正弦函式
馬丟正弦函式 有如下性質
馬丟函式
馬丟函式餘弦函式
馬丟餘弦函式有如下性質:
馬丟函式
馬丟函式另
周期性
馬丟函式 MathieuC(a,q,z) 或 MathieuS(a,q,z) 只有一個是周期為 <math>\pi</math> 或<math>2\pi</math>的周期解,另一個不是。
馬丟函式 MathieuC(a,q,z) 和 MathieuS(a,q,z) 兩者都有是周期為<math>2n\pi</math>(n≥2)的周期函式。
馬丟函式周期性
馬丟函式周期性
馬丟函式周期性
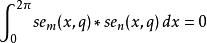
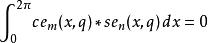
馬丟函式周期性正交性
馬丟函式
馬丟函式
馬丟函式特徵方程
馬丟方程的特徵方程是<ref name=W>605頁</ref>
馬丟函式
馬丟函式對於給定的v,q, 上列特徵方程給出無窮多個a、b解稱為特徵值。
馬丟函式
馬丟函式周C馬丟函式體特徵值可展開成級數:<ref name=FRa>Frank p659</ref>
馬丟函式
馬丟函式
馬丟函式
馬丟函式
馬丟函式
馬丟函式
馬丟函式
馬丟函式
馬丟函式
馬丟正弦函式
馬丟餘弦函式