簡介
黑體輻射本領
黑體輻射本領
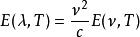
黑體輻射本領黑體輻射本領由基爾霍夫(G. R. Kirchhoff)證明,對於任意一個物體,輻射本領與吸收率之比是一個與組成物體的物質無關的普適函式(以)表示)
黑體輻射本領
黑體輻射本領
黑體輻射本領
黑體輻射本領
黑體輻射本領
黑體輻射本領
黑體輻射本領
黑體輻射本領
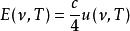
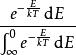
黑體輻射本領其中,輻射本領為單位時間內從輻射體表面的單位面積上發射出的輻射能量的頻率分布,所以,在的時間,從面積上發射出頻率在範圍內的能量為。因此的單位為,可以證明,黑體輻射本領與輻射體的能量密度分布的關係為
黑體輻射本領
黑體輻射本領
黑體輻射本領
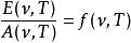
黑體輻射本領的單位為吸收率則為照到物體上的輻射能量分布被吸收的份額,由於黑體的吸收率為1,所以它的輻射本領
黑體輻射本領
黑體輻射本領這意味著黑體輻射本領等價於普適函式(與物質無關) 同時也可以以用來表達輻射本領
黑體輻射本領
黑體輻射本領
黑體輻射本領的單位為
證明
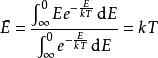
普朗克於1900年假設能量是不連續的,即
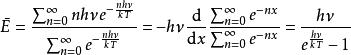
黑體輻射本領h是普朗克常數由經典的能量分布機率(玻爾茲曼機率分布)可以得到:
黑體輻射本領可得到平均能量為
黑體輻射本領但是根據普朗克的假設,則能量分布機率應該是
黑體輻射本領然後就可以得到
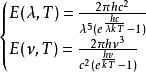
黑體輻射本領最後就可以把黑體輻射本領公式改為
黑體輻射本領參見
•黑體 (熱力學)
•維恩位移定律
•維恩近似
•瑞利-金斯定律
•盒中氣體
•普朗克黑體輻射定律
