時域模型
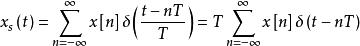
圖1零階保持可以從取樣數列 x[ n]重建為以下的連續時間信號,假設每一個取樣的時間間隔都是 T:
零階保持模型1、 。
零階保持模型2、其中 為矩形函式。
零階保持模型
零階保持模型函式 如圖1所示,而 是分段常數函式,如圖2所示。
圖2頻域模型
上述ZOH輸出的方程式也可以表示為衝激回響分段常數函式(rect函式)的線性時不變濾波器之輸出,輸入則是狄拉克δ函式乘以取樣數值所產生的脈衝序列。濾波器可以在頻域下進行分析,和其他的信號重建方式進行比較,例如依採樣定理建議的惠特克-香農插值公式,或是在二個取樣點之間線性內插的一階保持。
在此作法中,會將狄拉克δ函式的脈衝序列 x( t)經過低通濾波器還原為連續信號 x( t)。
圖3雖然實際的數位類比轉換器(DAC)不是以此方式進行,不過其其特性可以建模為將假想脈衝序列 x( t)用LTI濾波後所得的特性,而此濾波器的特性是每一個輸入脈衝都可以產生持續到下一個取樣點的常數步階輸出。
一開始先從取樣訊號,配合delta函式建立連續訊號:
零階保持模型其中 T的比例是因為將delta函式配合時間調整比例而產生的,其意思是使 x( t)的平均值等於在取樣的數值,因此低通濾波器的直流增益設定為1即可。有些文獻使用這種比例調整方式,不過許多文獻不考慮delta函式的係數'T ,因此低通濾波器會有一個直流增益T ,也就會隨取樣時間而變化。
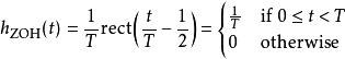
其等效的衝激回響(如圖4)為:
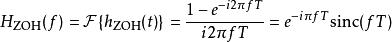
零階保持模型其等效頻率回響為衝激回響的傅立葉變換。
零階保持模型1、
零階保持模型2、其中 是正規化的Sinc函式 ,常用在數位信號處理中。
ZOH的傳遞函式拉普拉斯變換可以用將 s替代為 i2 π f而得
零階保持模型
圖4實際的數位類比轉換器(DAC)不會輸出狄拉克δ函式的序列 x( t)(因此,若是理想的低通濾波,會在取樣前得到獨特的頻寬受限制的訊號),會輸出方波的序列 x( t)(階躍函式),因此ZOH在DAC的頻率回響中會有一個本質造成的影響,在頻率較高時,會有輕微的信號衰減(在奈奎斯特頻率處降低3.9224dB,對應sinc(1/2) = 2/π)。此衰減是因為傳統DAC的“保持”特性,不是因為在傳統類比數位轉換器前面的sample and hold電路的影響 。
相關條目
•採樣定理
•一階保持
