藥品簡介
通用名:鹽酸林可黴素膠囊
英文名:LINCOMYCIN HYDROCHLORIDE CAPSULES
拼音名:YANSUAN LINKEMEISU JIAONANG
藥品類別:其他
性狀:本品為膠囊劑。
貯藏:密封保存。
主要成分
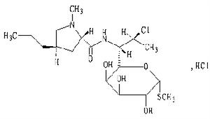
鹽酸林可黴素結構式通用名:鹽酸克林黴素
化學名:6-(1-甲基-反-4-丙基-L-2-吡咯烷甲醯氨基)-1-硫代-7(S)-氯-6,7,8-三脫氧-L-蘇式-a-D-半乳辛吡喃糖苷鹽酸鹽
拼音名:YANSUAN KELINMEISU
英文名:CLINDAMYCIN HYDROCHLORIDE
CAS No.:21462-39-5
分子式:C18H33ClN2O5S·HCl
分子量:461.44
藥理毒理
本品對常見的需氧革蘭陽性菌有較高抗菌活性,如金黃色葡萄球菌(包括耐青黴素G者)、表皮葡萄球菌、β溶血性鏈球菌、草綠色鏈球菌和肺炎鏈球菌等。對厭氧菌有良好的抗菌作用包括破傷風桿菌、白喉棒狀桿菌和產氣莢膜桿菌等。對腸球菌、腦膜炎雙球菌、淋病奈瑟菌和流感嗜血桿菌等革蘭陰性菌以及真菌無活性。本品與青黴素、氯黴素、頭孢菌素類和四環素類之間無交叉耐藥,與大環內酯類有部分交叉耐藥。本品作用於敏感菌核糖體的50S亞基,阻止肽鏈的延長,從而抑制細菌細胞的蛋白質合成,一般系抑菌劑,但在高濃度時,對某些細菌也具有殺菌作用。本品的半數致死量(LD50)小鼠靜注為214mg/kg,口服為4000mg/kg;大鼠口服為4000mg/kg。
藥代動力學
口服不為胃酸滅活,可自胃腸道吸收,空腹口服僅20%~30%被吸收,進食後服用則吸收更少。成人空腹或進食後服 0.5g,分別在2小時和4小時達血藥峰濃度(Cmax)2.6mg/L和1.0mg/L,12小時後在血清中仍有微量。吸收後除腦脊液外,廣泛及迅速分布於各體液和組織中,包括骨組織。可迅速經胎盤進入胎兒循環,在胎血中的濃度可達母血藥濃度的 25%。蛋白結合率為77%~82%。本品在肝臟代謝,部分代謝物具抗菌活性。兒童的代謝率較成人為高。血消除半衰期 (t1/2)為4~6小時,肝、腎功能減退時,t1/2可延長至10~20小時。本品可經膽道、腎和腸道排泄,口服後40%以原形隨糞便排出,9%~13%以原形自尿中排出。也可分泌入乳汁中。血透及腹透不能清除林可黴素。
適應症
本品適用於敏感葡萄球菌屬、鏈球菌屬、肺炎鏈球菌及厭氧菌所致的呼吸道感染、皮膚軟組織感染、女性生殖道感染和盆腔感染及腹腔感染等,後兩種病種可根據情況單用本品或與其他抗菌藥聯合套用。此外有套用青黴素指征的患者,如患者對青黴素過敏或不宜用青黴素者本品可用作替代藥物。
用法用量
成人,一日1.5~2g,分3~4次口服;小兒每日按體重30~60mg/kg,分3~4次口服,嬰兒小於4周者不宜服用。本品宜空腹服用。
不良反應
1.胃腸道反應:噁心、嘔吐、腹痛、腹瀉等症狀;嚴重者有腹絞痛、腹部壓痛、嚴重腹瀉(水樣或膿血樣),伴發熱、異常口渴和疲乏(假膜性腸炎);腹瀉、腸炎和假膜性腸炎可發生在用藥初期,也可發生在停藥後數周。
2.血液系統:偶可發生白細胞減少、中性粒細胞減低、中性粒細胞缺乏和血小板減少,再生障礙性貧血罕見。
3.過敏反應:可見皮疹、瘙癢等,偶見蕁麻疹、血管神經性水腫和血清病反應等,罕有表皮脫落、大皰性皮炎、多形紅斑和S-J綜合徵的報導。
