簡介
麥克斯韋關係是由J.C麥克斯韋導出的熱力學關係式,表示單相恆組成物系的溫度T、壓力p、體積v和熵S四種狀態函式之間的關係。據麥克斯韋關係式,可將難於直接測定的函式關係,便於計算。
基本方程式
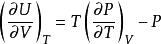
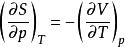
麥克斯韋關係是S(熵)、T(溫度)、p(壓強)、V(體積)四個變數的偏導數關係,具體如下式:
麥克斯韋關係由;
麥克斯韋關係由;
麥克斯韋關係由;
麥克斯韋關係由;
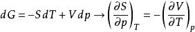
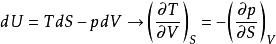
由基本方程推導麥克斯韋關係式的具體過程:
麥克斯韋關係
麥克斯韋關係首先以為例。由於涉及的是全微分,故dS和dV的關係能用有關全微分的關係式對照。令a=T,b=-P,然後將其代入型如的全微分,可得:
麥克斯韋關係用這種簡單的方法,把這兩個初看起來似乎不能聯繫的量關聯起來。H、G、F也是狀態函式,用同樣的方法,也可得出另外三個麥克斯韋關係式:
麥克斯韋關係
麥克斯韋關係
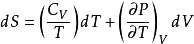
麥克斯韋關係總之,通過運用數理工具,只要有完整的P- V- T關係以及C數據,利用熱力學基本方程,就可得到所有的熱力學函式U、H、S、F、G的完整信息。
對於開放系統和組成變化的系統,該原理同樣適用.因為系統自由度的增加,通常運用熱力學函式的偏導數變換的一個方便方法,即Jacobian行列式法。
麥克斯韋關係的套用
套用麥克斯韋關係可以得到以下一些有重要套用價值的關係。我們知道,系統的熵和內能等熱力學函式都不易直接測量的,它們都要通過物態方程和熱容量的實驗數據計算得到。利用麥克斯韋關係,可將這些熱力學函式用物態方程和熱容量表示出來。
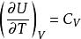
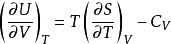
(1)內能
麥克斯韋關係
麥克斯韋關係
麥克斯韋關係
麥克斯韋關係
麥克斯韋關係
麥克斯韋關係
麥克斯韋關係設,則。已知,由熱力學基本方程得,由麥克斯韋關係式,若已知物態,就可以求得,最後求得。
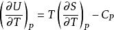
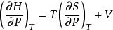
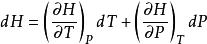
(2)焓
麥克斯韋關係
麥克斯韋關係
麥克斯韋關係
麥克斯韋關係
麥克斯韋關係
麥克斯韋關係
麥克斯韋關係設,則。已知,由熱力學基本方程得,由麥克斯韋關係式,若已知物態,就可以求得,最後求得。
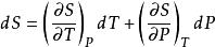
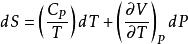
(3)熵
麥克斯韋關係
麥克斯韋關係
麥克斯韋關係
麥克斯韋關係
麥克斯韋關係
麥克斯韋關係
麥克斯韋關係設,則。由熱力學基本方程得,由麥克斯韋關係式得。已知及物態,就可以求得。
麥克斯韋關係
麥克斯韋關係
麥克斯韋關係
麥克斯韋關係
麥克斯韋關係
麥克斯韋關係
麥克斯韋關係設,則。由熱力學基本方程得,由麥克斯韋關係式得。已知及物態,就可以求得。

