名稱
食用黃色4號色素
中文名稱:檸檬黃色素
黃色4號日本名稱:食用黃色4號
英文名稱:Tartrazine
簡介
歐盟編號:E102
C.I. No . :19140
FD&C :FD&C Yellow 5
CAS :1934-21-0
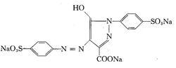
構造 :C16H9N4Na3O9S2
分子式 :
分子式相對分子質量:534.37
適用範圍
本標準適用於雙羥基酒石酸與苯肼對磺酸縮合,或對氨基苯磺酸經重氮化後與1-(4′-磺基苯)-3-羧基吡唑酮-5偶合而成染料。
外觀
外觀,橙黃色粉末
【外觀試驗】
稱取約0.1g試樣,溶於100mL水中,顯黃色澄清溶液。
取上中黃色溶液40mL,加入硫酸溶液10mL後該溶液顯黃色,取此液2~3滴加入5mL水中顯黃色
稱取0.1g試樣,溶於100mL乙酸銨溶液,取此溶液1mL加乙酸銨溶液配至100mL,該溶液的最大吸收波長為428nm±2nm。
【稀釋倍率】
稀釋樣質量要求
黃色4號色素90的質量應符合表1要求(%)
| 項 目 | 指 標 | |
| 含量 | ≥ | 90.0 |
| 乾燥減量 | ≤ | 5.0 |
| 水不溶物 | ≤ | 0.10 |
| 氯化物(以NaCl計)及硫酸鹽(以Na2SO4計)總量 | ≤ | 5.0 |
| 砷(以As計) | ≤ | 0.0001 |
| 重金屬(以Pb計) | ≤ | 0.001 |
黃色4號色素85的質量應符合表2要求。
| 項 目 | 指 標 | |
| 含量 | ≥ | 85.0 |
| 乾燥減量、氯化物(以NaCl計)及硫酸鹽(以Na2SO4計)總量 | ≤ | 15.0 |
| 水不溶物 | ≤ | 0.30 |
| 副染料 | ≤ | 1.0 |
| 砷(以As計) | ≤ | 0.0001 |
| 重金屬(以Pb計) | ≤ | 0.001 |
黃色4號色素60的質量應符合表3要求。
| 項 目 | 指 標 | |
| 含量 | ≥ | 60.0 |
| 乾燥減量 | ≤ | 10.0 |
| 水不溶物 | ≤ | 0.30 |
| 副染料 | ≤ | 1.0 |
| 砷(以As計) | ≤ | 0.0001 |
| 重金屬(以Pb計) | ≤ | 0.001 |
| 註:保留規格為限制發展、準備取消的規格。 | ||
用途
糕點、糖果、清涼飲料、淹制菜類、農水加工產品等一般食品及醫藥褒衣,化妝品著色。
