因子分析前,首先進行KMO檢驗和巴特利球體檢驗。KMO檢驗用於檢查變數間的相關性和偏相關性,取值在0~1之間。KMO統計量越接近於1,變數間的相關性越強,偏相關性越弱,因子分析的效果越好。實際分析中,KMO統計量在0.7以上時效果比較好;當KMO統計量在0.5以下,此時不適合套用因子分析法,應考慮重新設計變數結構或者採用其他統計分析方法。
如果變數間彼此獨立,則無法從中提取公因子,也就無法套用因子分析法。Bartlett球形檢驗判斷如果相關陣是單位陣,則各變數獨立因子分析法無效。由SPSS檢驗結果顯示Sig.<0.05(即p值<0.05)時,說明各變數間具有相關性,因子分析有效。
檢驗實例在SPSS因子分析中,Analyze→Data Reduction→Factor Analysis結果如圖所示:
公式
Bartlett's球狀檢驗
Bartlett's球狀檢驗
Bartlett's球狀檢驗
Bartlett's球狀檢驗
Bartlett's球狀檢驗
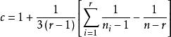
Bartlett's球狀檢驗假設有r個分組,每組的標準差為,由這些標準差還可以計算出MSe(關於MSe的計算參見百科),統計量近似服從r-1的卡方分布,,其中, 。容易看出MSe取對數後乘以自身自由度,標準差取對數後按照一定的權重(自由度)相加,最後將這兩部分相減,得到公式的主要部分。
Bartlett's球狀檢驗
Bartlett's球狀檢驗
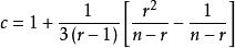
Bartlett's球狀檢驗如果每組有同樣多的數據,公式簡化為,,

