變化總數
三階魔方總的變化數為43,252,003,274,489,856,000。或者約等於4.3X10^19。
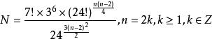
n(≥2)階魔方的變化總數:
魔方[一項智力運動]
11階魔方
魔方[一項智力運動]之所以要分奇偶性,是因為偶數沒有中心,這箇中心包括中心棱和面中心,如果你是魔方玩家,應該很清楚這點。事實上只要掌握3,4,5階的推導方式,就不難推導n階的變化總數,比較關鍵的是,心塊:每個面的心塊要分成若干個等價位置組,每個組包含四個心塊;棱塊,要分為邊棱和中心棱。
以下是較常見正階魔方的變化總數:
2階魔方變化總數是3.67*10^6
3階魔方變化總數是4.3*10^19
4階魔方變化總數是7.4*10^45
魔方變化總數計算公式5階魔方變化總數是2.8*10^74
6階魔方變化總數是1.57*10^116
7階魔方變化總數是1.95*10^160
8階魔方變化總數是3.5*10^217
9階魔方變化總數是1.4*10^277
10階魔方變化總數是8.298*10^349
魔方[一項智力運動]11階魔方變化總數是1.085*10^425
12階魔方變化總數是2.06*10^513
13階魔方變化總數是8.76*10^603
14階魔方變化總數是5.4*10^707
15階魔方變化總數是7.458*10^813
(以上都是約數。)
魔方結構
中心塊(6個):
魔方的一層中心塊與中心軸連線在一起,但可以順著軸的方向自由的轉動。
中心塊的表面為正方形,結構略呈長方體,但長方體內側並非平面,另外中心還有一個圓柱體連線至中心軸。
從側面看,中心塊的內側會有一個圓弧狀的凹槽,組合後,中心塊和邊塊上的凹槽可組成一個圓形。鏇轉時,邊塊和角塊會沿著凹槽滑動。
棱塊(12個):
棱塊的表面是兩個正方形,結構類似一個長方體從立方體的一個邊凸出來,這樣的結構可以讓棱塊嵌在兩個中心塊之間。
魔方組件長方體表面上的弧度與中心塊上的弧度相同,可以沿著滑動。立方體的內側有缺角,組合後,中心塊和棱塊上的凹槽可組成一個圓形。鏇轉時,棱塊和角塊會沿著凹槽滑動。另外,這個缺角還被用來固定角塊。
角塊(8個):
角塊的表面是三個正方形,結構類似一個小立方體從立方體的一個邊凸出來,這樣的結構可以讓角塊嵌在三個棱塊之間。與棱塊相同,小立方體的表面一樣有弧度,可以讓角塊沿著凹槽鏇轉。
中心軸(1個):
普通軸
ipg軸用來支撐方塊與轉動方塊所需要的支撐軸。
魔方外觀
貼紙
魔方六個面貼紙通常由紅、黃、藍、綠、白、橙六種顏色組成。各個時期和地方的版本貼紙方法會有區別,但基本上是前紅、後橙、上黃、下白、左藍、右綠。
如果沒有這些限制魔方貼紙一共有多少種貼法呢?答案是30種。因為由於魔方立方體的對稱性,不失一般性的,我們貼紙時不妨就指定藍色為頂面。他的對面就有5種貼法,剩下的4個面組成一個環。這個環的4種顏色去除鏇轉後相同的情況有3*2種貼法。這是因為,對於這個環,我們也可以不失一般性的就指定4種顏色中的一種顏色做為前面,他的對面有3種貼法,剩下的兩面對應2種貼法,所以魔方貼紙的貼法有5*3*2=30種。
配色
其實魔方並不只有一種配色方案,現今所流行的是並非最初的版本,最初的魔方配色方案是現今的日本方案,而現今的配色方案是將一對相似色系的顏色安排在相對兩邊,而日本則維持原來的配色,事實上也還有其他多個版本的配色方案。
第一種是由香港生產的最初的配色,最早在80年代就有銷售,現今大多數銷售的和它不同的是將茶色換成了橙色。
魔方配色第二種也是香港生產的,是和第一種同一系列的魔方,但是配色稍有不同。
第三種是由美國生產的,配色完全改動,由白對黃,藍對綠,紅對橙(現今最常見的配色方案)。
第四種是由匈牙利原產的,配色接近於美國產的魔方。
第五種是由日本生產的,與現今“標準配色”僅藍白色互換。這原本是rubik教授最初研發出魔術方塊時的配色,而在傳到日本流行後,rubik公司 聽取色彩研究者的意見,將一對相似色系的顏色安排在相對兩邊,而日本則維持原來的配色。
正階魔方
二階魔方
二階與三階魔方的大小比較二階魔方的英文名字叫做Pocket Rubik's Cube或Mini Cube,中文直譯叫做“口袋魔方”。它每個邊有兩個方塊,官方版本之一魔方邊長為40毫米,另外一個由東賢開發的軸型二階魔方則為50毫米。二階魔方的總變化數為 3,674,160 或者大約 3.67×10^6。二階魔方(Pocket Cube)又稱口袋魔方、迷你魔方、小魔方、冰塊魔方,為2×2×2的立方體結構。本身只有8個角塊,沒有其他結構的方塊。結構與三階魔方相近, 因為其沒有中心塊,所以可用假想中心法和復原三階魔方的公式進行復原。
三階魔方
魯比克教授三階魔方的英文官方名字叫做Rubik's Cube,也就是用魯比克教授的名字命名的,是當前最普遍的魔方種類。它每個邊有三個方塊,官方版本魔方邊長為57毫米,三階魔方的總變化數是(8!x3^8x12!x2^12)/(2x2x3)=43,252,003,274,489,856,000或者約等於4.3x10^19.三階魔方由一個連線著六個中心塊的中心軸以及8個角塊,12個棱塊構成,當它們連線在一起的時候會形成一個整體,並且任何一面都可水平轉動而不影響到其他方塊。三階魔方是生活中最常見的,而在2011年03月出現了新型三階-麵包三階,打破了三階魔方立方體的常規設計。
當前主流競速三階尺寸多為55-57mm。
四階魔方
四階魔方的英文名字叫做Rubik's Revenge,直譯過來是“魔方的復仇”。相對於三階來說就要複雜的多,它的構成分為兩類,一類中心是一個球體,每個外圍的小塊連線著中心球的滑軌,在運動時候會沿著用力方向在滑軌上滑動。第二類是以軸為核心的四階魔方,其實這類四階魔方就是隱藏中層的五階魔方,內部的小零件即為五階的側心塊和中棱塊,中軸上有防止鎖死的突起裝置。作為競速運動來說第二種構成的四階魔方運動速度快,不易在高速轉動中卡住。4階魔方的官方版本大概邊長為67毫米,Mefferts版本為60毫米。四階魔方被認為是2-5階魔方中最不好復原的,雖然5階魔方的變化種類比4階多,但是4階魔方的中心塊並不固定,也就不能用一般的方法進行復原。四階魔方共有7,401,196,841,564,901,869,874,093,974,498,574,336,000,000,000種變化。
五階魔方
三四五階彩色魔方五階魔方的英文名字叫做Professor's Cube,直譯過來是“專家(玩)的魔方”,世界上總共有三種結構的五階魔方,即中國台灣東賢的M5,匈牙利魯比克的R5,希臘Olimpic的V5。
五階魔方的難度較高,五階魔方,五階魔方總共有8個角塊、72個邊塊(兩種類型)和54箇中心塊(48塊可以移動,6塊固定)。五階魔方的中心塊為3×3結構,所以其每種顏色都有4塊中心塊是等價的,即中心塊的變化狀態為(24!(4!6))2種。其24個外側邊塊的位置不能隨意移動,所以總共有24!種變幻狀態。12箇中心邊塊中有11個可以互換位置,所以總共有12!/2×211種變化狀態。五階魔方的總變化狀態數為282,870,942,277,741,856,536,180,333,107,150,328,293,127,731,985,672,134,721,536,000,000,000,000,000種。
我國生產了全封閉的五階魔方,可謂是科技的一大創新。
六階魔方
六階魔方是由希臘的Olimpic方塊公司出產,角塊比中心塊略大,棱塊略呈長方形。方塊本身評價不太好,常見的評價為容易飛棱(指在復原魔方的過程中中魔方的某些組成部分從魔方上面脫離的情況,如果是出現於比賽中,則作為無效的復原過程)。為防止鎖死,方塊內部設定click裝置,但同時也對手感造成嚴重影響,轉起來一卡一卡的。魔友通常對其進行一系列打磨改造,可大大減少頓挫感,並減少很多pop的機會。
七階魔方
七階魔方由希臘Olimpic方塊公司出產。同時兼備了收藏,鑑賞及實用價值,方塊本身為圓弧型或正方體。
我國“聖手”生產了方形的七階,分為兩種規格,大方七直徑7.75cm,小方七(玲瓏七階)直徑6.9cm,更大程度的滿足了不同選手對魔方的需求。
每發明一種新的高階魔方都要經過很長時間,因為不僅要考慮到項目的可行性,還要考慮如果將魔方作出來後能不能穩定的用於轉動。正是由於這個原因,七階魔方是官方公布的最高階魔方,其結構也不是一般的愛好者可以想像出來的。
八至十七階
*八階魔方及更高階魔方不是WCA比賽項目
八階魔方最早為“魔方吧”的魔友“大菸頭”自製(R結構的四階和藍藍的七階改成的八階)八階雖然比九階要低一階,但其結構比九階更複雜。
現今國產魔方牌子“聖手”和“智勝”研製出了八階魔方,但是因為結構原因,所以魔方的外層比中層寬。而且整個魔方外觀上是正方體。
