基本簡介
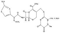
頭孢曲松鈉英文名稱:CeftriaxoneSodium
英文別名:5-thia-1-azabicyclo[4.2.0]oct-2-ene-2-carboxylicacid,7-[[(2Z)-2-(2-amino-4-thiazolyl)-2-(methoxyimino)-1-oxoethyl]amino]-3-[[(2,5-dihydro-6-hydroxy-2-methyl-5-oxo-1,2,4-triazin-3-yl)thio]methyl]-8-oxo-;5-thia-1-azabicyclo[4.2.0]oct-2-ene-2-carboxylicacid,7-[[(2Z)-2-(2-amino-4-thiazolyl)-2-(methoxyimino)-1-oxoethyl]amino]-8-oxo-3-[[(1,2,5,6-tetrahydro-2-methyl-5,6-dioxo-1,2,4-triazin-3-yl)thio]methyl]-;7-{[(2Z)-2-(2-Amino-1,3-thiazol-4-yl)-2-(methoxyimino)acetyl]amino}-3-{[(2-methyl-5,6-dioxo-1,2,5,6-tetrahydro-1,2,4-triazin-3-yl)sulfanyl]methyl}-8-oxo-5-thia-1-azabicyclo[4.2.0]oct-2-ene-2-carboxylicacid;7-{[(2Z)-2-(2-amino-1,3-thiazol-4-yl)-2-(methoxyimino)acetyl]amino}-3-{[(6-hydroxy-2-methyl-5-oxo-2,5-dihydro-1,2,4-triazin-3-yl)sulfanyl]methyl}-8-oxo-5-thia-1-azabicyclo[4.2.0]oct-2-ene-2-carboxylicacid
商品名:羅氏芬、得治、立健松等
中文別名[6R-[6alpha,7beta(Z)]]-3-[[(1,2,5,6-四氫-2-甲基-5,6-二氧代-1,2,4-三嗪-3-基)硫]甲基]-7-[[(2-氨基-4-噻唑基](甲氧亞氨基)乙醯基]氨基]-8-氧代-5-硫雜-1-氮雜雙環[4.2.0]辛-2-烯-2-羧酸鈉鹽
分子式:C18H16N8Na2O7S3.3H2O
分子量:661.59
性狀:該品為白色或類白色結晶性粉末
產品用途
用於治療呼吸道感染、泌尿系統感染、淋病及術前感染預防。
藥理毒理
頭孢曲松鈉藥代動力
頭孢曲松鈉作用用途
頭孢曲松鈉劑量用法
頭孢曲松鈉治療淋病的治療方案:成人1次單劑肌注250mg即可。另外加口服多西環素0.1g/次,2次/日,共口服5~7天。
不良反應
不良反應此外可有皮疹、瘙癢、發熱、支氣管痙攣和血清病等過敏反應(2.77%),頭痛或頭暈(0.27%),腹瀉、噁心、嘔吐、腹痛、結腸炎、黃疸、脹氣、味覺障礙和消化不良等消化道反應(3.45%)。實驗室檢查異常約19%,其中血液學檢查異常占14%,包括嗜酸性粒細胞增多,血小板增多或減少和白細胞減少。肝腎功能異常者為5%和1.4%。
