功能及用途
預應力混凝土梁檢測儀或預應力混凝土梁多功能檢測儀基於無損檢測技術開發,採用衝擊彈性波作為測試媒介,具有測試效率高、可靠性好、對結構無損傷等特點,可以大大地提高預應力梁的質量保證度。其主要功能及用途包括:
檢測預應力孔道灌漿密實度。
檢測混凝土澆築質量(構件、試件的強度、模量)。
檢測錨固應力。
檢測混凝土結構尺寸及內部缺陷。
用於預應力梁質量管理,提高工程質量。
用於施工過程監控,及時發現問題,以便補救或施工質量改進。
用於施工質量檢查。
設備
設備測試項目方法
| 測試項目 | 測試方法 | |
| 預應力混凝土結構 | 張力測試 | 等效質量法 |
| 灌漿密實度 | 等價波速法 | |
| 全長波速法 | ||
| 全長衰減法 | ||
| 傳遞函式法 | ||
| 局部衰減法(橫豎向) | ||
| 反射能量法(橫豎向) | ||
| 錨索(桿)長度檢測 | 單一反射法 | |
| 混凝土結構 | 混凝土材質 | 雙面透過法 |
| 單面反射法 | ||
| 單面傳播法 | ||
| 結構尺寸 | 衝擊回波法 | |
| 混凝土缺陷 | 彈性波雷達法(EWR) | |
| 計算機層析法(CT) | ||
檢測基本原理
張力測試
將錨頭、墊板等簡化為如下的模型。即將錨頭與墊板、墊板與後面的混凝土或岩體的接觸面模型化成如下的彈簧支撐體系。
模型該彈簧體系的剛性 與張力(有效預應力)有關,當然張力越大, 也越大。另一方面,在錨頭激振誘發的系統基礎自振頻率 可以簡化表示為:
公式在上式中,如果 為一常值,那么根據測試的基頻 即可較容易地測出張力。然而,通過實驗發現,埋入式錨索在錨頭激振時,其誘發的振動體系並非固定不變,而是會隨著錨固力的變化而變化。錨固力越大,參與自由振動的質量也就越大。
模型在此基礎上,建立基於“等效質量”原理的有效張力測試理論和測試方法。利用激振錘(力錘)敲擊錨頭,並通過貼上在錨頭上的感測器拾取錨頭的振動回響,從而能夠快速、簡單地測試錨索(桿)的現有張力。
密實度檢測
預應力梁:通過彈性波的傳播、反射特性,可以對預應力梁的孔道灌漿密實度進行定性檢測和定位檢測。
定性測試
定性測試包括全長衰減法(FLEA)、全長波速法(FLPV)和傳遞函式法(PFTF)。這3種方法可以在一次測試中同時完成,通過相互之間的印證,可以提高測試精度。
1) 全長衰減法(FLEA)
一般情況下,能量比越小,灌漿越密實。如果孔道灌漿密實度較高,能量在傳播過程中逸散的越多,衰減較大。如果孔道灌漿密實度較低,能量在傳播過程逸散較少,衰減較小。 因此,通過精密地測試能量的衰減,即可以推測灌漿質量。
2) 全長波速法(FLPV)
通過測試彈性波經過錨索的傳播時間,並結合錨索的距離計算出彈性波經過錨索的波速。通過波速的變化來判斷預應力管道灌漿密實度情況。一般情況下波速與灌漿密實度有相關性,隨著灌漿密實度測增加波速是逐漸減小,當灌漿密實度達到100%時,測試的錨索的P波波速接近混凝土中的P波波速。
3) 傳遞函式法(PFTF)
在預應力梁的一端激振,如果接收端存在不密實情況,會在接收端產生高頻振盪。因此,通過對比接收信號與激發信號相關部分的頻率變化,可以判定錨頭兩端附近的缺陷情況。此外,該方法測試的區域(錨頭附近的鋼絞線),恰恰是定位測試(IEEV)法較為困難的測試區域。
當然,在激振端附近的鋼絞線也存在灌漿不密實現象時,激振端的感測器拾取的振動信號的頻率也會增加。 4) 灌漿指數
上述各定性測試方法各有特色,儘管測試原理不同,但測試方法完全一樣。因此,根據一次的測試數據可以同時得到3種方法的測試結果。
灌漿密實度定性測試方法比較
| 方法 | 優點 | 缺點 |
| 全長衰減法(FLEA) | 測試原理明確、對灌漿缺陷較為敏感 | 測試結果離散性較大,影響因素多 |
| 全長波速法(FLPV) | 測試結果較為穩定,適合測試大範圍缺陷 | 測試原理不嚴密,對缺陷較為鈍感 |
| 傳遞函式法(PFTF) | 能夠測試錨頭附近的灌漿缺陷 | 測試範圍較小 |
為了定性測試的結果定量化,引入了灌漿指數If。當灌漿飽滿時,If=1,而完全未灌時,If=0。因此,上述各方法可得到相應的灌漿指數。同時,綜合灌漿指數可以定義為:
公式只要某一項的灌漿指數較低,綜合灌漿指數就會有較明顯的反映。通常,灌漿指數大於0.95一般意味著灌漿質量較好,而灌漿指數低於0.85則表明灌漿質量較差。
此外,灌漿指數是根據基準值而自動計算的,因此,基準值的選定是非常重要的。不同形式的錨具、梁的形式以及孔道的位置都會對基準值產生影響,所用在條件許可時,進行相應的標定或通過大量的測試並結合數理統計的方法確定基準值是非常理想的。
灌漿指數的基準值
| 方法 | 項目 | 全灌漿時值 | 無灌漿時值 |