希臘的V-Cube也推出了八階魔方。
九階魔方是汕頭永駿公司出品的,魔方尺寸:7.5*7.5*7.5(cm),材質:ABS環保工程塑膠、pvc貼紙,產品重量:約510克。
國內聖手也推出了九階魔方。
十階魔方同由聖手魔方量產,同八階外觀也是一個正方體。重量大小和十一階差不多。
十一階魔方由裕鑫第一批108個正式上市,尺寸約11.7cm,重1千克左右。較不易散架;中心軸使用尼龍材料。
未經官方認可的高階魔方十二階魔方為魔友“Leslie Le”自製,發布於TP等國外論壇,沒有在國內論壇發布,因而有不少 魔友並不知道,且製作人本身並沒顯示出要出名的意思,較為低調。各位可以在網路上找到12階魔方的相關內容。
十三階魔方由永駿魔域首次量產
十七階魔方由裕鑫於2017年首次量產。
更高階
其他更高階的魔方,從量產上來分析,當前還是不存在的。但是民間卻有非常熱心、狂熱的發燒友會自己來製造,也可能造出來。經視頻檢驗得知,最高階的魔方是22階魔方 (截至2016年),在視頻中可以看到魔方可以全方位正常鏇轉,可謂驚人。隨著魔友力量的壯大,更多更高階的魔方可以有機會和大家見面。
截止到2017年,最高階的魔方為非官方的33階魔方。
異型魔方
異型魔方相對原始魔方的變化較大,但是原理基本上相同。初玩魔方的魔方愛好者通常會被它們怪異的外型嚇到。不少異形魔方都可以使用正階魔方的復原方法或相似思路進行復原。
這一類型的魔方的數量極多,在這裡只列出常見幾種有特點的魔方。
鏡面魔方
鏡面魔方叫做“Rubik Cube Mirror”,是三階魔方的衍生與變形。 特色在於外型不對稱與鏡面塗布,打亂後可以變換形狀。特點在於每個棱塊和角塊大小都不一樣。仔細研究一下,會玩普通三階魔方的,基本上能還原。
SQ1
Square-1Square One又叫做Square-1或者SQ1,是由Karel Hrsel和 Vojtech Kopsky在1992年共同發明的。它的難度主要在於上下兩個地面的方塊被切割成了可以轉動30度和60度的小塊,從而可以產生不同於原始立方體模樣的狀態。
Square 1魔方分為三層,屬於兩極類魔方。頂層和底層都有風箏塊和三角塊,它們也被稱為角塊和邊塊。整個魔方總共有8個角塊和8個邊塊。相對於層的中間來講,角塊為60度,邊塊寬度為30度。
此外除SQ1外還有SSQ1,SQ2等系列衍生類魔方。
SQ1魔方是WCA比賽項目 。
魔錶
魔錶魔錶魔方名稱為 Clock,圓型結構,現已絕版,網上能買到的不是國外的二手貨就是國內的山寨產品。魔錶是一個兩面都需要進行復原的“魔方”,每個面上面有九個鐘錶盤。魔錶有四個齒輪控制錶針的轉動。每面都有四個按鈕,在兩面上形成此進彼出的關係。按鈕的狀態影響到相應的齒輪的轉動。
魔錶的玩法是將打亂的錶盤在兩面上都歸為12點位置。
魔錶是WCA比賽項目 。
金字塔
Pyraminx又名金字塔魔方,由德國科學家麥菲特Uwe Meffert 教授於1970年發明,原本他是用於研究金字塔能量的模型(1970熱門研究“金字塔能”蘋果放置模型中央一年仍能保持新鮮狀態),在研究過程中,意外的發明出金字塔魔方。該魔方的形狀為正四面體,總共有四個面及四根軸。Pyraminx為4軸1階,方塊中所有的切角皆為60度。也有其他種類的高階金字塔魔方(當然也不叫Pyraminx了)。
(三階)金字塔魔方是WCA比賽項目 。
斜轉
Skewb 斜轉魔方Skewb Cube(斜轉魔方)簡稱Skewb,其中文意思為“斜著轉的魔方”, 由Mefferts公司推出,它和Pyraminx一樣也是四軸,不過不同的是它繼承了立方體的結構,一個面塊被一個內接正方形割成四個全等的等腰直角三角形和一個正方形,共五部分。四個角叫做角塊,中間的小正方形叫做面塊。在轉動時沿著正方形的其中一邊來轉動,轉動一格是120度。
斜轉魔方於2014年1月1日被加入WCA比賽項目 。
五魔方
五魔方五魔方(Megaminx),是一種十二面體魔方,它總共有五十個可以移動的塊。它是由一些魔方愛好者和研究者同時發明的。Uwe Meffert最終取得了五魔方的發明權和製作權,並且在他的魔方網站Mefferts進行銷售。
另外還有一種深切五魔(Megaminx Crystal)在五魔的原有基礎上將“切線”加深,其實復原難度相對五魔方而言並沒有增加,但是復原方法與五魔方不同。
五魔方是WCA比賽項目 。
魔板
英文名稱為 Magic,板型結構,兩面結構,玩法是固定步驟,將正面圖案翻轉弄亂從而復原背面圖案,主要測試的是玩家的手速,2012年的世界紀錄已經達到了0.8秒以內了。魔板種類繁多,常見的有2x2的四板,2x4的八板,翻轉後可以變換成3x3缺一格的背面。
魔板於2013年1月1日被移除出WCA比賽項目 。
連體魔方
連體魔方是將很多個一般魔方連線起來,因此在這其中有些限制,像是2x2x2x10。
捆綁魔方
捆綁魔方保持原有魔方的狀態,但是做出了一些限制,比如把相鄰的兩個方塊做成一個,這樣就無法使用原來可以的移動方法進行復原了。
空心魔方
是由三階魔方衍生出來的一種魔方。是把中心架去掉(即沒有六個中心塊)其結構:棱塊有三層,轉動時上下隨棱塊轉動,中心不動。因此玩家不能看中心塊來判斷哪個塊是不是這個面的。
齒輪魔方
齒輪魔方為烏爾·麥菲特於2012年製造,分三階、二階和金字塔形狀。齒輪三階魔方其兩側轉動時會帶動中間齒輪轉動,齒輪二階魔方只能轉動稜角,無法進行像齒輪三階魔方一樣的直面鏇轉,齒輪金字塔魔方只能通過轉動小角打亂復原。
復原方法
解法技巧
首先你要定魔方的中心,在6種顏色中選出一種你所喜愛的顏色,然後,給那個有此種顏色的中心方塊的平面上4個邊緣方塊定位和定向,即頂面邊緣。目的是要給屬於頂平面的4個邊緣位置的方塊定位和定向。這4 個頂面邊緣方塊都是逐一被安放和定向的。
給選出的頂平面上的4 個邊角方塊定位和定向,即頂面邊角。這一步的目的是,在保持已經安放好的頂面邊緣方塊的同時,給4 個應屬於頂面上邊角位置的方塊定位和定向。在這一系列轉動中,頂面邊緣方塊將被暫時移動,但都會適當還原的。
給頂平面下面的一層的4 個邊緣方塊定位和定向,即中層邊緣。這一步的目的是要給頂平面下面的4個邊緣方塊定位和定向。這一步可以被看作是對“中層平面”的開解。旦完成這一步驟,魔方的三分這二就完成了。
給底平面上的4 個邊角方塊定位和定向,即底面邊角。這一步是要給第平面上的4個邊角方塊定位和定向.這是通過先定位後定向來完成的,這次的4個方塊不是分別安放,而是作為一組一次同時完成。
給底平面上的4 個邊緣方塊定位和定向,即底面邊緣。看底面邊緣的位置:----如果沒有一個邊緣方塊方位正確:做如下一組轉動,這次只要保持頂面和底面不變就行了轉完後看看底面的情況再缺定下一步的轉法。如果只有一個邊緣方塊方位正確:正確持握魔方使那個位置或方位已經正確的邊緣方塊處於底前的位置,.轉完後看看底面的情況再缺定下一步的轉法。有兩個正確的邊緣方塊方位正確:正確方塊位置相對:使正確方塊位於底前與底後的位置;正確方塊位置相鄰:使正確方塊處於底前與底右的位置。
魔方[一項智力運動]2016年1月,據外媒報導,德國工業工程師、經濟學家艾伯特·貝爾發明了一部機器,只需一秒鐘不到便可還原魔方。這款機器人叫做“Sub1”,相機記錄到該機器人解開魔方僅需0.887秒,然而這是非正式地“打敗”其它機器人,這項紀錄尚未獲得金氏世界紀錄的審核。
據悉,貝爾花費了數百個小時用於設計、製造、編程和調節這款機器人。本月初,美國密蘇里州軟體工程師傑伊·弗萊特蘭和保羅·羅斯在YouTube網站上傳一段視頻,顯示一款超級機器人成功解開魔方僅1.047秒。
截至2017年最新的機器人紀錄為0.637s。
二階復原
二階魔方只有8個角塊,可以利用“三階魔方層先法”的一部分原理進行還原。
•第一階段:還原頂層。
•第二階段:翻轉底層角塊,對齊底層顏色。
•第三階段:調整底層角塊位置,還原完成。
【第一階段】:還原頂層。 | 【第二階段】:翻轉底層角塊,對齊底層顏色。 | 【第三階段】:調整底層角塊位置,還原完成。 |
三階復原
三階魔方的還原方法很多:層先法、角先法、棱先法、橋式方法、CFOP、CFOOP、笑面虎法等等。
層先法
初學者大都選擇層先法,特點是公式少便於理解 ;
三階魔方“層先法”還原,分為以下六個階段:
第一階段:對頂層十字,還原頂層棱塊。
底層十字第二階段:還原頂層角塊。
底層還原第三階段:還原中層棱塊。
兩層還原第四階段:對底層十字,還原底層棱塊。
頂層十字第五階段:翻轉底層角塊,對齊底層顏色。(為便於理解,此處將魔方翻轉過來。)
頂面復原第六階段:調整底層角塊位置,還原完成。
魔方復原CFOP法
競速玩家一般是採用CFOP法,這種方法熟練之後可以在30秒之內將魔方的六面還原,下面就簡單介紹下這種方法。
魔方公式步驟介紹