其他罕見副作用,頭痛或眩暈,症狀性頭孢曲松鈣鹽之膽囊沉澱,肝臟轉氨酶增高,少尿,血肌酐增加,生殖道黴菌病,發熱,寒戰,以及過敏性或過敏樣反應。
因濫用抗生素藥物頭孢曲松鈉可導致兒童泌尿系統結石,近期又有專家研究發現更為嚴重的問題,頭孢曲松鈉可導致急性腎後性腎功能衰竭。由於藥典、教科書及藥品說明均未提及這一嚴重併發症,醫生普遍對其缺乏認識,會導致誤診和誤治。
禁忌症
對頭孢菌素類抗生素過敏者禁用。
頭孢曲松不得用於高膽紅素血的新生兒和早產兒的治療。如新生兒(≤28天)需要(或預期需要)使用含鈣的靜脈輸液營養液治療,則禁止使用頭孢曲松,因為有產生頭孢曲松-鈣沉澱的危險。
臨床研究
【功效主治】敏感致病菌所引起的各種感染,特別是重症、危症和其它抗生素治療無效的病例。如:肺炎、支氣管炎、肺化膿症和膿胸。耳、鼻、喉感染。腎臟及尿道感染。敗血症。腦膜炎。手術前感染的預防。骨、關節、軟組織、皮膚及傷口的感染和燒傷感染。腹部感染,包括腹膜炎、膽管及胃腸道感染。生殖器感染,包括淋病。
【藥理作用】該品為第三代頭孢菌素類抗生素。對腸桿菌科細菌有強大活性。對大腸埃希菌、肺炎克雷伯菌、產氣腸桿菌、氟勞地枸櫞酸桿菌、吲哚陽性變形桿菌、普魯威登菌屬和沙雷菌屬的MIC90介於0.12~0.25mg/L之間。陰溝腸桿菌、不動桿菌屬和銅綠假單胞菌對該品的敏感性差。對流感嗜血桿菌、淋病奈瑟菌和腦膜炎奈瑟菌有較強抗菌作用,對溶血性鏈球菌和肺炎球菌亦有良好作用。對金黃色葡萄球菌的MIC為2~4mg/L。耐甲氧西林葡萄球菌和腸球菌對該品耐藥。多數脆弱擬桿菌對該品耐藥。
【藥物相互作用】1、頭孢菌素類靜脈輸液中加入紅黴素、四環素、兩性黴素B、血管活性藥(間羥胺、去甲腎上腺素等)、苯妥英鈉、氯丙嗪、異丙醇、維生素B族、維生素C等時將出現混濁。由於該品的配伍禁忌藥物甚多,所以應單獨給藥。2、套用該品期間飲酒或服含酒精藥物時在個別病人可出現雙硫侖樣反應,故在套用該品期間和以後數天內,應避免飲酒和服含酒精的藥物。
【不良反應】注射部位局部反應。皮疹、瘙癢、發熱、支氣管痙攣和血清病等過敏反應。頭痛或頭暈。腹瀉、噁心、嘔吐、腹痛、結腸炎、脹氣、味覺障礙和消化不良。
【禁忌症】孕婦前三個月及對頭孢菌素類藥物過敏者。對青黴素過敏者,孕婦和哺乳婦女慎用。有黃疸或有黃疸傾向的新生兒應慎用或避免使用。
測定方法
方法名稱:
頭孢曲松鈉原料藥-頭孢曲松-高效液相色譜法
套用範圍:
該方法採用高效液相色譜法測定頭孢曲松鈉原料藥中頭孢曲松的含量。
該方法適用於頭孢曲松鈉原料藥。
方法原理:
供試品加流動相溶解並稀釋,進入高效液相色譜儀進行色譜分離,用紫外吸收檢測器,于波長254nm處檢測頭孢曲松的峰面積,計算出其含量。
試劑:
乙腈
0.02mol/L正辛胺溶液
磷酸
儀器設備:
儀器
高效液相色譜儀
色譜柱
十八烷基矽烷鍵合矽膠為填充劑
1.3紫外吸收檢測器
⒉色譜條件
⒉1流動相:0.02mol/L正辛胺溶液乙腈=7327,用磷酸調節pH值至6.5為流動相
⒉2檢測波長:254nm
⒉3柱溫:室溫
試樣製備:
⒈對照品溶液的製備
精密稱取頭孢曲松對照品約22mg,置100mL量瓶中,加流動相溶解並稀釋至刻度,搖勻,即為對照品溶液。
⒉供試品溶液的製備
