測試方式
馬達堵轉測試在馬達堵轉測試時,會將轉子固定不動。會用低的交流電壓加到定子繞組端子上,使定子繞組的電流為額定滿載電流,此時量測電流、電壓以及輸入的功率。在轉子靜止時,其滑差(slip)。IEEE建議輸入電壓的頻率為額定頻率的1/4,因為轉子的等效電阻在低頻下的值和高頻可能不同。可以用不同的電壓再重做此測試,確認得到的數值是正確的。因為定子上的電流可能會超過額定電流,此測試需迅速進行。利用此測試得到的數據,可以建構馬達的圓線圖。
相關計算
額定電壓時的短路電流
馬達堵轉測試
馬達堵轉測試
馬達堵轉測試
馬達堵轉測試是電壓在
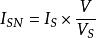
時的短路電流是電壓在額定電壓時的短路電流
短路功率因素
馬達堵轉測試
馬達堵轉測試
馬達堵轉測試
馬達堵轉測試
馬達堵轉測試是短路時的輸入線電壓
是短路時的輸入線電流
是短路時的功率因素
漏感抗
馬達堵轉測試
馬達堵轉測試
馬達堵轉測試是短路時,參考定子的單相漏感抗
馬達堵轉測試
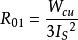
馬達堵轉測試是總鐵損
馬達堵轉測試
馬達堵轉測試
馬達堵轉測試
馬達堵轉測試