CFOP方法一共分四步:CROSS->F2L->OLL->PLL
Cross:意思是底部打好十字
F2L:(First Two Layers) 意思是同時對好前兩層
OLL:(Orientation of the Last Layer)意思是把頂層朝上的顏色統一
PLL:(Permutation of the Last Layer)意思是調整頂層順序(完成整個魔方)
第一步、底層架十字(CROSS)
做十字時,要牢記四個顏色,臨近兩邊的對應顏色變化也要有印象。必須能做到看一面的顏色的情況 下, 記得其他面的顏色。
儘可能的分析每次打亂後的圖案。據統計在99.9%的情況下,7步內就能做出來十字。所有十字都能以8步完成。
盲擰十字,並做到無錯誤盲擰。
逐漸減少思考時間,直到每次都能在15秒的觀察時間裡盲擰十字。
從完成十字到找到第一組F2L非常重要,但即使是非常快的人,在這完成這個步驟時,也幾乎不可能不停頓一下。
減慢做十字的速度,在此期間就要找到第一對F2L。
做十字的時候不預先觀察,這樣就迫使你在做十字的時候減慢速度,從而讓你在完成十字到F2L過渡時動作更加協調。
把十字擺成一個特有的CASE。這樣完成一個十字時,分析他它的F2L走向。
1.做十字時,要牢記四個顏色,臨近兩邊的對應顏色變化也要有印象。必須能做到看一面的顏色的情況 下, 記得其他面的顏色。
2.儘可能的分析每次打亂後的圖案。據統計在99.9%的情況下,7步內就能做出來十字。所有十字都能以8步完成。
3.盲擰十字,並做到無錯誤盲擰。
4.逐漸減少思考時間,直到每次都能在15秒的觀察時間裡盲擰十字。
5.從完成十字到找到第一組F2L非常重要,但即使是非常快的人,在這完成這個步驟時,也幾乎不可能不停頓一下。
6.減慢做十字的速度,在此期間就要找到第一對F2L。
7.做十字的時候不預先觀察,這樣就迫使你在做十字的時候減慢速度,從而讓你在完成十字到F2L過渡時動作更加協調。
8.把十字擺成一個特有的CASE。這樣完成一個十字時,分析他它的F2L走向。
第二步、完成前兩層(F2L)共有41種情況
如果你只是剛剛開始學習F2L,要充分理解每個公式,並且把一些相似的公式記在一起。這樣,不僅可以幫助你記憶F2L,而且可以在以後的運用過程中讓你從直觀上認識F2L,這樣對你在以後學習的F2L有很大的好處。
減少觀察的時間,另外要能做到從四面都能復原同一個CASE。
尋找最適合你的公式,在網上看高手的視頻,看他們是如何做到F2L。
在F2L里最最重要的一個建議就是,轉慢並且預判。如果你每個公式都做的很熟練,但是如果你做完一組F2L以後要花時間去尋找下一組F2L,那么你F2L的水平還很不到位。預判的意思就是在做第一組F2L的時候,速度要慢一點,這樣你就有時間去觀察下一組F2L的走向,要保證每組F2L之間的無縫連線。整個4組F2L最後要達到的境界,即是要看起來像一組動作。想要做到SUB20(小於20秒),這點是必須的。
這裡有一個很好的方法去訓練你的預判能力。用一個音樂節拍器,剛開始的時候讓你轉動魔方的速度是每秒2步。保持每秒2步的速度,已經能讓你的手忙活一陣子了。如果是平均SUB20(小於20秒)的水平。你的目標是每秒3步。
當你練了一段時間以後,你可以試著在做預判的同時提高速度。剛開始,這樣會讓你感覺很不習慣。但是慢慢的,你會喜歡在這樣的節奏中做出準確的預判。
想要預判OLL是非常困難的,你得花費時間去判斷OLL。所以在一切練得非常熟練之後,全速玩做完4組F2L,去判斷OLL的公式吧。
1.如果你只是剛剛開始學習F2L,要充分理解每個公式,並且把一些相似的公式記在一起。這樣,不僅可以幫助你記憶F2L,而且可以在以後的運用過程中讓你從直觀上認識F2L,這樣對你在以後學習的F2L有很大的好處。
2.減少觀察的時間,另外要能做到從四面都能復原同一個CASE。
3.尋找最適合你的公式,在網上看高手的視頻,看他們是如何做到F2L。
4.在F2L里最最重要的一個建議就是,轉慢並且預判。如果你每個公式都做的很熟練,但是如果你做完一組F2L以後要花時間去尋找下一組F2L,那么你F2L的水平還很不到位。預判的意思就是在做第一組F2L的時候,速度要慢一點,這樣你就有時間去觀察下一組F2L的走向,要保證每組F2L之間的無縫連線。整個4組F2L最後要達到的境界,即是要看起來像一組動作。想要做到SUB20(小於20秒),這點是必須的。
5.這裡有一個很好的方法去訓練你的預判能力。用一個音樂節拍器,剛開始的時候讓你轉動魔方的速度是每秒2步。保持每秒2步的速度,已經能讓你的手忙活一陣子了。如果是平均SUB20(小於20秒)的水平。你的目標是每秒3步。
6.當你練了一段時間以後,你可以試著在做預判的同時提高速度。剛開始,這樣會讓你感覺很不習慣。但是慢慢的,你會喜歡在這樣的節奏中做出準確的預判。
7.想要預判OLL是非常困難的,你得花費時間去判斷OLL。所以在一切練得非常熟練之後,全速玩做完4組F2L,去判斷OLL的公式吧。
第三步、頂面還原(OLL)
每種CASE(情況),學習從兩個方向解。對於簡單的CASE(情況),學習從任何方向去解。
學習一些COLL,當在遇到某些CASE(情況)時,會非常實用。
計時完成57個OLL,儘可能的快。
練習,作到零延時判斷出PLL。
1.每種CASE(情況),學習從兩個方向解。對於簡單的CASE(情況),學習從任何方向去解。
2.學習一些COLL,當在遇到某些CASE(情況)時,會非常實用。
3.計時完成57個OLL,儘可能的快。
4.練習,作到零延時判斷出PLL。
第四步、頂面還原(PLL)
所有的圖案都要能做到至少能從2各方向復原。
一些簡單的CASE,要能做到4個方向都能復原。
因為這些CFOP中最後的一步。所以你要選擇一個好的公式,方便你還原魔方後,用手去按計時器。
計時完成21個PLL,儘可能的快,多上網找更適合自己的PLL公式。
1.所有的圖案都要能做到至少能從2各方向復原。
2.一些簡單的CASE,要能做到4個方向都能復原。
3.因為這些CFOP中最後的一步。所以你要選擇一個好的公式,方便你還原魔方後,用手去按計時器。
4.計時完成21個PLL,儘可能的快,多上網找更適合自己的PLL公式。
總結 CFOP
有條件的話,給自己錄像,比較自己和高手的差距。
要多和高手交流,從他們身上會學到很多東西。
不僅要學習速度,還要學習魔方教學、盲擰、最少步數完成。
試著在有旁人圍觀的情況下玩(魔方也流行:因為平時都是在家練習,在表演給別人看的時候,心理肯定會緊張)
參與網上討論
嘗試學習一些其他的手法,或許你能找到更適合你的方法和靈感。
記住一個打亂公式,然後去復原魔方。這樣就能比較出你在放鬆和有壓力的情況下,你的成績會有多大的波動。
1.有條件的話,給自己錄像,比較自己和高手的差距。
2.要多和高手交流,從他們身上會學到很多東西。
3.不僅要學習速度,還要學習魔方教學、盲擰、最少步數完成。
4.試著在有旁人圍觀的情況下玩(魔方也流行:因為平時都是在家練習,在表演給別人看的時候,心理肯定會緊張)
5.參與網上討論
6.嘗試學習一些其他的手法,或許你能找到更適合你的方法和靈感。
7.記住一個打亂公式,然後去復原魔方。這樣就能比較出你在放鬆和有壓力的情況下,你的成績會有多大的波動。
四階復原
降階法,比較適合初學者,大方向是把它變成一個大的三階魔方。 另外也可以使用K4法。
降階法
把每面四個色心還原,每面的顏色一定要和原來一致!
每條棱中間兩塊組對,也就是並棱,這個公式換的是前面中間兩層的某兩個:MD R F' U R' F MD'
1.把每面四個色心還原,每面的顏色一定要和原來一致!
2.每條棱中間兩塊組對,也就是並棱,這個公式換的是前面中間兩層的某兩個:MD R F' U R' F MD'
前2步好了後,它就是個大三階魔方了,用三階魔方處理幾乎所有步驟!最後可能會遇到兩種特殊情況,特殊情況處理如下:
•需要交換且僅交換一對對面棱塊組。把要交換的棱塊組放上面且前後走向放置 MR2 U2 MR2 TU2 MR2 MU2.
•需要翻轉且僅翻轉一個棱塊組。把要翻轉的棱塊組放上面且最靠近你的位置。
下面這個公式叫 翻棱公式:MR2 B2 U2 ML' U2 MR' U2 MR U2 F2 MR F2 ML B2 MR2.
而 M = 中間(Middle),比如MR=中間兩層靠右一層,其它照推。而TU表示上面的兩層。
現今說怎么轉動:
•比如R,就表示右邊一層順時針轉動90度,這是對從右向左看說的。
•U表示上面一層順時針轉90度,這是對從上向下看的。
•F表示前面一層順時針轉90度,這是從前向後看說的。
•如果加撇(')號,就表示逆時針。如果後面加2,就表示轉180度。
•判斷順時針逆時針,總是從上述的三種看法之一來判斷!
這樣,四階魔方就可以還原了!
