香農第一定理
香農第一定理(可變長無失真信源編碼定理)
設離散無記憶信源X包含N個符號{x1,x2,…,xi,..,xN},信源發出K重符號序列,則此信源可發出N^k個不同的符號序列訊息,其中第j個符號序列訊息的出現機率為PKj,其信源編碼後所得的二進制代碼組長度為Bj,代碼組的平均長度B為
B=PK1B1+PK2B2+…+PKN^kBN^k
當K趨於無限大時,B和信息量H(X)之間的關係為B/k=H(X)(K趨近無窮)
香農第一定理又稱為無失真信源編碼定理或變長碼信源編碼定理。
香農第一定理的意義:將原始信源符號轉化為新的碼符號,使碼符號儘量服從等概分布,從而每個碼符號所攜帶的信息量達到最大,進而可以用儘量少的碼符號傳輸信源信息。
香農第二定理
香農第二定理(有噪信道編碼定理)
有噪信道編碼定理。當信道的信息傳輸率不超過信道容量時,採用合適的信道編碼方法可以實現任意高的傳輸可靠性,但若信息傳輸率超過了信道容量,就不可能實現可靠的傳輸。
設某信道有r個輸入符號,s個輸出符號,信道容量為C,當信道的信息傳輸率R<C,碼長N足夠長時,總可以在輸入的集合中(含有r^N個長度為N的碼符號序列),找到M ((M<=2^(N(C-a))),a為任意小的正數)個碼字,分別代表M個等可能性的訊息,組成一個碼以及相應的解碼規則,使信道輸出端的最小平均錯誤解碼機率Pmin達到任意小。
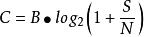
香農三大定理公式:註:B為信道頻寬;S/N為信噪比,通常用分貝(dB)表示。
香農第三定理
香農第三定理(保失真度準則下的有失真信源編碼定理)
保真度準則下的信源編碼定理,或稱有損信源編碼定理。只要碼長足夠長,總可以找到一種信源編碼,使編碼後的信息傳輸率略大於率失真函式,而碼的平均失真度不大於給定的允許失真度,即D'<=D.
設R(D)為一離散無記憶信源的信息率失真函式,並且選定有限的失真函式,對於任意允許平均失真度D>=0,和任意小的a>0,以及任意足夠長的碼長N,則一定存在一種信源編碼W,其碼字個數為M<=EXP{N[R(D)+a]},而編碼後碼的平均失真度D'(W)<=D+a。

