成差異的測度。由J. Roger Bray and John T. Curtis 提出。其計算基於樣本中不同物種組成的數量特徵(多度,蓋度,重要值等)。
Bray-Curtis 相異度計算公式為:
其中k是物種數(樣地-物種矩陣中的物種數),y表示物種多度,i和j表示相比較的兩個樣地的編號。