K4法(K4 Method)
K4 method是由Thom Barlow所發明,在他網名叫作Kirjava,故名Kirjava-4X4X4 Method,簡稱K4 Method 解法流程是:
底色中心→三個底邊(Cross)→其他五面中心→最後一個底邊→F3L→頂面角的方向及位置→邊的位置與方向→特殊情況處理。
當前通常使用降階法的魔友在接觸到K4法幾天后就可以達到原降階法速度,而後有更大提升。
Yau法
由英國魔友Robert Yau發明。流程如下:1.對好所有的中心塊。2.用323並棱法並好棱塊。3.按三階方法復原,處理特殊情況。
目前世界上最常用的四階速擰解法就是Yau法,該方法也可以用在五階上。
五階復原
五階魔方與四階魔方類似,可以採用降階法還原。
第一步,還原中心塊
第二步,合併棱邊,完成降階
第三步,按照三階魔方還原
盲擰方法
三階魔方常見盲擰方法有兩大類:四步法和二步法。四步法主要有四步逐塊法和三循環四步法;二步法主要有彳亍法,(國外稱Freestyle BLD method)、M2R2法等。
彳亍法
彳亍法,是目前三階盲擰最高效的方法,從2010年開始所有三階盲擰單次世界紀錄都由該方法創造。其思路是運用三循環的原理一次同時把兩塊的色向及位置復原,分角塊復原及棱塊復原兩步。按這一點來說,屬於二步法範疇。
彳亍法由行原創,經roundy改進,一葉知秋整理形成完整的一套方法。
整個復原過程為:
棱塊編碼->;角塊編碼->;角塊復原->;棱塊復原->;奇偶校驗(角塊和棱塊的順序可以按個人習慣,是否存在奇偶校驗視情況而定)。
三步法
by.一葉知秋
< M2法和四步法結合的盲擰方法 >
一、盲擰思路:
棱塊用的是M2法(色向和換位同步完成,其中M層的四個棱塊色向留在棱位換好後再翻色)
角塊就用四步法中的兩步(先翻角塊色向,再換角塊位置)
奇偶性校驗(在該方法中,因為棱塊是固定的DF和UB需要對換,所以所用的4個PLL公式都是對棱參與的!先作F2把UB棱塊翻到頂層,再翻動角塊,最多翻4步!<;棱塊不出現奇偶性時,這一步省略>;)
1.棱塊用的是M2法(色向和換位同步完成,其中M層的四個棱塊色向留在棱位換好後再翻色)
2.角塊就用四步法中的兩步(先翻角塊色向,再換角塊位置)
3.奇偶性校驗(在該方法中,因為棱塊是固定的DF和UB需要對換,所以所用的4個PLL公式都是對棱參與的!先作F2把UB棱塊翻到頂層,再翻動角塊,最多翻4步!<;棱塊不出現奇偶性時,這一步省略>;)
二、記憶順序:
編碼棱塊(M2法)(顧及是否有棱塊需要翻色和是否存在奇偶性);
編碼角塊位置;
編碼角塊方向。
1.編碼棱塊(M2法)(顧及是否有棱塊需要翻色和是否存在奇偶性);
2.編碼角塊位置;
3.編碼角塊方向。
三、還原順序:
角塊方向;
角塊位置(需要奇偶校驗就剩下兩個角塊;
棱塊;
個別棱塊翻色;
奇偶性校驗
1.角塊方向;
2.角塊位置(需要奇偶校驗就剩下兩個角塊;
3.棱塊;
4.個別棱塊翻色;
5.奇偶性校驗
(②、③兩個步驟依個人習慣可以調換順序操作,最後的④、⑤兩個步驟有時候可能省略)
四、定 義:
上下面為高級面;前後面為中級面;左右面為低級面;
上下色為高級色;前後色為中級色;左右色為低級色;
色向優先權依舊遵循 高級 > 中級 > 低級 原則。
1.上下面為高級面;前後面為中級面;左右面為低級面;
2.上下色為高級色;前後色為中級色;左右色為低級色;
3.色向優先權依舊遵循 高級 > 中級 > 低級 原則。
五、編 碼:
角塊編碼
1.角塊編碼
| 角塊 | 上前左 UFL | 上左後 ULB | 上後右 UBR | 上右前 URF | 下左前 DLF | 下後左 DBL | 下右後 DRB | 下前右 DFR |
| 編號 | 1 | 2 | 3 | 4 | 5 | 6 | 7 | 8 |
2)棱塊編碼
| 棱塊色向 | 正確編號 | 棱塊色向 | 不正確 編號 | 棱塊色向 | 正確 編號 | 棱塊色向 | 不正確 編號 |
| 上前 UF | A | 前上 FU | B | 上左 UL | C | 左上 LU | D |
| 上後 UB | E | 後上 BU | F | 上右 UR | G | 右上 RU | H |
| 下前 DF | I | 前下 FD | J | 下左 DL | K | 左下 LD | L |
| 下後 DB | M | 後下 BD | N | 下右 DR | O | 右下 RD | P |
| 前右 FR | Q | 右前 RF | R | 前左 FL | S | 左前LF | T |
| 後左BL | W | 左後LB | X | 後右BR | Y | 右後RB | Z |
辛馬斯特標記
辛馬斯特標記總表(三階魔方)辛馬斯特標記(Singmaster notation),是一種魔方轉動的記錄方法,由英國原倫敦南岸大學數學教授大衛·辛馬斯特(David Breyer Singmaster)於1978年12月發明。辛馬斯特標記已成為通用標準,通常被俗稱為“魔方公式符號”。
辛馬斯特標記,由“各層代號”、“鏇轉方向”兩部分組成。
•各層代號:魔方各層以英文首字母指代。R(Right)、L(Left)、U(Up)、D(Down)、F(Front)、B(Back)分別指代右、左、頂(上)、底(下)、正(前)、背(後)層。
•鏇轉方向:順時針鏇轉90°,直接寫各層代號;逆時針鏇轉90°,在各層代號後綴【'】或【i】;鏇轉180°,在各層代號後綴【2】或【2】(默認順時針方向鏇轉180°)。
完整的辛馬斯特標記可以理解為【以面向指代層的視角,按方向進行鏇轉】。
•例如:R,以面向右面視角,將右面順時針鏇轉90°。從正面視角來看,即右面“向上”轉90°。
•又例如:D,以面向底面視角,將底面順時針鏇轉90°。從正面視角來看,即右面“向右”轉90°。
•又例如:B',以面向背面視角,將背面逆時針鏇轉90°。從正面視角來看,即背面“向右”轉90°。
除此之外,若要記錄更加詳細的魔方轉動,還會用到:M(Middle)與U、F、L合用,指代各中層;C(Complete)與U、F、L合用,指代魔方整體以某層的形式鏇轉。
•例如:MU,以頂面視角,將中間層順時針鏇轉90°。從正面視角來看,即上數第二層“向左”轉90°。
•例如:CF,以正面視角,將魔方整體順時針鏇轉90°。即魔方整體沿豎直面“向右”轉90°。
常見術語
N階:階數是指魔方主體部分兩個相鄰鏇轉面所共有的塊數,比如三階魔方每個邊有3個小塊,金字塔魔方兩個相鄰鏇轉面共有5個塊,但主體部分只共有3個塊,所以也是三階。
復原:指魔方從非原始狀態到原始狀態的過程。
SUB:原文是「Subtraction」,意思就是「減、少於」的意思,在這裡是「在XX秒以下」的意思。例:3x3方塊SUB30,就是指平均速度在30秒以下。(一說為n次計時還原後去掉最快、最慢兩次成績並取平均值)
DNS:“Did Not Start” 的簡稱,指放棄了一次復原機會,沒有開始復原,即開始前棄權。
DNF :“Did Not Finish”的縮寫。指的是參賽者感覺自己無法在滿意的時間內完成魔方而宣布棄權,或按下計時器時魔方未能復原。在五次去尾計平均的比賽中只可以有一次DNF(算作最差成績),如有兩次以上DNF,則該項目平均成績為DNF
WCA :世界魔方協會(World Cube Association),世界魔方協會成立於2003年,主要致力於舉辦魔方速擰比賽。1982年在匈牙利舉行的世界魔方冠軍賽的成績也被WCA承認,這是2003年之前唯一被承認的比賽 。
CFOP :Fridrich Method的縮寫。流程為Cross、F2L、OLL、PLL,取每一個步驟的首字母作為簡稱。
Cross:十字。指在Fridrich Method 或 層先法中還原底層的4個棱塊。
F2L:First Two Layers的縮寫。運用Fridrich Method同時還原魔方第一、二層的方法。
OLL:Orientation of Last Layer的縮寫。運用Fridrich Method還原魔方第三層顏色的方法。
PLL:Permutation of Last Layer的縮寫。運用Fridrich Method還原魔方第三層位置的方法。
Lucky Case:指還原魔方過程中某一個步驟不須進行還原而幸運地自動跳到下一步驟。
Lucky Time:指出現Lucky Case下還原所用的時間。
PB:Personal Best的縮寫。為個人魔方最快時間。
POP:POP up的縮寫。魔方在復原過程中,棱塊、角塊等零件脫離飛出。如果是出現在比賽中作為無效的復原過程。
BLD:Blindfold Cubing的縮寫。先看後擰,計時是從第一眼看到魔方開始,然後進行記憶,記憶完成後盲擰魔方。
Scramble:打亂魔方
UWR:Unofficial World Record的縮寫,非官方世界紀錄。
LBL:Layer By Layer的縮寫。指層先法,有的地方又叫“七步法”
WR:世界紀錄 (World Record)
NR:國家紀錄 (National Record)
AsR:亞洲紀錄 (Asia Record)
CR:洲際記錄 (Continent Record)
FSC:Finger Short Cut的縮寫。是指由一組鏇轉動作組成的、在公式中經常出現的順手手法(比如R U R' U')。
CZZ:兩種說法:①拆再裝 拼音縮寫 ②cross(十字)+ZBLS(最後一組f2l完成的同時完成頂面十字)+ZBLL(頂層棱塊對位,頂層角塊對色對位)
PSC: 可預先準備的還原挑戰
常見玩法
普通玩法
這類玩法適合拿魔方當作放鬆和娛樂的愛好者。他們通常僅僅滿足於復原一個魔方,不會追求更高的標準。一般按照網上的視頻教程七個步驟就可以還原,簡單易學。
45歲的英國建築工人格雷厄姆·帕克就花費了26年還原一個魔方。
競速玩法
競速玩法出現的具體的時間已經難以考證。當愛好者們已經能夠熟練復原魔方的時候,就開始追求最快的復原。競速復原有幾個要點:使用的方法要最簡便,但是隨之產生的問題是步驟越少,需要記憶的公式就越多;使用的魔方需要最適合競速使用,不會卡住或者打滑,所以出現了為魔方專用潤滑油;靈巧的雙手,因為擁有方法和好的魔方不是最重要的,雙手能夠熟練的轉動魔方才能有最高的效率。
截至2018年,三階魔方速擰的世界紀錄是平均5.80秒。
最少步還原
在這種玩法或者比賽中,比賽組委會提供題目與紙筆,魔方自帶至多3個和若干貼紙,然後思考出最少的步驟來解決魔方,在此期間可以轉動魔方,不可使用其他計算工具,時間為標準60分鐘。截止2018年,單次世界紀錄是18步(Chad Batten在GA Cubers Mountain Trip 2018),平均世界紀錄24步(德國的Sébastien Auroux在2017最少步專項賽,3次成績分別為23步、26步和23步;Walker Welch在2017美國最少步賽,3次成績分別為22步、23步、27步;Reto Bubendorf在2018芬蘭錦標賽,3次成績分別為22步、24步、26步)。
