簡介
雷諾類比和普朗特-泰勒類比均未考慮湍流邊界層中過渡層的影響,馮卡門提出了三層模型,將湍流傳遞過程中的邊界層劃分未三個區域:即層流內層、過渡層和湍流中心。
在層流底層中只考慮分子擴散作用,不考慮旋渦擴散作用;即
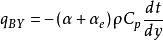
馮卡門類比在過渡層中既要考慮分子擴散的作用,也要考慮旋渦擴散作用;即
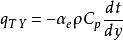
馮卡門類比在湍流核心部分,只考慮旋渦擴散作用,並使用雷諾類比,即 。
馮卡門類比中的三個假設:
(1)由於層流內層厚度和過渡層厚度遠小於管子內半徑,故層流內層外緣和緩衝層外緣處的動量通量均可近似用壁面處的剪應力表示;
(2)穩態傳熱下,通過層流底層、緩衝層和湍流中心的熱量通量均可近似用壁面處的熱量通量表示;
(3)假定渦流擴散係數和渦流熱擴散係數相等。
在上述前提下,分別求得層流內層、緩衝層和湍流中心的溫度差,再將各層的溫度差相加,得出湍流中心至管內壁面的總的溫度差,最終根據總的溫度差導出馮卡門類比的表達式。
馮卡門類比既可用於圓管內,亦可用於平壁。當用於平板時,將管中心的速度、溫度和濃度分別改用邊界層外的速度、溫度和濃度。
在推導馮卡門類比時,假定通過層流底層、緩衝層和湍流中心的動量通量、熱量通量均等於壁面處的動量通量、熱量通量,對於動量通量、熱量通量和質量通量沿徑向改變的圓管內的流動、傳熱和傳質過程,顯然具有一定的誤差。又和普朗特-泰勒類比一樣,忽略了層流底層中渦流傳遞以及湍流中心分子傳遞的作用。
故馮卡門類比仍然不能確切地反映真實情況。在Pr=0.46~324範圍內,馮卡門類比的計算結果與試驗數據比較,誤差為±20%。當Pr=1和Sc=1時,馮卡門類比的結果和雷諾類比完全相同。
相關套用
基於馮卡門類比的換熱表面污垢沉積的數值研究
據調查,換熱設備都存在不同程度的污垢問題,一旦出現污垢沉積現象,將給換熱器運行帶來很大影響,造成能量損失。因此,近年來換熱器的污垢問題日益受到人們的重視。有學者在分別完成了中典型的直肋管和波紋板式換熱器,以流動特性分析為基礎,結合馮卡門傳熱傳質類比通過數值方法結合實驗數據對比討論了強化傳熱表面幾何特性、流動速度等參數對污垢熱阻值的影響。
利用的研究方法是依據污場模型,結合馮卡門類比通過選取合適的數值模擬方案獲得其相關換熱表面污垢特性。通過與相關實驗數據的對比驗證發現,數值分析結果誤差均在接受範圍內。
基於馮卡門類比的強化管污垢模型及抗垢機理
對比實驗研究4種強化管(波紋管、縮放管Ⅰ、縮放管Ⅱ和弧線管)和光管在相同工況(人工硬水入口溫度、流速、硬度及水浴溫度)下的CaCO污垢特性。
通過分析強化管污垢熱阻R與幾何參數等,基於馮卡門類比法,以φ和ψ為強化管傳熱性能評價因子,η和η為其綜合性能評價指標,構建強化管污垢數據分析模型,並逐一分析各強化管的抗垢機理。
研究結果表明:波紋管因管內的二次擾流及沿軸線方向的流速周期性脈動沖刷近壁面流體,顯著增強污垢剝蝕率,且不易結垢甚至實現自清洗;由於管內流體的周期性擾動削弱污垢沉積,喉部劇增的壁面剪下應力可顯著增強污垢剝蝕並實現弧線管抗垢;縮放管因軸向壓力梯度交替切換引發流體劇烈周期性擾動以及喉部迴旋渦流雙重增大污垢剝蝕率而實現抗垢。