精密稱取供試品約22mg,置100mL量瓶中,加流動相溶解並稀釋至刻度,搖勻,即為供試品溶液。
註:“精密稱取”系指稱取重量應準確至所稱取重量的千分之一。“精密量取”系指量取體積的準確度應符合國家標準中對該體積移液管的精度要求。
操作步驟:
分別精密吸取對照品溶液和供試品溶液各20mL,注入高效液相色譜儀,用紫外吸收檢測器于波長254nm處測定頭孢曲松(C18H18N8O7S3)的峰面積,計算出其含量。
參考文獻:
中華人民共和國藥典,國家藥典委員會編,化學工業出版社,2005版,二部,p.137。
注意事項
頭孢曲松鈉2、對青黴素過敏病人套用該藥時應根據病人情況充分權衡利弊後決定。有青黴素過敏性休克或即刻反應者,不宜再選用頭孢菌素類。
3、有胃腸道疾病史者,特別是潰瘍性結腸炎、局限性腸炎或抗生素相關性結腸炎(頭孢菌素類很少產生偽膜性結腸炎)者應慎用。
4、由於頭孢菌素類毒性低,所以有慢性肝病患者套用該藥時不需調整劑量。病人有嚴重肝腎損害或肝硬化者應調整劑量。
5、腎功能不全患者肌酐清除大於5m1/分鐘,每日套用該藥劑量少於2g時,不需作劑量調整。血液透析清除該藥的量不多,透析後無需增補劑量。
6、對診斷的干擾:套用該藥的患者以硫酸銅法測尿糖時可獲得假陽性反應,以葡萄糖酶法則不受影響;血尿素氮和血清肌酐可有暫時性升高;血清膽紅質、鹼性磷酸酶、丙氨酸氨基轉移酶(ALT)和門冬氨酸氨基轉移酶(AST)皆可升高。
7、該藥的保存溫度為25℃以下。
8、該藥嚴禁與鈣劑同時使用,特別是兒童在使用過程中,應注意詢問同時在使用鈣製劑。該品不能加入哈特曼氏以及林格氏等含有鈣的溶液中使用。該品與含鈣劑或含鈣產品合併用藥有可能導致致死性結局的不良事件。
不合理
頭孢曲松鈉的臨床不合理使用被警示
頭孢曲松鈉頭孢曲松鈉的不合理使用在臨床上主要體現於哪些方面呢?從2007年下半年,國家藥品不良反應監測中心開始對此品種進行全面評價,整個評價工作歷時半年之久,經過全面系統的評價,頭孢曲松鈉合理使用下,利益明顯大於風險;在藥品不良反應/事件報告中不合理用藥現象廣泛存在,不合理用藥使得用藥的風險明顯擴大,不良事件數量明顯增加。記者約請國家藥品不良反應監測中心有關專家對頭孢曲松鈉的臨床不合理使用主要問題進行了總結,並提出相應建議。
用藥不對症 不合理使用問題一:超出適應症用藥(用藥不對症)
典型病例:患者,女性,17歲,因胃腸型感冒來院就診,使用頭孢曲松鈉後意識模糊。立即停用頭孢曲松鈉,10分鐘後自覺症狀好轉。
專家分析:頭孢曲松鈉並不適用於胃腸型感冒,一般適用於嚴重感染,如呼吸道感染、敗血症、腹腔感染、腎盂腎炎、盆腔炎性疾病、骨關節感染、皮膚軟組織感染、中樞神經系統感染等。國家中心病例報告資料庫顯示,嚴重病例中超適應症用藥約占嚴重病例報告總數的10%。
超劑量用藥 不合理使用問題二:兒童超劑量用藥
典型病例:患兒,男性,4歲,體重11kg,因支氣管炎給予頭孢曲松鈉2g。1分鐘後,患兒出現流涕、口吐白痰,立即關閉輸液,進行搶救,30分鐘後,搶救無效死亡。
專家分析:頭孢曲松鈉藥品說明書中明確提示,兒童靜脈給藥每日劑量為體重20-80mg/kg。國家中心病例報告資料庫顯示,部分兒童患者存在超劑量使用的情況。
藥物混合使用 不合理使用問題三:配伍禁忌用藥(與其他藥物混合使用)