將任意打亂魔方還原所需要的最少步數的上限被稱為上帝之數。2010年7月,三階魔方的上帝之數已被證明為 20步。
三階魔方最少步還原是WCA比賽項目 。
盲擰
盲擰可以說是每個魔方玩家的夢想。盲擰的定義就是不用眼睛觀看魔方(先進行記憶),進行復原的過程。計時是從第一眼看到魔方開始的,也就是說記憶魔方的時間也算在總時間內。這種玩法對一個人的記憶力和空間想像力有極大的考驗。當前三階魔方的盲擰世界紀錄是16.55秒,四階魔方盲擰世界紀錄是1:26.41,五階盲擰世界紀錄是3:01.01。
三階、四階、五階魔方盲擰及三階多個盲擰是WCA比賽項目 。
單擰
即單手轉動魔方進行復原,對手指的靈活程度要求很高。因為沒有另外一隻手的幫助,魔方難以保持平衡,尤其是在高速轉動的過程中。當前世界紀錄為Feliks Zemdegs創造的6.88秒。
三階魔方單擰是WCA比賽項目 。
腳擰
雖然聽起來有些不可思議,但是卻是有人用腳來復原魔方。世界紀錄為美國的Daniel Rose-Levine在2018美國中部錦標賽創造的16.96秒。國內腳擰紀錄由蘇成明在2018北京夏季賽創造,為21.88秒。
三階魔方腳擰目前是WCA比賽項目 ,但WCA決定將於2020年取消該項目。
花樣
有些人鍾情於通過魔方創造美麗的花樣圖案。事實上這也是相當有難度的,因為要預測每一塊的移動並不是很簡單。以下是一些三階魔方的花式:
六面回字公式 U’ D F’ B L R’ U’ D
四色回字公式 B2 L R B L2 B F D U’ B F R2 F’ L R
對稱棋盤公式 L2 R2 F2 B2 U2 D2
循環棋盤公式 D2 F2 U' B2 F2 L2 R2 D R’ B F D' U L R D2 U2 F' U2
六面十字公式 B2 F’ L2 R2 D2 B2 F2 L2 R2 U2 F'
四面十字公式 D F2 R2 F2 D’ U R2 F2 R2 U'
雙色十字公式 U’ D F’ B L R’ U’ D L2 R2 F2 B2 U2 D2
三色十字公式 B F’ L2 R2 U D'
四色十字公式 U2 R B D B F’ L’ U’ B F’ L F L’ R D U2 F’ R’ U2
五彩十字公式 L2 D’ F2 D B D L F R’ U’ R’ D’ F L2 B F2 L
六面皇后公式 R2 B2 U2 L2 B2 U2 F2 L2 D L’ R F L2 F’ U’ D L
六面五色公式 U B2 L2 B F’ U F’ D2 L D2 F D R2 F2 R’ B’ U’ R’
六面六色公式 D2 U2 L2 B R2 D’ L2 R2 D2 B2 F2 U’ R2 B’ R2
六面彩條公式 F2 U2 F2 B2 U2 F B
六面三條公式 (U2 L2)3 (U2 R2)3 U D L2 R2
六面凹字公式 F2 L’ R B2 U2 L R’D2
六面凹字公式 U D L2 F2 U D’ B2 R2 D2
六面凸字公式 F2 R F2 R' U2 F2 L U2 B2 U2 F' U2 R D’ B2 D F' D2 R F
六面工字公式 D2 M L’ F2 B2 M L’ D2
六面Q字公式 D F2 U’ B F’ L R’ D L2 U’ B R2 B’ U L2 U'
六面J字公式 D2 L2 D R2 U B2 U2 B R’ B’ D B2 R’ F R2 F’ U R'
六面L字公式 L R U D F’ B’ L R
六面彩E公式 F2 R2 F2 U’ R’ B2 F L R’ U L’ R U B U2 F2 D’ U'
六面C U公式 D’ U B D’ L’ R F D’ B’ D’ U L
六面T字公式 U2 F2 R2 D U’ L2 B2 D U或者B2 D2 L R’ D2 B2 L R'
四面Z字公式 (F B R L)3 (U D')2
四面I字公式 R2 F2 R2 L2 F2 L2
四面L字公式 B F D U L2 D U’ B F'
四面O字公式 U R2 L2 U D’ F2 B2 D'
四面E字公式 R2 U2 F2 R2 U2 R2 F2 U2
四面V Y公式 D2 R L U2 R2 L2 U2 R L
四面C U公式 R2 F2 B2 L2 U F2 R2 L2 B2 D'
C C T V公式一 B2 R2 D2 U2 F2 L R’ U2 L’R’
C C T V公式二 L2 B2 R2 D2 R2 F2 U2 F2 R2 U2 R2
六面斜線公式 B L2 U2 L2 B’ F’ U2 R’ B F R2 D’ L R’ D’ U R F’
三色斜線公式 R F2 L’ D2 F2 L’ R2 B’ L’ B’ F’ D’ U R F’ D R’ B R'
四面斜線公式 F B L R F B L R F B L R
大小魔方公式 U2 L2 F2 U’ B2 D R F’ R F’ R F’ D’ B2 U'
大中小魔公式 B L' D2 L D F' D2 F D' B' F' R U2 R' U' B U2 B' U F (R' D2 R B' U2 B)2
大中小魔公式 F D2 L2 B D B’ F2 U’ F U F2 U2 F’ L D F’ U
六面雙環公式 B R L’ D’ R2 D R’ L B’ R2 U B2 U’ D B2 R L U2 R’ L’ B2 D'
六面蛇形公式 B R L’ D’ R2 D R’ L B’ R2 U B2 U’ D R2 D'
彩帶魔方公式 D2 L’ U2 F L2 D2 U R2 D L2 B’ L2 U L D’R2 U'
六面魚形公式 L2 D B2 U R2 B2 D L’ B2 F' D' U R' D2 R' B2 F' U' F'
官方紀錄
世界紀錄
| 項目 | 成績 | 選手 | 國家/地區 | 比賽 | |
| 三階速擰 3×3×3Cube | 單次 | 3.47s | 杜宇生 | 中國 | 2018蕪湖公開賽 |
| 平均 | 5.80s | Feliks Zemdegs | 澳大利亞 | 2017馬來西亞賽 | |
| 二階速擰 2×2×2 Cube | 單次 | 0.49s | Maciej Czapiewski | 波蘭 | 2016格魯瓊茲公開賽 |
| 平均 | 1.21s | Martin Vædele Egdal | 丹麥 | 2018凱勒公開賽 | |
| 四階速擰 4×4×4 Cube | 單次 | 18.42s | Max Park | 美國 | SacCubing IV 2018 |
| 平均 | 21.13s | Max Park | 美國 | SacCubing IV 2018 | |
| 五階速擰 5×5×5 Cube | 單次 | 37.28s | Max Park | 美國 | SacCubing IV 2018 |
| 平均 | 42.36s | Max Park | 美國 | 2018亞洲錦標賽 | |
| 六階速擰 6×6×6 Cube | 單次 | 1:13.82 | Max Park | 美國 | 2018亞洲錦標賽 |
| 平均 | 1:17.10 | Max Park | 美國 | 2018亞洲錦標賽 | |
| 七階速擰 7×7×7 Cube | 單次 | 1:47.89 | Max Park | 美國 | 2018西海岸巡迴賽——弗雷斯諾站 |
| 平均 | 1:57.10 | Max Park | 美國 | 2018西海岸巡迴賽——弗雷斯諾站 | |
| 三階盲擰 3×3×3 Blindfolded | 單次 | 16.55s | Max Hilliard | 美國 | 2018DFW九月魔方嘉年華 |
| 平均 | 20.29s | Max Hilliard | 美國 | 2018伯克利安靜賽 | |
| 三階最少步 3×3×3 Fewest Moves | 單次 | 18 | Chad Batten | 美國 | GA Cubers Mountain Trip 2018 |
| 平均 | 24 | Sébastien Auroux | 德國 | 2017最少步專項賽 | |
| Walker Welch | 德國 | 2017美國最少步賽 | |||
| Reto Bubendorf | 芬蘭 | 2018芬蘭錦標賽 | |||
| 三階單手 3×3×3 One-Handed | 單次 | 6.88s | Feliks Zemdegs | 澳大利亞 | 2015坎培拉秋季賽 |
| 平均 | 9.42s | Max Park | 美國 | 2018伯克利夏季賽 | |
| 三階腳擰 3×3×3 With Feet | 單次 | 16.96s | Daniel Rose-Levine | 美國 | 2018美國中部錦標賽 |
| 平均 | 22.22s | Daniel Rose-Levine | 美國 | 2018歐洲錦標賽 | |
| 魔錶 Clock | 單次 | 3.40s | 婁雲皓 | 中國 | 2018深圳公開賽 |
| 平均 | 4.56s | 婁雲皓 | 中國 | 2018中國錦標賽 | |
| 五魔方 Megaminx | 單次 | 27.81s | Juan Pablo Huanqui | 秘魯 | 2018美國國家賽 |
| 平均 | 32.03s | Yu Da-Hyun (유다현) | 韓國 | 2018 CWR冬季賽 | |
| 金字塔魔方 Pyraminx | 單次 | 0.91s | Dominik Górny | 波蘭 | 2018貝奇納魔方賽 |
| 平均 | 1.87s | Tymon Kolasiński | 波蘭 | 2018琴斯托霍瓦魔方賽 | |
| 斜轉魔方 Skewb | 單次 | 1.10s | Jonatan Klosko | 波蘭 | ŚLS Wodzisław Śląski 2015 |
| 平均 | 2.03s | Łukasz Burliga | 波蘭 | 2017 CFL聖誕魔方賽 | |
| SQ1魔方 Square One | 單次 | 5.00s | Vicenzo Guerino Cecchini | 巴西 | Schoolmark Open 2018 |
| 平均 | 6.73s | Vicenzo Guerino Cecchini | 巴西 | Schoolmark Open 2018 | |
| 四階盲擰 4×4×4 Blindfolded | 1:26.41 | 林愷俊 | 中國 | 2018北京安靜賽 | |
