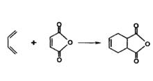
合成原理
順酐與丁二烯的反應為雙烯合成。根據前線軌道理論,丁二烯和順酐在一定條件下極易發生上述反應。以順酐和丁二烯做原料合成四氫苯酐可採用溶劑法和熔融法。
圖1 1,2,5,6-四氫苯酐的合成反應不同合成方法研究
1、溶劑法
將49g(0.5mol)順丁烯二酸酐和乾燥好的125ml溶劑加入500ml三口瓶中,加熱至略低於反應溫度,通入1,3-丁二烯,強烈攪拌,反應達到終點後,將反應液在0℃下放置一段時間,待析出結晶後過濾,洗滌乾燥即得四氫苯酐。分別選擇了苯,其結果列於圖2;
圖2 苯為溶劑的溶劑化結果表二甲苯作溶劑,其結果列於圖3。
圖3 二甲苯為溶劑的溶劑化結果表2、熔融法
在250ml三口瓶中加入98g順酐和0.01%對苯二酚,油浴加熱至低於反應溫度20℃左右時,開始通入丁二烯氣體,由於是放熱反應,所以反應溫度會自動升溫10~20℃ ,反應到達終點後,趁熱將產品倒入結晶槽,冷卻即得四氫苯酐。熔點為96~ 100℃ ,收率99%以上,以上實驗結果列於圖4。
圖4 熔融法結果表3、結論
①溶劑法合成四氫苯酐反應溫度低,產品色相好,收率為88~89%,但反應周期長,操作較熔融法複雜,原料成本高。
②熔融法工藝簡單,省去溶劑處理回收及相應的設備,反應周期短,收率高,一般在98~ 99%但產品色相不如溶劑法好。
用途
四氫苯酐是順酐的下游產品之一。它是一種性能優良的新型有機酸酐類環氧樹脂固化劑,用於醇酸樹脂和不飽和樹脂,可改善塗料的附著力、彈性、光澤及耐水性。作為增塑劑,可提高PVC的耐寒性、耐熱性,並且無毒。在電子電器工業,航空航天領域廣泛套用。同時該產品也是合成表面活性劑,醫藥農藥產品的原料。
1、環氧樹脂固化劑
未加入固化劑的環氧樹脂,在常溫或加熱條件下,環氧樹脂中的環氧基等官能團一般不會起化學反應,不會使大分子交聯成體型結構,因此也把未使用前的環氧樹脂統稱為熱塑性環氧樹脂。熱塑性環氧樹脂特別是分子量不高,環氧樹脂沒有強度,必須固化交聯後才能發揮作用。環氧樹脂的固化,主要是藉助於固化劑將樹脂中的環氧鍵打開,使環氧樹脂的分子結構間接或直接地連線起來,逐步形成一個體型的大分子結構。固化劑按固化機理可分為兩類,一類就是參與固化反應,並構成固化產物的一部分鏈段,這類固化劑稱加成型固化劑,如伯胺、仲胺、聚酞胺、多元胺以及各種有機酸和酸酐等;另一類在固化過程中,僅發生催化反應,使樹脂本身聚合成網狀結構,而固化劑不參加交聯反應,這一類固化劑稱為催化型固化劑,如叔胺、咪哇、三氟化硼等。還有一些固化劑兼有以上作用。環氧樹脂的固化通常使用較多的是第一類固化劑。THPA屬於第一類酸酐固化劑。
THPA在環氧樹脂固化體系中的反應機理如下:首先,環氧樹脂中的經基與酸酐反應,打開酸酐,然後進行加成聚合反應,其順序如下:
(1)酸酐首先與環氧樹脂中的羥基反應,生成羧酸;
(2)酸再對環氧基加成,生成羥基;
(3)生成的羥基再與其他酸酐繼續反應。
這個反應過程反覆進行,生成體型聚合物。
2、其他化工中間體
四氫苯酐還是重要的化工中間體,用於合成眾多化工產品,其中包括:1,2,3,4-丁烷四羧酸、超支化聚酯、六氫苯酐。
合成1, 2, 3. 4一丁烷四梭酸:
四氫苯酐可用於合成1,2,3,4-丁烷四羧酸(BTCA)。 1,2,3,4-丁烷四羧酸是一種重要的化工產品,被廣泛用於紡織、化工、冶金、電子等行業。
目前,工業上生產BTCA的主要方法是化學氧化法,即用氧化劑氧化四氫苯酐來製備BTCA。這一反應通常是在催化的條件下進行的,所選用的氧化劑也不外乎HO和HNO等。用HNO為氧化劑合成BTCA反應為一步反應。優點是反應迅速,後處理容易,無殘留成分。但反應過程中生成NO氣體,並易發生爆沸,難以控制。用HO氧化THPA製備BTCA是分兩步進行的。首先在無催化劑條件下,HO先把THPA氧化成4,5-二羥基-1,2環己烷二羧酸,然後再加入催化劑,這時HO進一步氧化4,5-二羥基-1,2環己烷二羧酸生成BTCA,反應如下:
圖5 過氧化氫為氧化劑製備BTCA