典型病例:患者,女性,60歲,因上呼吸道感染,去當地村衛生所就診,給予頭孢曲松鈉、地塞米松、利巴韋林混合用藥。約20分鐘後突感呼吸困難,繼而心跳停止,搶救八小時無效死亡。
專家分析:頭孢曲松鈉藥品說明書中明確提示,由於可能會產生藥物間的不相容性,不能將該品與其他藥物混合使用,需聯合用藥時應分開使用。國家中心病例報告資料庫顯示,嚴重病例中存在頭孢曲松鈉與其他藥品混合靜脈使用的問題。其中以頭孢曲松鈉與地塞米松混合靜脈使用占大多數,其次是與利巴韋林等抗病毒藥物和/或中藥注射劑混合靜脈使用。少數病例一次混合使用藥品多達4種。
藥物過敏者用藥 不合理使用問題四:禁忌症用藥(藥物過敏者用藥)
典型病例:患者,女性,35歲,既往青黴素過敏史。因“蚊蟲叮傷繼發感染”給予頭孢曲松鈉治療。大約2分鐘後,病人全身不適,立即停止輸液,15分鐘後患者突然心跳停止,繼續搶救無效死亡。
專家分析:頭孢曲松鈉說明書【禁忌】和【注意事項】項中,已明確註明“該品禁用於對頭孢菌素過敏的病人。”“使用該品前應詳細詢問患者過敏史,對於任何過敏體質患者均應慎用該品。對青黴素過敏者可能會對該品產生交叉過敏反應,應慎用。”國家中心病例報告資料庫分析顯示,存在過敏體質或對頭孢曲松鈉、青黴素過敏者的用藥情況,並導致患者死亡的嚴重後果。
用藥期間飲酒 不合理使用問題五:用藥期間飲酒
頭孢曲松鈉專家分析:頭孢曲松鈉可影響乙醇代謝,使血中乙醯醛濃度上升,表現為面部潮紅、頭痛、眩暈、腹痛、噁心、嘔吐、氣促、心率加快、血壓降低、嗜睡、幻覺等。故用藥期間及停藥後1周內應避免飲酒,也應避免口服含乙醇類的藥物、飲料或靜脈輸入含乙醇的藥物。
手術期不合理用藥 不合理使用問題六:手術期不合理用藥
典型病例:患者,男性,34歲,腎結石手術後,給予頭孢曲松鈉治療。滴注至10ml時,患者噁心、嘔吐,立即停止輸液。10分鐘後,患者出現呼吸困難、牙關緊閉,轉送重症監護室。
專家分析:圍手術期用藥應遵守《抗菌藥物臨床套用指導原則》、《圍手術期預防套用抗菌藥物指南》等相關要求。國家中心病例報告資料庫顯示,頭孢曲松鈉嚴重病例報告中圍手術期用藥的有46例,主要存在用藥時機選擇不當、高起點用藥或無適應症用藥、長療程用藥等問題,並由此可能造成嚴重不良事件的發生。
新生兒高膽紅素血症用藥
不合理使用問題七:新生兒高膽紅素血症用藥
典型病例:患兒,男性,9天,因新生兒高膽紅素血症給予頭孢曲松鈉等藥治療,每天一次。第三天上午8∶30,患兒出現發熱、呼吸急促,12∶55患兒呼吸停止,搶救無效,於14∶10分宣告臨床死亡。
專家分析:頭孢曲松鈉說明書中明確提示,頭孢曲松鈉可將膽紅素從血清白蛋白上置換下來,患有高膽紅素血症的新生兒(尤其是早產兒)可能發展成核黃疸,應慎用或避免使用該品。但國家中心病例報告資料庫資料顯示,臨床上存在新生兒高膽紅素血症使用頭孢曲松鈉的情況。
規格
北京三藥規格
頭孢曲松鈉藥理作用頭孢曲松鈉的分子式為C18H16N8Na2O7S3·3H2O,分子量為661、59。該品為白色或類白色結晶粉末。該品為長效、廣譜頭孢菌素,具有很強的殺菌作用。