| 五階盲擰 5×5×5 Blindfolded | 3:01.01 | Stanley Chapel | 美國 | 2018謝克秋季賽 | |
| 三階多個盲擰 3×3×3 Multi-Blind | 48/48 59:48 | Shivam Bansal | 印度 | 2018德里季風公開賽 | |
中國紀錄
| 項目 | 成績 | 等級 | 姓名 | 省市 | 賽事 | |
| 三階速擰 Rubik's Cube | 單次 | 3.47s | WR | 杜宇生 | 黑龍江 | 2018蕪湖公開賽 |
| 平均 | 6.51s | NR | 王楷文 | 台灣 | 2017高雄秋季公開賽 | |
| 二階速擰 2×2×2 Cube | 單次 | 0.61s | AsR | 王楷文 | 台灣 | 2017台灣錦標賽 |
| 平均 | 1.53s | NR | 張淇奧 | —— | 2018南京秋季賽 | |
| 四階速擰 4×4×4 Cube | 單次 | 20.87s | AsR | 王旭明 | 黑龍江 | 2018九江公開賽 |
| 平均 | 26.00s | NR | 李嘉亮 | 香港 | 2018深圳南山賽 | |
| 五階速擰 5×5×5 Cube | 單次 | 42.12s | NR | 吳亦凡 | 台灣 | 2018亞洲錦標賽 |
| 平均 | 52.13s | NR | 吳亦凡 | 台灣 | 2017世界錦標賽 | |
| 六階速擰 6×6×6 Cube | 單次 | 1:29.89 | NR | 黃建樂 | 香港 | 2018中國錦標賽 |
| 平均 | 1:36.03 | NR | 熊銳明 | —— | 2018奧克維爾秋季賽 | |
| 七階速擰 7×7×7 Cube | 單次 | 2:07.45 | AsR | 黃建樂 | 香港 | 2018深圳公開賽 |
| 平均 | 2:13.48 | NR | 張安宇 | 陝西 | 2018中國錦標賽 | |
| 三階盲擰 3×3×3 Blindfolded | 單次 | 18.32s | AsR | 林愷俊 | 廣東 | 2018海峽兩岸魔方賽 |
| 平均 | 21.24s | AsR | 林愷俊 | 廣東 | 2018北京安靜賽 | |
| 三階最少步 3×3×3 Fewest Moves | 單次 | 19 | AsR | 董百強 | 福建 | 2018北京公開賽 |
| 平均 | 24+1/3 | AsR | 董百強 | 福建 | 2017中國錦標賽 | |
| 三階單手 3×3×3 One-Handed | 單次 | 8.27s | NR | 楊海鑫 | 四川 | 2015成都公開賽 |
| 平均 | 11.32s | NR | 王楷文 | 台灣 | 2017高雄秋季公開賽 | |
| 三階腳擰 3×3×3 With Feet | 單次 | 21.88s | NR | 蘇成明 | —— | 2018北京夏季賽 |
| 平均 | 28.58s | NR | 蘇成明 | —— | 2018中國錦標賽 | |
| 魔錶 Clock | 單次 | 3.40s | WR | 婁雲皓 | —— | 2018深圳公開賽 |
| 平均 | 4.56s | WR | 婁雲皓 | —— | 2018中國錦標賽 | |
| 五魔方 Megaminx | 單次 | 34.86s | NR | 張贇量 | —— | 2018揭陽公開賽 |
| 平均 | 37.33s | NR | 張贇量 | —— | 2018南京秋季賽 | |
| 金字塔魔方 Pyraminx | 單次 | 1.10s | AsR | 吳宇倫 | 上海 | 2018麗水學院公開賽 |
| 平均 | 2.32s | AsR | 徐嘉辰 | 北京 | 2018北京公開賽 | |
| 斜轉魔方 Skewb | 單次 | 1.11s | AsR | 李宗陽 | 北京 | 2018石家莊公開賽 |
| 平均 | 2.45s | AsR | 楊宸暢 | —— | 2018徐州夏季公開賽 | |
| SQ1魔方 Square One | 單次 | 5.87s | AsR | 馮子甲 | 江蘇 | 2017焦作公開賽 |
| 平均 | 8.20s | NR | 張學超 | —— | 2018中國錦標賽 | |
| 四階盲擰 4×4×4 Blindfolded | 1:34.66 | WR | 林愷俊 | 廣東 | 2018北京安靜賽 | |
| 五階盲擰 5×5×5 Blindfolded | 3:46.56 | AsR | 林愷俊 | 廣東 | 2018新加坡錦標賽 | |
| 三階多個盲擰 3×3×3 Multi-Blind | 42/45 58:13 | NR | 陳裕鋮 | 廣東 | 2018北京安靜賽 | |
註:世界魔方協會官方網站的中國紀錄只包括中國大陸地區,另有中國香港紀錄、中國澳門紀錄和中國台灣紀錄,本詞條中的中國紀錄是包括大陸地區、香港、澳門和台灣的綜合記錄。表格中的紀錄等級NR表示國家/地區紀錄(National Record),AsR表示亞洲紀錄(Asian Record),WR表示世界紀錄(World Record)。
世界魔方協會(WCA)在2013年2月在官方網站上公布,刪除八片魔板和十二片魔板比賽項目,不再對這兩個項目認證,之後的八片魔板和十二片魔板紀錄將不再更新,直至世界魔方協會(WCA)重新認證八片魔板和十二片魔板比賽項目,下面是八片魔板和十二片魔板比賽項目的世界紀錄和中國紀錄最後更新的紀錄:
| 項目 | 成績 | 選手 | 國家 | 賽事 | ||
| 八片魔板 | 世界紀錄 | 單次 | 0.69s | 王宇軒 | 中國 | 2011北京春季賽 |
| 平均 | 0.76s | 王宇軒 | 中國 | 2011北京夏季公開賽 | ||
| 中國紀錄 | 同上 | |||||
| 十二片魔板 | 世界紀錄 | 單次 | 1.68s | Ernie Pulchny | 美國 | 2011帕克里奇公開賽 |
| 平均 | 1.75s | Ernie Pulchny | 美國 | 2011美國國家賽 | ||
| 中國紀錄 | 單次 | 1.69s | 王宇軒 | 中國 | 2012蘇大周莊魔方公開賽 | |
| 平均 | 1.93s | 王皓琨 | 中國 | 2012天津公開賽 | ||
一位美國網友花了7小時32分成功破解了號稱“史上最難解”的17階魔方(共包含1539個部件),成為世界上第二個解開該魔方的人。
非官方世界紀錄
非官方世界紀錄(Unofficial World Record,簡稱UWR) 是指不在世界魔方協會(WCA)監督和認證的比賽中創造的世界紀錄。這些紀錄被大眾所認可,但是不被任何官方組織認證。
註:下表中“形式”一欄,avgx表示x次取去頭尾平均,mox表示x次取算術平均,single表示單次。
官方正階項目
| 項目 | 形式 | 成績 | 姓名 | 國籍 | 備註 |
| 二階速擰 | avg5 | 0.944 | Andreas Jensen Forsgren | 挪威 | |
| avg12 | 1.171 | Antonie Paterakis | 希臘 | ||
| avg50 | 1.381 | Kevin Gerhardt | 德國 | ||
| avg100 | 1.46 | Luigi Soriano | 美國 | ||
| 三階速擰 | single | 2.98 | Lukáš Pohořelický | 捷克 | 打亂:D2 F2 D2 L2 B2 L2U' L2 D'F2 D2 F U' B' F2 L D' B' U B2 R |
| avg5 | 4.90 | Feliks Zemdegs | 澳大利亞 | ||
| avg12 | 5.51 | Feliks Zemdegs | 澳大利亞 | ||
| avg50 | 5.87 | Feliks Zemdegs | 澳大利亞 | ||
| avg100 | 5.97 | Feliks Zemdegs | 澳大利亞 | ||
| 三階單手 | single | 5.71 | Juliette Sébastien | 法國 | 打亂:L2 D2 B2 L' U2 R2 F2 D2 U2 L2 F D L' R F L2 U R D' R |
| avg5 | 8.81 | Michał Pleskowicz | 波蘭 | ||
| avg12 | 9.59 | Kian Mansour | 加拿大 | ||
| avg100 | 10.34 | Kian Mansour | 加拿大 | ||
| 三階腳擰 | single | 16.92 | Jimin Byeon | 韓國 | |
| avg5 | 23.946 | Jimin Byeon | 韓國 | ||
| avg12 | 25.986 | Jimin Byeon | 韓國 | ||
| avg100 | 30.365 | Jimin Byeon | 韓國 | ||
| 四階速擰 | single | 17.13 | Sebastian Weyer | 德國 | |
| avg5 | 20.54 | Sebastian Weyer | 德國 | ||
| avg12 | 21.97 | Max Park | 美國 | ||
| avg100 | 23.78 | Sebastian Weyer | 德國 | ||
| 五階速擰 | single | 37.72 | Max Park | 美國 | |
| avg5 | 43.16 | Feliks Zemdegs | 澳大利亞 | ||
| avg12 | 44.16 | Max Park | 美國 | ||
| 六階速擰 | single | 1:13.08 | Feliks Zemdegs | 澳大利亞 | |
| mo3 | 1:20.93 | Feliks Zemdegs | 澳大利亞 | ||
| avg5 | 1:23.90 | Feliks Zemdegs | 澳大利亞 | ||
| avg12 | 1:26.43 | Kevin Hays | 美國 | ||
| 七階速擰 | single | 1:56.61 | Kevin Hays | 美國 | |
| mo3 | 2:08.31 | Feliks Zemdegs | 澳大利亞 | ||
| avg5 | 2:08.53 | Feliks Zemdegs | 澳大利亞 | ||
| avg12 | 2:12.06 | Feliks Zemdegs | 澳大利亞 |
官方盲擰項目
| 項目 | 形式 | 成績 | 姓名 | 國籍 | 備註 |
| 三階盲擰 | single | 12.83 | Ishaan Agrawal | 美國 | |
| mo3 | 17.71 | Jake Klassen | 加拿大 | ||
