前 言
本標準代替GB/T5009.6—2003《食品中脂肪的測定》 、GB/T9695.1—2008《肉與肉製品 游離脂肪含量測定》、GB5413.3—2010《食品安全國家標準 嬰幼兒食品和乳品中脂肪的測定》、GB/T9695.7—2008《肉與肉製品 總脂肪含量測定》、GB/T14772—2008《食品中粗脂肪的測定》、GB/T5512—2008《糧油檢驗 糧食中粗脂肪含量測定》、GB/T15674—2009《食用菌中粗脂肪含量的測定》、GB/T22427.3—2008《澱粉總脂肪測定》、GB/T10359—2008《油料餅粕 含油量的測定 第1部分:己烷(或石油醚)提取法》。
本標準與GB/T5009.6—2003相比,主要變化如下:
———標準名稱修改為“食品安全國家標準 食品中脂肪的測定”;
———修改了肉製品、澱粉的酸水解及抽提步驟;
———增加了鹼水解法、蓋勃法。
範圍
本標準規定了食品中脂肪含量的測定方法。
本標準第一法適用於水果、蔬菜及其製品、糧食及糧食製品、肉及肉製品、蛋及蛋製品、水產及其製品、焙烤食品、糖果等食品中游離態脂肪含量的測定。
本標準第二法適用於水果、蔬菜及其製品、糧食及糧食製品、肉及肉製品、蛋及蛋製品、水產及其製品、焙烤食品、糖果等食品中游離態脂肪及結合態脂肪總量的測定。
本標準第三法適用於乳及乳製品、嬰幼兒配方食品中脂肪的測定。
本標準第四法適用於乳及乳製品、嬰幼兒配方食品中脂肪的測定。
索氏抽提法
原理
脂肪易溶於有機溶劑。試樣直接用無水乙醚或石油醚等溶劑抽提後,蒸發除去溶劑,乾燥,得到游離態脂肪的含量。
試劑和材料
除非另有說明,本方法所用試劑均為分析純,水為GB/T6682規定的三級水。
試劑
無水乙醚(C4H10O)。
石油醚(CnH2n+2):石油醚沸程為30℃~60℃。
材料
石英砂。
脫脂棉。
儀器和設備
索氏抽提器。
恆溫水浴鍋。
分析天平:感量0.001g和0.0001g。
電熱鼓風乾燥箱。
乾燥器:內裝有效乾燥劑,如矽膠。
濾紙筒。
蒸發皿。
分析步驟
試樣處理
固體試樣:稱取充分混勻後的試樣2g~5g,準確至0.001g,全部移入濾紙筒內。
液體或半固體試樣:稱取混勻後的試樣5g~10g,準確至0.001g,置於蒸發皿中,加入約20g石英砂,於沸水浴上蒸乾後,在電熱鼓風乾燥箱中於100℃ ±5℃乾燥30min後,取出,研細,全部移入濾紙筒內。蒸發皿及粘有試樣的玻璃棒,均用沾有乙醚的脫脂棉擦淨,並將棉花放入濾紙筒內。
抽提
將濾紙筒放入索氏抽提器的抽提筒內,連線已乾燥至恆重的接收瓶,由抽提器冷凝管上端加入無水乙醚或石油醚至瓶內容積的三分之二處,於水浴上加熱,使無水乙醚或石油醚不斷回流抽提(6次/h~8次/h),一般抽提6h~10h。提取結束時,用磨砂玻璃棒接取1滴提取液,磨砂玻璃棒上無油斑表明提取完畢。
稱量
取下接收瓶,回收無水乙醚或石油醚,待接收瓶內溶劑剩餘1mL~2mL時在水浴上蒸乾,再於100℃±5℃乾燥1h,放乾燥器內冷卻0.5h後稱量。重複以上操作直至恆重(直至兩次稱量的差不超過2mg)。
分析結果的表述
試樣中脂肪的含量按式(1)計算:
食品中脂肪的測定……………………(1)
式中:
X ———試樣中脂肪的含量,單位為克每百克(g/100g);
m1 ———恆重後接收瓶和脂肪的含量,單位為克(g);
m0 ———接收瓶的質量,單位為克(g);
m2 ———試樣的質量,單位為克(g);
100———換算係數。
計算結果表示到小數點後一位。
精密度