動力學單劑靜脈滴注頭孢曲松鈉後高峰血藥濃度可達156mg/L,每12小時靜滴1g,在給藥後4天內可達平均穩態血濃度150mg/L左右。該品肌注後吸收良好,肌注1g後高峰血藥濃度為125mg/L。頭孢曲松鈉的消除半衰期長,約為7-8小時,血漿蛋白結合率為80-95%。頭孢曲松鈉在體內可分布至炎症腦脊液、痰液、漿膜腔液、羊水等體液中,藥物濃度可達殺菌水平。頭孢曲松鈉主要自尿和膽汁排泄,靜脈給藥後48小時內約可排出給藥量的40%,自膽汁排出40%左右。膽汁中藥物濃度可高達1000mg/L。
微生物學頭孢曲松鈉對下列革蘭氏陰性桿菌具有高度抗菌活性,大腸桿菌、克雷伯菌、奇異變形桿菌、吲哚陽性變形桿菌、沙門氏菌、志賀氏菌等腸桿菌科細菌以及流感嗜血桿菌;該品對腦膜炎球菌、淋球菌等革蘭氏陰性球菌亦具有良好抗菌作用。革蘭氏陽性球菌如肺炎球菌、化膿性鏈球菌、草綠色鏈球菌、牛鏈球菌均對該品敏感;頭孢曲松鈉對金葡菌也有一定抗菌作用,但其抗菌作用較上述革蘭氏陽性球菌為差。綠膿桿菌、不動桿菌對該品的敏感性差。
對該品敏感的致病菌所引起的各種感染如呼吸道感染、泌尿系感染(包括腎盂腎炎與淋病)、敗血症、腦膜炎、燒傷感染、術後感染、骨關節、軟組織、皮膚及傷口感染、腹部感染(腹膜炎、膽管及腸胃道感染)及預防手術期感染。用法用量
成人及12歲以上兒童標準劑量為1-2gqd靜脈滴注,療程7-14日,嚴重感染時可增至每日3-4g,每12hr用1、5-2g,靜脈滴注。嬰幼兒按每日20-80mg/kg(體重)分次靜滴。治療淋病推薦劑量為單劑肌肉注射0.25g-0.5g。
該品不良反應較少見,約為5-7%,表現為輕度過敏反應,如皮疹、瘙癢、蕁麻疹、水腫、多形紅斑和消化道反應,如軟便、腹瀉、噁心。偶見嗜酸性粒細胞增多,一過性血清轉氨酶升高和血肌酐增加。
禁忌對頭孢菌素類藥物過敏者禁用。
注意事項靜脈注射或靜脈輸液臨用前用生理鹽水溶解後使用。肌肉注射用1%利多卡因溶解。該品屬β-內醯胺類抗生素,應臨用前配製。對青黴素過敏者對該品有可能有交叉過敏反應,應慎用。
哈藥規格
注射用頭孢曲松鈉
適應症敏感菌所致的各種感染如:呼吸道感染,泌尿系統感染,敗血症,腦膜炎,燒傷感染,術後感染,骨關節、軟組織、皮膚和傷口感染,腹部感染(腹膜炎、膽管及胃腸道感染),預防手術期的感染。1、2期梅毒。
用法用量成人及12歲以上兒童1-2gqd,肌內和靜脈給藥,療程7-14日。重症感染劑量可增至3-4g/日,12歲以下兒童20-80mg/kg體重/日qd,靜脈給藥。淋病單劑量肌內注射250mg。
輕度過敏反應,消化道反應,偶見嗜酸性粒細胞增多,一過性血清轉氨酶和肌酐升高。
禁忌對頭孢菌素類藥物過敏者。對青黴素類藥物過敏者慎用。胃及十二指腸病變者慎用。
西南合成規格
頭孢曲松鈉注射液
經靜注和肌注後,血藥濃度與曲線下的面積兩者相同,這表明肌注後,頭孢曲松鈉的生物利用度為100%。靜注後,本藥迅速擴散而進入組織液,殺菌濃度能保持24小時。對絕大多數的致病菌其最低殺菌濃度(MBC)小於或等於最低抑菌濃度(MIC)的2倍。靜脈滴注1g,血藥峰值濃度可達到156mg/L,24小時後仍可維持15mg/L,連續多次,每隔12小時靜脈滴注2g,穩態血藥濃度可達230-260mg/L。健康成年人的消除半衰期約為8小時,幼兒消除半衰期少於8日,75歲以上患者的平均消除半衰期約2倍於成年人。50-60%的頭孢曲松鈉,通過腎以原型排出體外,40-50%以原型隨膽汁排出,腸內微生物可使該品轉變為無活性代謝物。
