簡介
取樣
連續變數函式f(x)不能直接用計算機處理,選取f(x)在離散點的值f(x),這個過程稱為取樣。
定理內容
香農取樣定理是針對有限頻寬函式的。
香農取樣定理
香農取樣定理
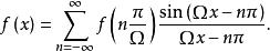
香農取樣定理 該定理斷言:如果f(x)是有限頻寬函式,,則f(x)可表示為如果取Ω=π,則這時,函式可由整點的函式值完全決定。
有限頻寬函式
(bandlimited function)
有限頻寬函式是一類特殊的函式。
在頻譜空間中所有滿足|ξ|≤C的頻率ξ的集合稱為一個頻帶,頻譜位於這個頻帶的函式就稱為有限頻寬函式。確切地說,設f(x)∈L(R),若f(x)的傅立葉變換f 具有緊支集,即存在常數Ω>0,使當|ξ|>Ω時f =0,則稱f(x)為有限頻寬函式。