在重複性條件下獲得的兩次獨立測定結果的絕對差值不得超過算術平均值的10%。
酸水解法
原理
食品中的結合態脂肪必須用強酸使其游離出來,游離出的脂肪易溶於有機溶劑。試樣經鹽酸水解後用無水乙醚或石油醚提取,除去溶劑即得游離態和結合態脂肪的總含量。
試劑和材料
除非另有說明,本方法所用試劑均為分析純,水為GB/T6682規定的三級水。
試劑
鹽酸(HCl)。
乙醇(C2H5OH)。
無水乙醚(C4H10O)。
石油醚(CnH2n+2):沸程為30℃~60℃。
碘(12)。
碘化鉀(KI)。
試劑的配製
鹽酸溶液(2mol/L):量取50mL鹽酸,加入到250mL水中,混勻。
碘液(0.05mol/L):稱取6.5g碘和25g碘化鉀於少量水中溶解,稀釋至1L。
材料
藍色石蕊試紙。
脫脂棉。
濾紙:中速。
儀器和設備
恆溫水浴鍋。
電熱板:滿足200℃高溫。
錐形瓶。
分析天平:感量為0.1g和0.001g。
電熱鼓風乾燥箱。
分析步驟
試樣酸水解
肉製品
稱取混勻後的試樣3g~5g,準確至0.001g,置於錐形瓶(250mL)中,加入50mL2mol/L鹽酸溶液和數粒玻璃細珠,蓋上表面皿,於電熱板上加熱至微沸,保持1h,每10min旋轉搖動1次。取下錐形瓶,加入150mL熱水,混勻,過濾。錐形瓶和表面皿用熱水洗淨,熱水一併過濾。沉澱用熱水洗至中性(用藍色石蕊試紙檢驗,中性時試紙不變色)。將沉澱和濾紙置於大表面皿上,於100℃±5℃乾燥箱內乾燥1h,冷卻。
澱粉
根據總脂肪含量的估計值,稱取混勻後的試樣25g~50g,準確至0.1g,倒入燒杯並加入100mL水。將100mL 鹽酸緩慢加到200mL水中,並將該溶液在電熱板上煮沸後加入樣品液中,加熱此混合液至沸騰並維持5min,停止加熱後,取幾滴混合液於試管中,待冷卻後加入1滴碘液,若無藍色出現,可進行下一步操作。若出現藍色,應繼續煮沸混合液,並用上述方法不斷地進行檢查,直至確定混合液中不含澱粉為止,再進行下一步操作。
將盛有混合液的燒杯置於水浴鍋(70℃~80 ℃)中30min,不停地攪拌,以確保溫度均勻,使脂肪析出。用濾紙過濾冷卻後的混合液,並用乾濾紙片取出粘附於燒杯內壁的脂肪。為確保定量的準確性,應將沖洗燒杯的水進行過濾。在室溫下用水沖洗沉澱和乾濾紙片,直至濾液用藍色石蕊試紙檢驗不變色。將含有沉澱的濾紙和乾濾紙片摺疊後,放置於大表面皿上,在100 ℃± 5 ℃的電熱恆溫乾燥箱內乾燥1h。
其他食品
固體試樣:稱取約2g~5g,準確至0.001g,置於50mL試管內,加入8mL水,混勻後再加10mL鹽酸。將試管放入70℃~80℃水浴中,每隔5min~10min以玻璃棒攪拌1次,至試樣消化完全為止,約40min~50min。
液體試樣:稱取約10g,準確至0.001g,置於50 mL 試管內,加10 mL 鹽酸。其餘操作同上。
抽提
肉製品、澱粉
將乾燥後的試樣裝入濾紙筒內,其餘抽提步驟同第一法。
其他食品
取出試管,加入10mL乙醇,混合。冷卻後將混合物移入100mL具塞量筒中,以25mL無水乙醚分數次洗試管,一併倒入量筒中。待無水乙醚全部倒入量筒後,加塞振搖1min,小心開塞,放出氣體,再塞好,靜置12min,小心開塞,並用乙醚沖洗塞及量筒口附著的脂肪。靜置10min~20min,待上部液體清晰,吸出上清液於已恆重的錐形瓶內,再加5mL無水乙醚於具塞量筒內,振搖,靜置後,仍將上層乙醚吸出,放入原錐形瓶內。
稱量
同第一法。
分析結果的表述
同第一法。
精密度
在重複性條件下獲得的兩次獨立測定結果的絕對差值不得超過算術平均值的10%。