| avg5 | 19.02 | Jake Klassen | 加拿大 | ||
| avg12 | 21.95 | Jake Klassen | 加拿大 | ||
| 四階盲擰 | single | 1:26.35 | 林愷俊 | 中國 | |
| avg5 | 2:07.36 | Oliver Frost | 英國 | ||
| avg12 | 2:12.94 | Oliver Frost | 英國 | ||
| 五階盲擰 | single | 3:14.98 | 林愷俊 | 中國 | 記憶用時1:07 |
| mo3 | 4:38.45 | Roman Strakhov | 俄羅斯 | ||
| avg5 | 4:51.69 | Oliver Frost | 英國 | ||
| 三階多個盲擰 | single | 49/50 (58:25) | Marcin Kowalczyk | 波蘭 |
官方其他項目
| 項目 | 形式 | 成績 | 姓名 | 國籍 |
| 金字塔 | avg5 | 1.51 | Rafał Waryszak | 波蘭 |
| avg12 | 1.82 | Rafał Waryszak | 波蘭 | |
| avg100 | 2.54 | Rafał Waryszak | 波蘭 | |
| 斜轉 | avg5 | 1.43 | Eli Jay | 英國 |
| avg12 | 1.72 | George Scholey | 英國 | |
| avg100 | 2.33 | George Scholey | 英國 | |
| 五魔方 | single | 26.19 | Juan Pablo Huanqui | 秘魯 |
| avg5 | 32.85 | Juan Pablo Huanqui | 秘魯 | |
| avg12 | 35.11 | Juan Pablo Huanqui | 秘魯 | |
| avg100 | 37.66 | Juan Pablo Huanqui | 秘魯 | |
| SQ1 | avg5 | 6.36 | Rasmus Stub Detlefsen | 丹麥 |
| avg12 | 6.90 | Rasmus Stub Detlefsen | 丹麥 | |
| avg100 | 7.59 | Rasmus Stub Detlefsen | 丹麥 | |
| 魔錶 | avg5 | 4.15 | 鍾泰然 | 中國 |
| avg12 | 4.58 | 鍾泰然 | 中國 | |
| avg100 | 4.99 | Silas Starling | 美國 |
以上更新至2017.12
非官方項目
| 項目 | 形式 | 成績 | 姓名 | 國籍 | 備註 |
| 八片魔板 | single | 0.59 | Chae Ji-Seok | 韓國 | |
| avg5 | 0.64 | Chae Ji-Seok | 韓國 | ||
| avg12 | 0.70 | Chae Ji-Seok | 韓國 | ||
| avg100 | 0.82 | Chae Ji-Seok | 韓國 | ||
| 十二片魔板 | single | 1.55 | Ernie Pulchny | 美國 | |
| avg5 | 1.64 | Ernie Pulchny | 美國 | ||
| avg12 | 1.78 | Jae-Min Jeon | 韓國 | ||
| 八階速擰 | single | 4:36.30 | Mattia Furlan | 義大利 | |
| mo3 | 4:48.xx | Mattia Furlan | 義大利 | ||
| 九階速擰 | single | 7:07.71 | Mattia Furlan | 義大利 | |
| mo3 | 8:00.77 | Mattia Furlan | 義大利 | ||
| 十階速擰 | single | 11:59.54 | Mattia Furlan | 義大利 | |
| mo3 | 12:41.59 | Mattia Furlan | 義大利 | ||
| 十一階速擰 | single | 18:36.68 | Mattia Furlan | 義大利 | |
| mo3 | 21:11.97 | Vladislav Shavelsky | 俄羅斯 | ||
| 十三階速擰 | single | 37:40.420 | 熊銳明 | 日本 | |
| mo3 | 39:26.925 | 熊銳明 | 日本 | ||
| 3x3x2魔方 | single | 2.98 | Evan Brown | 美國 | |
| avg5 | 6.34 | Evan Brown | 美國 | ||
| avg12 | 7.43 | Evan Brown | 美國 | ||
| avg100 | 8.98 | Evan Brown | 美國 | ||
| 3x3x4魔方 | single | 19.14 | David Woner | 美國 | |
| avg5 | 28.30 | Evan Brown | 美國 | ||
| avg12 | 30.29 | Evan Brown | 美國 | ||
| 二到四階連擰 | single | 30.99 | Bill Wang | 加拿大 | |
| 二到五階連擰 | single | 1:21.3x | Feliks Zemdegs | 澳大利亞 | |
| 二到六階連擰 | single | 3:02.xx | Kevin Hays | 美國 | |
| 二到七階連擰 | single | 5:22.10 | Kevin Hays | 美國 | |
| 二到八階連擰 | single | 11:54.06 | Mattia Furlan | 義大利 | |
| 二到九階連擰 | single | 21:53.7x | 熊銳明 | 中國 | |
| 只用八階進行二到八階連擰(使用Real Man Style) | single | 26:56.00+5 | 熊銳明 | 中國 | 因秒表中途意外停止,故在總時間基礎上加5秒 |
| 五階五魔方 | single | 7:56.03 | Bálint Bodor | 匈牙利 | |
| avg5 | 9:51.43 | Michael Gottlieb | 美國 | ||
| Minx連擰 金字塔+五魔方+斜轉 | single | 54.21 | Lucas Wesche | 德國 | |
| avg5 | 57.00 | Lucas Wesche | 德國 | ||
| 鑽石斜轉 Skewb Diamond | single | 3.84 | Noah Joiner | 美國 | 打亂:L U B' U B' U L B L' U |
| avg5 | 10.38 | Noah Joiner | 美國 | ||
| avg12 | 11.77 | Noah Joiner | 美國 | ||
| 十二面體斜轉 Skewb Ultimate | single | 11.89 | Harris Karsch | 美國 | |
| 轉角五魔方 | single | 3:21.14 | Edward Vakula | 美國 | |
| 深切五魔方 | single | 17:42.63 | Chris Wall | 英國 | |
| 鬼魔魔方 | single | 33.80 | Sebastian Häfner | 德國 | |
| avg5 | 44.00 | Sebastian Häfner | 德國 | ||
| 齒輪魔方 | single | 1.99 | Noah Joiner | 美國 | 打亂:R' F U' |
| avg5 | 3.22 | Kentaro Nishi | |||
| avg12 | 3.77 | Kentaro Nishi | |||
| avg100 | 13.88 | Josh Bloch | 美國 | ||
| 直升機魔方 | single | 27.10 | Josh Perkins | 美國 | |
| avg5 | 36.34 | Josh Perkins | 美國 | ||
| avg12 | 37.48 | Josh Perkins | 美國 | ||
| avg100 | 41.34 | Josh Perkins | 美國 | ||
| 單手斜轉 | single | 3.25 | Carsten Matheus | 德國 | 打亂:B L' U' L R' B' L R |
| mo3 | 5.38 | Carsten Matheus | 德國 | ||
| avg5 | 6.07 | Carsten Matheus | 德國 | ||
| avg12 | 8.70 | Carsten Matheus | 德國 | ||
| avg100 | 9.37 | Carsten Matheus | 德國 | ||
| 有一個2x2x2大塊的捆綁三階魔方 | single | 5.36 | Drew Brads | 美國 | |
| avg5 | 7.15 | Robert Yau | 英國 | ||
| avg12 | 8.96 | Robert Yau | 英國 | ||
| 超級133魔方 Super Floppy Cube | single | 1.53 | Bartłomiej Owczarek | 波蘭 | |
| avg5 | 4.78 | Bartłomiej Owczarek | 波蘭 | ||
| avg12 | 5.48 | Bartłomiej Owczarek | 波蘭 | ||
| 圓柱形魔方 Barrel Cube | single | 16.641 | Paul Schmitz | 德國 | |
| avg5 | 32.16 | Paul Schmitz | 德國 | ||
| 移棱魔方 Fisher Cube | single | 19.57 | Sebastian Häfner | 德國 | |
| avg5 | 28.14 | Sebastian Häfner | 德國 | ||
| avg12 | 30.03 | Sebastian Häfner | 德國 | ||
| 轉角八面體 Vertex Turning Octahedron | single | 14.63 | Jason Thomas | 美國 | |
| avg5 | 20.74 | Jason Thomas | 美國 | ||
| 轉面八面體 Face Turning Octahedron | single | 1:04.86 | Michael Gottlieb | 美國 | |
| 鏡面魔方 | single | 9.83 | Sebastian Häfner | 德國 | |
