概述
高效氯氰菊酯;順式氯氰菊酯;(R,S)-α-氰基-3-苯氧基苄基(1R,3R)-3-(2,2-二氯乙烯基)-2,2-二甲基環丙烷羧酸酯
詳細介紹
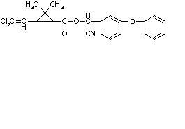
【結構或分子式】
分子結構:
分子中雙鍵C、O原子以及苯環C原子均以sp2雜化軌道形成σ鍵。
分子中其它C、O原子均以sp3雜化軌道形成σ鍵。
叄鍵C、N原子均以sp雜化軌道形成σ鍵。
【相對分子量或原子量】416.15
【蒸氣壓(Pa)】170nPa
【毒性LD50(mg/kg)】
急性經口:大白鼠5%玉米油稀釋劑為79,20%玉米油稀釋劑為368,40%二甲基亞碸稀釋劑為4000,50%水懸浮液為5000以上;小白鼠5%玉米油稀釋劑為35,40%二甲基亞碸稀釋劑為762,50%水懸浮液為798。兔急性經皮500。虹鱒魚TLm(96小時)為2.8mg/L。對禽類的急性經口大於2000,對蜜蜂(24小時)為0.059μg/蜂。
【性狀】
純品為白色至奶油色結晶固體。
【溶解情況】
在水中的溶解度低,以溶於酮類、醇類及芳烴類
【用途】
高效廣譜殺蟲劑,每畝0.37~2.33g有效成分對水噴霧,可防治水稻、玉米、棉花、菸草、大豆、甜菜、甘蔗、飼料作物、葡萄、蘋果、梨、柑桔、茶、咖啡及林區的草地夜蛾、稻縱卷葉螟、二化螟、黑尾葉蟬、飛虱、春蟓、地老虎、蚜蟲、玉米螟、棉鈴蟲、棉紅鈴蟲、尺蠖、薊馬、粉虱、跳甲、甘藍葉蛾、潛繩、舞毒蛾、天幕毛蟲和介殼蟲等許多害蟲。
【製備或來源】
以二氯菊酸(順、反比為3:7)為起始原料,經順反分離後得順式菊酸(含量大於93%,順反式比為8:2),用醚醛-氯醯法合成富順式氯氰菊酯(含量82%),再經差向異構法,獲得高順氯氰菊酯(含量92%)。或直接由8個異構化混合物中分離出α-體,並實現β-體轉化為α-體差向異構化過程,省去二氯菊酸立體有擇合成和順反異構體分離等步驟。
【其他】
在中性及酸性條件下無明顯分解,但在強鹼條件下發生水解。熱穩定性高,溫度超過220℃時才發生一些失重現象。可與大多數藥劑混用,但與潛鹼性物質混用易發生分解。
無特效解毒藥,如誤服,應立即請醫生對症治療。
【包裝及貯運】
原油、10%乳油用塑膠瓶則,每瓶重500g,瓶上貼標籤,標明“有毒”。貯運時防日曬,不得魚食物、種子、飼料混放。
【生產單位】
上海聯合化工廠、廣東中山凱達精細化工股份有限公司、安徽黃山生物化工廠、黑龍江阿城化工廠、東北林業大學套用化學研究所、山東恆利達化學品公司、山東省中石化工有限公司、山東省平陰農藥實驗廠、河北冀州市農藥廠、河北桃園農藥有限公司、天津市漢沽農藥廠、河北邢台農藥廠