鹼水解法
原理
用無水乙醚和石油醚抽提樣品的鹼(氨水)水解液,通過蒸餾或蒸發去除溶劑,測定溶於溶劑中的抽提物的質量。
試劑和材料
除非另有說明,本方法所用試劑均為分析純,水為GB/T6682規定的三級水。
試劑
澱粉酶:酶活力≥1.5U/mg。
氨水(NH3·H2O):質量分數約25%。
注:可使用比此濃度更高的氨水。
乙醇(C2H5OH):體積分數至少為95%。
無水乙醚(C4H10O)。
石油醚(CnH2n+2):沸程為30℃~60℃。
剛果紅(C32H22N6Na2O6S2)。
鹽酸(HCl)。
碘(12)。
試劑配製
混合溶劑:等體積混合乙醚和石油醚,現用現配。
碘溶液(0.1mol/L):稱取碘12.7g和碘化鉀25g,於水中溶解並定容至1L。
剛果紅溶液:將1g剛果紅溶於水中,稀釋至100mL。
注:可選擇性地使用。剛果紅溶液可使溶劑和水相界面清晰,也可使用其他能使水相染色而不影響測定結果的溶液。
鹽酸溶液(6mol/L):量取50mL鹽酸緩慢倒入40mL水中,定容至100mL,混勻。
儀器和設備
分析天平:感量為0.0001g。
離心機:可用於放置抽脂瓶或管,轉速為500r/min~600r/min,可在抽脂瓶外端產生80g~90g的重力場。
電熱鼓風乾燥箱。
恆溫水浴鍋。
乾燥器:內裝有效乾燥劑,如矽膠。
抽脂瓶:抽脂瓶應帶有軟木塞或其他不影響溶劑使用的瓶塞(如矽膠或聚四氟乙烯)。軟木塞應先浸泡於乙醚中,後放入60℃或60℃以上的水中保持至少15min,冷卻後使用。不用時需浸泡在水中,浸泡用水每天更換1次。
注:也可使用帶虹吸管或洗瓶的抽脂管(或燒瓶),但操作步驟有所不同,見附錄A中規定。接頭的內部長支管下端可成勺狀。
分析步驟
試樣鹼水解
巴氏殺菌乳、滅菌乳、生乳、發酵乳、調製乳
稱取充分混勻試樣10g(精確至0.0001g)於抽脂瓶中。加入2.0mL氨水,充分混合後立即將抽脂瓶放入65℃±5℃的水浴中,加熱15min~20min,不時取出振盪。取出後,冷卻至室溫。靜置30s。
乳粉和嬰幼兒食品
稱取混勻後的試樣,高脂乳粉、全脂乳粉、全脂加糖乳粉和嬰幼兒食品約1g(精確至0.0001g),脫脂乳粉、乳清粉、酪乳粉約1.5g(精確至0.0001g),其餘操作同巴氏殺菌乳、滅菌乳、生乳、發酵乳、調製乳。
不含澱粉樣品
加入10mL65℃±5℃的水,將試樣洗入抽脂瓶的小球,充分混合,直到試樣完全分散,放入流動水中冷卻。
含澱粉樣品
將試樣放入抽脂瓶中,加入約0.1g的澱粉酶,混合均勻後,加入8mL~10mL45℃的水,注意液面不要太高。蓋上瓶塞於攪拌狀態下,置65℃±5℃水浴中2h,每隔10min搖混1次。為檢驗澱粉是否水解完全可加入2滴約0.1mol/L的碘溶液,如無藍色出現說明水解完全,否則將抽脂瓶重新置於水浴中,直至無藍色產生。抽脂瓶冷卻至室溫。其餘操作同巴氏殺菌乳、滅菌乳、生乳、發酵乳、調製乳。
煉乳
脫脂煉乳、全脂煉乳和部分脫脂煉乳稱取約3g~5g、高脂煉乳稱取約1.5g(精確至0.0001g),用10mL水,分次洗入抽脂瓶小球中,充分混合均勻。其餘操作同巴氏殺菌乳、滅菌乳、生乳、發酵乳、調製乳。
奶油、稀奶油
先將奶油試樣放入溫水浴中溶解並混合均勻後,稱取試樣約0.5g(精確至0.0001g),稀奶油稱取約1g於抽脂瓶中,加入8mL~10mL約45℃的水。再加2mL氨水充分混勻。其餘操作同巴氏殺菌乳、滅菌乳、生乳、發酵乳、調製乳。
乾酪