| avg5 | 13.10 | Sebastian Häfner | 德國 | ||
| avg12 | 14.17 | Sebastian Häfner | 德國 | ||
| 連體鏡面魔方 Fused Mirror Blocks | single | 55.85 | Sebastian Häfner | 德國 | |
| 四階金字塔 Mastermorphix | single | 17.83 | Sebastian Häfner | 德國 | |
| mo3 | 20.91 | Sebastian Häfner | 德國 | ||
| avg5 | 23.55 | Sebastian Häfner | 德國 | ||
| 手上穿襪子復原三階 | single | 13.63 | Sebastian Häfner | 德國 | |
| avg5 | 16.69 | Sebastian Häfner | 德國 | ||
| 三階單手的同時吃披薩(兩項同時開始並且同時完成) | single | 23.112 | Noah Schulhof | 美國 |
註:1.在只用八階進行二到八階連擰項目中的使用Real Man Style意思是將打亂的時間也計入總時間;
2.魔方名稱可能在國內有不同翻譯的魔方均在括弧內用英文標註原名。
非官方盲擰
| 項目 | 形式 | 成績 | 姓名 | 國籍 | 備註 |
| 二階盲擰 | avg5 | 4.44 | Martin Vædele Egdal | 丹麥 | |
| avg12 | 5.674 | Rami Sbahi | 美國 | ||
| avg50 | 6.48 | Martin Vædele Egdal | 丹麥 | ||
| avg100 | 7.176 | Rami Sbahi | 美國 | ||
| 盲擰兩個二階 | single | 10.298 | Rami Sbahi | 美國 | |
| 用速擰方法進行三階盲擰 | single | 6.469 | Rami Sbahi | 美國 | 記憶時間1小時 |
| 六階盲擰 | single | 13:38.47 | Tom Nelson | 紐西蘭 | 記憶時間 3:36 |
| 七階盲擰 | single | 15:36.53 | Roman Strakhov | 俄羅斯 | 記憶時間 7:05 |
| 八階盲擰 | single | 52:29.24 | Roman Strakhov | 俄羅斯 | 記憶時間 24:27 |
| 九階盲擰 | single | 1:45:19.61 | Roman Strakhov | 俄羅斯 | 記憶時間 51:28 |
| 鏡面魔方盲擰 | single | 36.06 | Sebastian Häfner | 德國 | 無記憶時間 |
| mo3 | 52.88 | Sebastian Häfner | 德國 | ||
| 鬼魔魔方盲擰 | single | 3:50.37 | Sebastian Häfner | 德國 | |
| 二階五魔方盲擰 | single | 3:34.34 | Enoch Gray | 美國 | 記憶時間 1:43 |
| 五魔方盲擰 | single | 9:08.48 | Enoch Gray | 美國 | 記憶時間 4:36 |
| 四階五魔方盲擰 | single | 1:07:74.10 | Enoch Gray | 美國 | 記憶時間 41:40 |
| 五階五魔方盲擰 | single | 7:35:00.00 | Hanns Hub | 德國 | 記憶時間5小時 |
| sq1盲擰 | single | 33.31 | 朱坤 | 中國 | 使用WCA官方sq1打亂 |
| avg5 | 52.45 | 朱坤 | 中國 | ||
| 魔錶盲擰 | single | 28.xx | Pierre Bouvier | 法國 |
非官方團隊
| 項目 | 形式 | 成績 | 姓名 | 國籍 | 備註 |
| 三階團隊盲擰 | single | 6.914 | Rami Sbahi Patrick Ponce | 美國 | |
| avg5 | 8.197 | Rami Sbahi Patrick Ponce | 美國 | ||
| avg12 | 9.248 | Rami Sbahi Patrick Ponce | 美國 | ||
| avg50 | 10.126 | Rami Sbahi Patrick Ponce | 美國 | ||
| avg100 | 10.757 | Rami Sbahi Patrick Ponce | 美國 | ||
| 吉爾福德挑戰 | 兩人 | 5:35.xxx | Rami Sbahi Ciarán Beahan | 美國&英國 | |
| 三人 | 4:19.000 | Rami Sbahi Lucas Etter Drew Brads | 美國 | ||
| 四人 | 3:36.76 | Daniel Sheppard Evan Liu Sameer Mahmood Callum Hales-Jepp | 英國&美國 | ||
| 迷你吉爾福德挑戰 | 兩人 | 1:59.46 | Wilhelm Kilders Lucas Wesche | 德國 | |
| 三人 | 1:25.38 | Erik Akkersdijk Chris Wall Robert Yau | 荷蘭&英國 | ||
| 四人 | 1:17.41 | Mattia Furlan Mariano D'Imperio Alessandro Manopulo Edoardo Disarò | 義大利 | ||
| 三階速擰接力 | 兩人 | 7.78 | Reto Bubendorf Robin Tschümperlin | 瑞士 | OP連跳 |
| 三人 | 12.xx | Rami Sbahi Patrick Ponce Blake Thompson | 美國 | ||
| 四人 | 20.58 | Clément Cherblanc Élian Béguec Nicolas Gertner Alexandre Richard | 法國 |
魔方發展歷史
早期嘗試
1970年三月,Larry Nichols發明了“Puzzle with Pieces Rotatable in Groups”,並申請了加拿大專利,是個2×2×2的魔方,但是每個方塊之間是用磁鐵互相吸在一起。1972年獲得(英文)美國專利 ,比魯比克教授的三階魔方早兩年。
起始
厄爾諾·魯比克是匈牙利的建築學和雕塑學教授,為了幫助學生們認識空間立方體的組成和結構,所以他自己動手做出了第一個魔方的雛形來,其靈感是來自於多瑙河中的沙礫。
1974年,魯比克教授發明了第一個魔方(當時稱作Magic Cube),並在1975年獲得匈牙利專利號HU170062,但沒有申請國際專利。第一批魔方於1977年在布達佩斯的玩具店販售。與Nichols的魔方不同,魯比克教授的零件是像卡榫一般互相咬合在一起,不容易因為外力而分開,而且可以以任何材質製作。
1979年九月,Ideal Toys公司將魔方帶至全世界,並於1980年一、二月在倫敦、巴黎和美國的國際玩具博覽會亮相。
展出之後,Ideal Toys公司將魔方的名稱改為Rubik's Cube,1980年五月,第一批魔方在匈牙利出口。
流行
魔方廣為大眾喜愛是在1980年代。從1980年到1982年,總共售出了將近200萬隻魔方。1981年,一個來自英國的小男孩,派屈克·波塞特(Patrick Bossert)寫了一本名叫《你也能夠復原魔方》(ISBN 0-14-031483-0)的書,總共售出了將近150萬本。據估計,1980年代中期,全世界有五分之一的人在玩魔方。
發展
由於魔方的巨大商機,1983年魯比克教授和他的合伙人一同開發了二階和四階魔方。並於1986年製造了五階魔方。
2003年,希臘的Panagiotis Verdes申請了5×5×5到11×11×11的魔方的專利(五階魔方的結構略與魯比克教授的魔方不同),並於2008年在V-Cube公司生產2-7階的魔方。
交流
百度魔方吧,簡稱魔方吧,是以魔方相關技術交流、魔方運動信息交流、魔友間生活及心情交流為內容的,以團結所有魔友為目標的,以百度論壇為基礎的主題交流平台。
截至2017年12月27日會員數為299099人。
中國里程碑
1、上世紀80年代,魔方運動從匈牙利開始逐步蔓延至整片歐洲大陸,隨即風靡全球,不久後中國也湧現出第一批忠實的愛好者。自此,竭盡全力尋找不同魔方的解法,不斷練習,嘗試能夠更簡單、更迅速、更優雅的還原魔方便成了一代又一代魔方愛好者的追求。
2、2003年,世界魔方協會(World Cube Association,WCA) 成立。標誌著魔方競速正式成為一項運動,魔方從此不再是一個玩具或是遊戲了。沉寂了二十年的中國魔方界也終於開始煥發它的第二春。
3、2007年10月1日,廣州公開賽在廣州市南武中學舉辦,這是我國第一場專業魔方賽事,各項成績均得到WCA的認可。預示著我國的魔方比賽走向正規化,開始與國際魔方比賽接軌。
4、2009年北京夏季魔方公開賽,是中國魔方界走向世界最重要的里程碑。超過150人的驚人參賽陣容,集結了全中國有史以來最全的魔方高手,14項全國紀錄,2項亞洲紀錄,5項世界紀錄在這場比賽中誕生。那屆比賽的舉辦地——鐵道部黨校,也成為了那一代人終生難忘的地方。
5、2015年7月31日,揚州市魔方協會召開第一屆會員大會,同年11月16日獲得社會團體法人登記證書,成為中國第一個由體育總會主管並且正式在民政局註冊的魔方協會。中國的魔方運動終於得到政府認可,欣喜而又緊張向進入體育運動序列的目標,邁出了堅實一步。
6、2015年10月2日第一屆中國魔方錦標賽的成功舉辦,以及2016年亞洲錦標賽舉辦權落戶北京。隨著大賽的接連登場,我們的主辦和設計團隊真正具備了承辦世界級賽事的能力。中國的魔方比賽再也不是閉門造車、無人問津的歷史,也不是邯鄲學步,亦步亦趨的模仿者。
7、2016年1月,《魔方》雜誌創刊,全國16萬魔方愛好者終於等來一份屬於自己的期刊。重新拾起兒時的夢想,再次感受魔方運動所帶來的獨特魅力。不必擔心這條路上又會是獨自前行的窘境,在新的平台里各位魔友終將遇見來自天南海北同樣熱愛魔方的小夥伴並攜手前行。
![魔方[一項智力運動] 魔方[一項智力運動]](/img/c/851/nBnauM3XxcDOxcDN0MjN2IDN0UTMyITNykTO0EDMwAjMwUzLzYzL1gzLt92YucmbvRWdo5Cd0FmL0E2LvoDc0RHa.jpg)
【第一階段】:還原頂層。
【第二階段】:翻轉底層角塊,對齊底層顏色。
【第三階段】:調整底層角塊位置,還原完成。 