
計算出活度係數後,就可以求相對揮發度了:


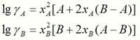
(Margules)是化學工程和物理化學中用於計算活度係數的公式之一。 式中,γ為活度係數,x為液相中組分組成,A、B為端值常數。 計算出活度係數後,就可以求相對揮發度了:


《上帝擲骰子嗎》 摘要 愛因斯坦:「一個人的價值,應該看他貢獻了什麼,而不是他取得了什麼。」 愛因斯坦說:「我不相信上帝是靠擲骰...
《上帝擲骰子嗎》 序 第一章 黃金時代 第二章 烏雲 第三章 火流星壓電效應。壓電效應的發現1880年皮埃爾·居里和雅克·居里兄弟發現電氣石具有...。1984年,德國物理學家沃德馬·沃伊特(德語:Woldemar...
定義 原理 分類 壓電效應的發現 套用現狀”者就會被查出的記載。《晉書·馬隆傳》的故事可供參考:相傳3世紀時智勇雙全的馬隆在一次戰役中,命士兵將大批磁石堆壘在一條狹窄的小路上。身穿鐵甲的敵軍個個都被磁石吸住,而馬隆的兵將身穿犀甲,行動如常。敵軍以為馬隆的兵...
簡介 磁石套用 指向性 經典磁學 現代磁學的發現此定律。公元1663年,奧托·格里克作馬德堡半球實驗。公元1666年...1808年,法國科學家馬呂斯發現光的偏振現象。公元1811年,英國科學家布儒...藩發現黑體輻射經驗公式。公元1879年,美國科學家霍爾發現電流通過金屬時...
公元1830年,諾比利發明溫差電堆。 公元1936年,安德森等人發現μ介子。皮埃爾·居里等在《自然》雜誌11月16日這一期里第一次寫下了“放射性”這一術語。 居里夫婦發現了釙和鐳等放射性元素,由於他們發現了天然放射性...柏林科學院物理學會的一次會議上,提出熱輻射公式中的量子假設。後因為闡明...
有機化學和化學工業的發展的研究” 1911年 瑪麗·居里 波蘭 “發現了... 弗雷德里克·約里奧-居里 法國 “合成了新的放射性元素” 伊倫·約里奧-居里 法國 1936年 彼得·德拜 荷蘭 “通過對偶極矩以及氣體中的X...
創立者簡介 獎項設立 獎金獎牌 評選標準 評選過程內容 物理學史 本書內容包括:力學、熱學、電磁學和經典光學的發展;19/20世紀之交實驗新發現和現代物理學革命;相對論的建立和發...
內容 前言 目錄 發展史內容 物理學史 本書內容包括:力學、熱學、電磁學和經典光學的發展;19/20世紀之交實驗新發現和現代物理學革命;相對論的建立和發...
內容 前言 目錄 發展史簡介天蠍座 縮寫:Sco 所有格:Scorpio 象徵物:蠍子的尾巴 赤經:17 h 赤緯:-40° 面積:497平方度 位次:...