稱取約2g研碎的試樣(精確至0.0001g)於抽脂瓶中,加10mL6mol/L鹽酸,混勻,蓋上瓶塞,於沸水中加熱20min~30min,取出冷卻至室溫,靜置30s。
抽提
加入10mL乙醇,緩和但徹底地進行混合,避免液體太接近瓶頸。如果需要,可加入2滴剛果紅溶液。
加入25mL 乙醚,塞上瓶塞,將抽脂瓶保持在水平位置,小球的延伸部分朝上夾到搖混器上,按約100次/min振盪1min,也可採用手動振搖方式。但均應注意避免形成持久乳化液。抽脂瓶冷卻後小心地打開塞子,用少量的混合溶劑沖洗塞子和瓶頸,使沖洗液流入抽脂瓶。
加入25mL石油醚,塞上重新潤濕的塞子,按17.2.2所述,輕輕振盪30s。
將加塞的抽脂瓶放入離心機中,在500r/min~600r/min下離心5min,否則將抽脂瓶靜置至少30min,直到上層液澄清,並明顯與水相分離。
小心地打開瓶塞,用少量的混合溶劑沖洗塞子和瓶頸內壁,使沖洗液流入抽脂瓶。如果兩相界面低於小球與瓶身相接處,則沿瓶壁邊緣慢慢地加入水,使液面高於小球和瓶身相接處[見圖1a)],以便於傾倒。
食品中脂肪的測定將上層液儘可能地倒入已準備好的加入沸石的脂肪收集瓶中,避免倒出水層[見圖1b)]。
用少量混合溶劑沖洗瓶頸外部,沖洗液收集在脂肪收集瓶中。應防止溶劑濺到抽脂瓶的外面。
向抽脂瓶中加入5mL乙醇,用乙醇沖洗瓶頸內壁,按17.2.1所述進行混合。重複.2~7操作,用15mL無水乙醚和15mL石油醚,進行第2次抽提。
重複2~7操作,用15mL無水乙醚和15mL石油醚,進行第3次抽提。
空白試驗與樣品檢驗同時進行,採用10mL水代替試樣,使用相同步驟和相同試劑。
稱量
合併所有提取液,既可採用蒸餾的方法除去脂肪收集瓶中的溶劑,也可於沸水浴上蒸發至乾來除掉溶劑。蒸餾前用少量混合溶劑沖洗瓶頸內部。將脂肪收集瓶放入100℃±5℃的烘箱中乾燥1h,取出後置於乾燥器內冷卻0.5h後稱量。重複以上操作直至恆重(直至兩次稱量的差不超過2mg)。
分析結果的表述
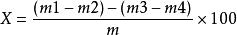
試樣中脂肪的含量按式(2)計算:
食品中脂肪的測定……………………(2)
式中:
X ———試樣中脂肪的含量,單位為克每百克(g/100g);
m1 ———恆重後脂肪收集瓶和脂肪的質量,單位為克(g);
m2 ———脂肪收集瓶的質量,單位為克(g);
m3 ———空白試驗中,恆重後脂肪收集瓶和抽提物的質量,單位為克(g);
m4 ———空白試驗中脂肪收集瓶的質量,單位為克(g);
m ———樣品的質量,單位為克(g);
100———換算係數。
結果保留3位有效數字。
精密度
當樣品中脂肪含量≥15%時,兩次獨立測定結果之差≤0.3g/100g;
當樣品中脂肪含量在5%~15%時,兩次獨立測定結果之差≤0.2g/100g;
當樣品中脂肪含量≤5%時,兩次獨立測定結果之差≤0.1g/100g。
蓋勃法
原理
在乳中加入硫酸破壞乳膠質性和覆蓋在脂肪球上的蛋白質外膜,離心分離脂肪後測量其體積。
試劑和材料
除非另有說明,本方法所用試劑均為分析純,水為GB/T6682 規定的三級水。
硫酸(H2SO4)。
異戊醇(C5H12O)。
儀器和設備
乳脂離心機。
蓋勃氏乳脂計:最小刻度值為0.1%,見圖2。
食品中脂肪的測定分析步驟
於蓋勃氏乳脂計中先加入10mL硫酸,再沿著管壁小心準確加入10.75mL試樣,使試樣與硫酸不要混合,然後加1mL 異戊醇,塞上橡皮塞,使瓶口向下,同時用布包裹以防衝出,用力振搖使呈均勻棕色液體,靜置數分鐘(瓶口向下),置65 ℃ ~70 ℃ 水浴中5 min,取出後置於乳脂離心機中以1100r/min的轉速離心5min,再置於65℃~70℃水浴水中保溫5min(注意水浴水面應高於乳脂計脂肪層)。取出,立即讀數,即為脂肪的百分數。
