簡介
馮·卡門曲線是非線性曲線,為流體動力學概念。馮·卡門曲線頭部展開之後並不是一個平面而是立體的。
馮·卡門曲線的意義在於,更好地減小空氣阻力,減輕載荷影響。
數學定義
馮·卡門曲線屬於Haack族曲線中的一種。其描述了在給定某些參數(長度、直徑或體積)的前提下,空氣阻力最低的曲線。
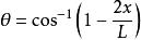
Haack族函式定義為:
馮·卡門曲線
馮·卡門曲線其中當C=1/3時,稱其為LV-Haack,為給定長度和體積下最小阻力曲線。
當C=0時,稱其為LD-Haack,為給定長度和直徑下最小阻力曲線,也就是馮·卡門曲線。
Haack族在C值不同時的曲線發現者
馮·卡門,美國工程力學大師、航天技術理論的開拓者,被稱為“飛彈之父”。曾在1938年指導錢學森等人成立火箭研究小組,1947年10月14日,根據馮·卡門的構思而設計的X1火箭飛機首次突破了聲障,把人類帶入超聲速飛行的時代。
套用
用於發射天宮一號的長征二號FT1火箭新型整流罩設計採用流線型的“馮卡門”曲線,過去去整流罩製造過程中展開式一個平面,按‘馮卡門’曲線製造的整流罩展開是立體的。採用“馮·卡門曲線”有兩個作用,一是採用這種設計能夠減小空氣阻力和脈動壓力;二是減輕了箭體結構的載荷影響,同時對整流罩的載荷設計也有好處 。