新生兒腎的排除占70%。肝腎功能障礙患者,藥物動力學只有極少的改變,其消除半衰期輕微增加,若只有腎功能損害,本藥的膽汁排除量將會增加,若只有肝功能損害,腎排除量將增多。本藥能可逆地結合白蛋白,其結合量隨著濃度的增加而減少。該品的組織滲透性良好,能廣泛分布於全身各組織和體液中,能較好地透過血腦屏障進入腦脊液,在肝、腎、膽囊、肺和骨組織中以及膽汁、尿液、痰液中藥物濃度很高,遠遠高於其有效殺菌濃度。頭孢曲松鈉能滲入發炎的兒童腦膜,對細菌性腦膜炎,在腦脊液中的平均擴散度為血液濃度的17%,即約4倍於無菌腦膜。在腦膜炎成年患者中,按50mg/kg體重,使用後2-24小時內,腦脊液中的濃度比要求抑制引起腦膜炎微生物的最低濃度高出數倍。
該品對腸桿菌類有較好療效
微生物學本藥對革蘭氏陰性和陽性菌具有高度及中度的抗菌作用,對多數β-內醯胺酶,青黴酶和頭孢素酶具有高度穩定性。本藥對下列細菌有效:革蘭氏陽性需氧菌:金黃色葡萄球菌(包括產青黴素酶的菌株),肺炎球菌,鏈球菌屬,對甲氧苄青黴素耐藥的葡萄球菌種以及多數腸球菌。革蘭氏陰性需氧菌:產氧單胞菌屬,產鹼桿菌屬,檸檬酸菌屬,腸桿菌屬,希氏大腸桿菌,嗜血桿菌屬Ducrey氏桿菌。流感桿菌屬,摩根氏菌屬,克雷白桿菌,淋病奈瑟菌屬(包括產青黴素的菌株),腦膜炎奈瑟菌,鄰單胞菌屬,志賀氏菌,各型變形桿菌,普氏菌屬,假單胞菌屬,綠膿桿菌,沙門桿菌屬(包括傷寒沙門氏菌),沙雷氏菌屬(包括粘質沙雷氏菌),弧菌屬(包括霍亂弧菌),耶氏菌屬(包括耶氏腸炎菌)。梅毒螺鏇體。耐青黴素、耐第一代頭孢菌素的革蘭氏陰性菌株,對頭孢曲松鈉亦敏感。厭氧菌:類桿菌屬(包括脆弱擬桿菌),細梭菌屬,腖鏈球菌。
流感嗜血桿菌、大腸桿菌、克雷伯氏桿菌、變形桿菌、沙門氏菌、葡萄球菌、腦膜炎球菌及淋球菌所引起的感染。
用法用量
成人靜滴:1-2gqd,嚴重者可用2gbid,成人肌註:250mg-1gqd。
不良反應
可能出現輕度過敏反應,消化道反應,偶見嗜酸性粒細胞增多、一過性轉氨酶和血肌酐升高。
禁忌妊
娠首3個月內。對頭孢菌素類藥物過敏者。對青黴素過敏者慎用。
新亞製藥規格
注射用頭孢曲松鈉
對頭孢曲松鈉敏感的致病菌所引起的各種感染:
1、呼吸道感染,特別是肺炎和耳鼻喉感染。2、腹部感染(腹膜炎、膽道及腸胃道感染)。
3、腎臟與尿道感染。
4、生殖器感染,包括淋病。
5、骨及關節、軟組織、皮膚及傷口的感染。
6、敗血症,腦膜炎。
7、手術前感染的預防。
8、免疫功能減退病人的感染。
成人及12歲以上兒童標準劑量為一日1次,1~2g靜脈滴注,療程7~14日,嚴重感染時可增至一日3~4g,每12小時用1.5~2g靜脈滴注。嬰幼兒按一日20~80mg/kg(體重)分次靜滴。治療淋病的推薦劑量為單劑肌內注射0.25g。靜脈輸液,臨用前用生理鹽水溶解後使用。肌內注射,用1%利多卡因溶解,深部臀肌肉注射。
不良反應該品不良反應較少見,約為5~7%,表現為輕度過敏反應,如皮疹、瘙癢、蕁麻疹、水腫、多形紅斑和消化道反應,如軟便、腹瀉、噁心、偶見嗜酸性粒細胞增多等血液學改變及一過性務清轉氨酶升高和血肌酐增加等不良反應。
注意事項對青黴素過敏者對該品有可能有交叉過敏反應,應慎用。妊娠期病人不應使用。該品屬B-內醯胺類抗生素應臨用前配製。該品與氨基糖苷類藥物相加或協同作用,這對綠膿桿菌,糞鏈球菌引起的危及生命的感染很重要,但兩藥聯用時,必須分開給藥。