精密度
在重複性條件下獲得的兩次獨立測定結果的絕對差值不得超過算術平均值的5%。
附錄
管或洗瓶的抽脂管的操作步驟
試樣鹼水解
巴氏殺菌、滅菌乳、生乳、發酵乳、調製乳
稱取充分混勻樣品10g(精確至0.001g)於抽脂管底部。加入2mL氨水,與管底部已稀釋的樣品徹底混合。將抽脂管放入65℃±5 ℃的水浴中,加熱15min~20min,偶爾振盪樣品管,然後冷卻至室溫。
乳粉及乳基嬰幼兒食品
稱取混勻後的樣品高脂乳粉、全脂乳粉、全脂加糖乳粉和乳基嬰幼兒配方食品:約1g,脫脂乳粉、乳清粉、酪乳粉:約1.5g(精確至0.001g),於抽脂管底部,加入10mL65℃±5℃的水,充分混合,直到樣品完全分散,放入流動水中冷卻。其餘操作同巴氏殺菌、滅菌乳、生乳、發酵乳、調製乳。
煉乳
脫脂煉乳稱取約10g、全脂煉乳和部分脫脂煉乳稱取約3g~5g;高脂煉乳稱取約1.5g(精確至0.001g),於抽脂管底部。加入10mL水,充分混合均勻。其餘操作同巴氏殺菌、滅菌乳、生乳、發酵乳、調製乳。
奶油、稀奶油
先將奶油樣品放入溫水浴中溶解並混合均勻後,奶油稱取約0.5g樣品,稀奶油稱取1g於抽脂管底部(精確至0.001g)。其餘操作同巴氏殺菌、滅菌乳、生乳、發酵乳、調製乳。
乾酪
稱取約2g研碎的樣品(精確至0.001g)。加水9mL、氨水2mL,用玻璃棒攪拌均勻後微微加熱使酪蛋白溶解,用鹽酸中和後再加鹽酸10mL,加海砂0.5g,蓋好玻璃蓋,以文火煮沸5min,冷卻後將燒杯內容物移入抽脂管底部,用25mL無水乙醚沖洗燒杯,洗液併入抽脂管中。
抽提
加入10mL無水乙醇,在管底部輕輕徹底地混合,必要時加入兩滴剛果紅溶液。
加入25mL無水乙醚,加軟木塞(已被水飽和),或用水浸濕的其他瓶塞,上下反轉1min,不要過度(避免形成持久性乳化液)。必要時,將管子放入流動的水中冷卻,然後小心地打開軟木塞,用少量的混合溶劑(使用洗瓶)沖洗塞子和管頸,使沖洗液流入管中。
加入25mL石油醚,加塞(塞子重新用水潤濕),按A.2.2所述輕輕振盪30s。
將加塞的管子放入離心機中,在500r/min~600r/min下離心1min~5min。或靜置至少30min,直到上層液澄清,並明顯地與水相分離,冷卻。
小心地打開軟木塞,用少量混合溶劑洗塞子和管頸,使沖洗液流入管中。
將虹吸管或洗瓶接頭插入管中,向下壓長支管,直到距兩相界面的上方4mm 處,內部長支管應與管軸平行。
小心地將上層液移入含有沸石的脂肪收集瓶中,也可用金屬皿。避免移入任何水相。用少量混合溶劑沖洗長支管的出口,收集沖洗液於脂肪收集瓶中。
鬆開管頸處的接頭,用少量的混合溶劑沖洗接頭和內部長支管的較低部分,重新插好接頭,將沖洗液移入脂肪收集瓶中。
用少量的混合溶劑沖洗出口,沖洗液收集於瓶中,必要時,按17.3所述,通過蒸餾或蒸發去除部分溶劑。
再鬆開管頸處的接頭,微微抬高接頭,加入5mL乙醇,用乙醇沖洗長支管,如A.2.1所述混合。
重複2~7步驟進行第2次抽提,但僅用15mL乙醚和15mL石油醚,抽提之後,在移開管接頭時,用乙醚沖洗內部長支管。
重複2~7步驟,不加乙醇,進行第3次抽提,僅用15mL無水乙醚和15mL石油醚。
注:如果產品中脂肪的質量分數低於5%,可省略第3次抽提。
以下按第三法的稱重所述進行。