4.偶有口服本品引起黃疸的報導。
禁忌症
對林可黴素和克林黴素有過敏史的患者禁用。
注意事項
鹽酸林可黴素膠囊1.對本品過敏時有可能對克林黴素類也過敏。
2.對診斷的干擾:服藥後血清丙氨酸氨基轉移酶和門冬氨酸氨基轉移酶可有增高。
3.下列情況應慎用:(1)腸道疾病或有既往史者,特別如潰瘍性結腸炎、局限性腸炎或抗生素雙關腸炎(本品可引起偽膜性腸炎)。(2)肝功能減退。(3)腎功能嚴重減退。
4.用藥期間需密切注意大便次數,如出現排便次數增多,應注意假膜性腸炎的可能,需及時停藥並作適當處理。
5.為防止急性風濕熱的發生,用本類藥物治療溶血性鏈球菌感染時的療程,至少為10日。
6.處理本品所致的假膜性腸炎,輕症患者停藥後可能恢復,中等至重症患者需糾正水、電解質紊亂。如經上述處理病情無明顯好轉者,則應口服甲硝唑250~500mg,一日3次。如復發時可再用甲硝唑口服仍可有效,仍無效時可改用萬古黴素(或者去甲萬古黴素)口服,成人每日0.5~2.0g,分3~4次服用。
7.偶爾會導致不敏感微生物的過度繁殖或引起二生感染,一旦發生二重感染,需採取相應措施。
8.既往有哮喘或其他過敏史者慎用。
9.療程長者,需定期檢測肝、腎功能和血常規。
用藥
孕婦及哺乳期婦女用藥:本品經胎盤後可在胎兒肝中濃縮,雖人類套用時尚無發生問題的報告,但在孕婦中套用需充分權衡利弊。本品可分泌至母乳中,哺乳期婦女也應慎用,如果必須套用時應暫停哺乳。
兒童用藥:小於1個月的嬰兒不宜套用。
老年患者用藥:患有嚴重基礎疾病的老年人易發生腹瀉或假膜性腸炎等不良反應,用藥時需密切觀察。
藥物相互作用
鹽酸林可黴素膠囊1.可增強吸入性麻醉藥的神經肌肉阻斷現象,導致骨骼肌軟弱和呼吸抑制或麻痹(呼吸暫停),在手術中或術後合用時應注意。以抗膽鹼酯酶藥物或鈣鹽治療可望有效。
2.與抗蠕動止瀉藥、含白陶土止瀉藥合用,本品在療程中甚至在療程後數周有引起伴嚴重水樣腹瀉的偽膜性腸炎可能。因可使結腸內毒素延遲排出,從而導致腹瀉延長和加劇,故抗蠕動止瀉藥不宜合用。本品與含白陶土止瀉藥合用時,前者的吸收將顯著減少,故兩者不宜同時服用,需間隔一定時間(至少2小時),
3.本品具神經肌肉阻斷作用,與抗肌無力藥合用時將導致後者對骨骼肌的效果減弱。為控制重症肌無力的症狀,在合用時抗肌無力藥的劑量應予調整。
4.氯黴素或紅黴素在靶位上均可置換本品,或阻抑後者與細菌核糖體50S亞基的結合,體外試驗顯示本品與紅黴素具拮抗作用,故本品不宜與氯黴素或紅黴素合用。
5.與阿片類鎮痛藥合用,本品的呼吸抑制作用與阿片類的中樞呼吸抑制作用可因累加現象而有導致呼吸抑制延長或引起呼吸麻痹(呼吸暫停)的可能,故必須對病人進行密切觀察或監護。
6.本品可增強神經肌肉阻斷藥的作用,兩者應避免合用。
藥物過量
藥物過量時主要是對症療法和支持療法,如洗胃、用催吐藥及補液等。
生產企業
| 濟南永寧製藥股份有限公司 | 國營張家港市製藥廠 | 武漢第三製藥廠 | 無錫嘉菱醫藥有限公司 |
| 江蘇神華藥業有限公司 | 淮南雙銀藥業有限公司 | 四川省雒城製藥有限公司 | 浙江傳奇製藥有限責任公司 |
| 廣州東康製藥廠 | 重慶鑫樂製藥有限公司 | 重慶藥友製藥有限責任公司 | 重慶市北碚區東化中間體廠 |
| 福建省福抗藥業股份有限公司 | 江蘇黃河藥業股份有限公司 | 陝西永壽製藥有限責任公司 | 昆明康福製藥廠 |
