概述
鮑莫爾模型鮑莫爾模型的立論基礎:經濟行為以收益最大化為目標,因此在貨幣收入取得和支用之間的時間差內,沒有必要讓所有用於交易的貨幣都以現金形式存在。
鮑莫爾模型的三個假定:
1、人們收入的數量已定,間隔一定;支出的數量事先可知且速度均勻。
2、人們將現金換成生息資產採用購買短期債券的形式,它們具有容易變現、安全性強的特徵。
3、每次變現(出售債券)與前一次的時間間隔及變現數量都相等。
鮑莫爾平方根法則
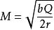
鮑莫爾模型b表示往返銀行的消耗成本,Q為收入,r為利率。由公式可以看出,交易動機引起的貨幣需求是收入的增函式,是利率的減函式。平方根法則的具體推導可見平方根法則。
結論
1、交易性貨幣需求是收入的正比函式,彈性為0.5。
2、交易性貨幣需求是利率的反比函式,彈性為-0.5。
凱恩斯理論中,交易動機的貨幣需求只是收入的函式,與利率無關。鮑莫爾發現交易動機的貨幣需求,也同樣是利率的函式,是利率的遞減函式。
鮑莫爾認為,任何企業或個人的經濟行為都以收益的最大化為目標,因此在貨幣收入取得和支用之間的時間差內,沒有必要讓所有用於交易的貨幣都以現金形式存在。由於現金不會給持有者帶來收益,所以應將暫時不用的現金轉化為生息資產的形式,待需要支用時再變現,只要利息收入超過變現的手續費就有利可圖。一般情況下利率越高,收益越大,生息資產的吸引力也越強,人們就會把現金的持有額壓到最低限度。但若利率低下,利息收入不夠變現的手續費,那么人們寧願持有全部的交易性現金。因此,貨幣的交易需求與利率不但有關,而且關係極大,凱恩斯貶低利率對現金交易需求的影響並不符合實際。
運用
合理現金持有量
鮑莫爾模型從存貨理論出發,認為公司用於商品交易的現金餘額不僅與公司的商品交易規模有關,而且與機會成本、市場利率有關。該模型屬於現金餘額的最佳化模型,對於公司關於現金餘額的決策有一定的指導意義。該模型的分析思路如下:
公司期初的現金餘額為C,期末的現金餘額為0,期間平均現金餘額為C/2。機會成本為年K。年交易額為T,每次買賣證券需要的費用(管理成本)為F。
總成本由兩個部分構成,機會成本和管理成本。機會成本為(C/2×K),交易成本為(T/C×F)。總成本為:
(C/2×K)+(T/C×F)
為了使總成本達到最小,可以得到:
鮑莫爾模型C*為期初現金最佳持有規模。
平均現金持有規模為C*/2
缺點
一是該模型嚴格假定公司有一個恆定的支付頻率,而大多數公司都沒有一個恆定的支付頻率;二是該模型假定公司在計畫期間沒有安全庫存,而事實上大多數公司都有安全庫存。
局限性
鮑摩爾模型是對現金管理的一大貢獻,但這一模型也具有以下局限性:
①該模型假設企業的支出率不變。但實際中,由於到期日的不同及無法對成本進行準確預測,而只能對開支進行部分管理。
②該模型假設計畫期內未發生現金收入。事實上,絕大多數企業在每一個工作日內都將既發生現金流入也發生現金流出。
③未考慮安全現金庫存。為了降低現金短缺或耗盡的可能性,企業極有可能擁有一個安全現金庫存。但是,如果企業可以實現在幾小時內售出有價證券或進行借貸,安全現金庫存量就可以達到最小。
鮑摩爾模型可能是最簡單、最直觀的確定最佳現金量的模型,但其最大的不足是假定現金量是離散的、確定的。
評價
鮑莫爾模型的基本思路是這樣的:“人們收入的獲得和收入的使用一般不會同時發生,且可假設支出的發生是逐漸…鮑莫爾模型對西方貨幣理論產生了重大影響。眾多學者在研究貨幣理論和貨幣政策問題時都論及該理論,對它的褒貶不一。
正面評價
對該模型的肯定之處是,以為該模型從人們保持適度的現金用於交易,而將暫時閒置的部分用以獲利這個常見的現象出發,得出交易性貨幣需求在很大程度上受利率變動影響的結論,具有普遍的適用性。這是對凱恩斯貨幣交易需求理論的重要發展。
另外,該模型的結論還可套用於國際金融領域。因為國際儲備如同經濟單位的現金存量,也具有規模經濟的特徵。因此國際儲備不必與國際貿易量成同一比例增減。並且在國際經濟交往中用一種普遍的國際貨幣,可以節省國際支付的交易成本。
負面評價
對於上述鮑莫爾模型,也有不少批評意見。比如認為模型忽略了影響貨幣交易需求的一些重要因素,如時間價值、通貨膨脹、貨幣界定、支付制度和條件、金融創新等,致使模型有失偏頗;有的否定模型的定性理論假設;還有一種意見認為模型的數量關係描述不準確,認為貨幣需求對交易量的彈性並不是一個常數,而是一個變數,這個變數的具體數在0.5和1之間。