| 全長波速法 | 波速(km/s) | 混凝土實測波速 | 5.01 |
| 全長衰減法 | 能量比 | 0.02 | 0.20 |
| 傳遞函式法 | 頻率比(F1/F0) | 1.00 | 3.00 |
| 激振頻率(KHz) | 2.0 | 4.0 | |
定位測試
根據定性測試的結果,對有缺陷的管道再利用衝擊回波等效波速法(IEEV)對管道灌漿缺陷進行定位測試。定位測試沿著管道的上方或側方,以掃描的形式連續測試(激振和受信),通過反射信號的特性測試管道內灌漿的狀況。
IEEV法利用在波紋管上部激振時,根據彈性波的反射特性來判斷缺陷的具體位置。當管道灌漿存在缺陷時, 1) 激振的彈性波在缺陷處會產生反射;
2) 激振的彈性波從梁底部反射回來所用的時間比灌漿密實的地方為長,即用梁長得到的等效波速慢。
根據反射信號及等效速度的特點,不僅能夠檢測缺陷的位置,還可以推斷灌漿缺陷的類型(空洞型或鬆散型)和規模大小。
缺陷類型的區分
| 管道處的反射信號 | 等效波速 | 缺陷定義、類型 |
| 明顯 | 正常 | 小缺陷:有小規模空洞、空洞不連續 |
| 慢 | 大缺陷:有大規模、連續性空洞 | |
| 不明顯 | 正常 | 沒有明顯缺陷 |
| 慢 | 鬆散缺陷:無明顯空洞的材質鬆散型缺陷 | |
孔道檢測
橫(豎)向預應力孔道灌漿密實度的檢測方法與岩錨桿測試類似。所不同的是,在橋樑中,橫向預應力常常採用的是錨索。與錨桿相比,在錨索中傳播的彈性波衰減及振動干擾更大,因此不能套用岩土錨桿的檢測方法。
基於振動頻率的測試方法。
對於橫向預應力錨索,外力激振後會引起鋼絞線的自由振動。當未灌漿時,鋼絞線處於自由狀況,其自振頻率較高。而灌漿飽滿時,由於附加質量的影響,其自振頻率會有明顯的降低。
基於能量衰減的測試方法
對於橫向預應力錨索和豎向預應力錨桿,外力激振信號的衰減速度與灌漿密實度有較大的關係。當未灌漿時,錨索(桿)中的彈性波逸散面小,能量衰減慢,因此其振動持續時間長。而灌漿飽滿時,彈性波逸散面大,能量衰減快,因此其振動持續時間短。
長度檢測
基於彈性波的反射特性檢測錨索(桿)長度,在錨索(桿)露出端上激振與受信,根據反射信號的位置來測試錨索(桿)長度。
材質測試
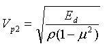
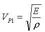
一維波針對混凝土質量的檢測與灌漿密實度一樣,也是採用衝擊彈性波作為測試媒介。通過測試彈性波的波速,據此計算材料的動彈性模量和推算相應的靜彈模,進而根據彈模與壓縮強度的相關關係推算混凝土的抗壓強度。對於1維均質彈性體,其彈性模量與彈性波P波波速的關係可以表示為
其中, ρ為材料的密度,對於混凝土, ρ一般為2400kg/m3左右。當測試對象為2維或3維時,P波速度有一定的變化。
2維:
二維波3維:
三維波一般來說,一維、二維、三維波速比為1:1.02:1.05。需要指出的是,上面得到的是材料在小應變條件下的動彈性模量,而非靜彈性模量。對於鋼材這樣的均質彈性材料, 動模與靜模 非常接近,而對於混凝土這樣的非線性材料而言, 兩者之間則有一定的差異。根據Edward教授以及我們的研究成果,常用的混凝土彈性模量 與 間有下述關係:
動靜模關係而對於混凝土的抗壓強度Sc,其與Ec間有較好的相關關係。根據ASTM的統計,對於相同配比的混凝土,該相關係數可達到0.95。
由於測試對象和測試位置的不同,該儀器集成了多種測試方法。
單面重複反射法(衝擊回波法)
在被測混凝土結構的壁厚既知的前提下,利用彈性波的重複反射,可測出彈性波在被測混凝土試件的傳播時間和彈性波波速,從而計算出混凝土的彈性模量,進而能夠推算混凝土的強度指標。該方法也稱“衝擊回波法”,具有測試效率高、測試結果客觀性強的特點,可優先採用。
單面傳播法
在混凝土壁厚未知時,可在同一表面測P波,從而推算混凝土的強度指標。
雙面透過法(透射法)
針對梁的整體,採用雙面透過法的方法,可以測試整個梁長的彈性模量。
混凝土梁彈性模量測試方法比較
| 方法 | 優點 | 缺點 |
| 衝擊回波法 | 測試效率高、精度好 | 要求壁厚既知 |
| 單面傳播法 | 在壁厚未知時也可測試 | 測試效率低,精度稍差 |
| 雙面透過法 | 測試範圍廣,精度高 | 要求雙面作業、對測試條件有一定要求 |
結構尺寸檢測
主要採用單面反射法(衝擊回波法)。根據尺寸的大小、激振波長和能量的強弱,又可以分為單一反射法和重複反射法。
單一反射法
當測試對象較厚,激振信號與反射信號能夠分離時,通過抽取從結構底部的反射信號,根據反射時間和波速即可測出對象的厚度。
重複反射法
當測試對象較薄,激振信號與反射信號不能很好分離時,通過頻譜分析的方法可以算出一次反射的時間(即周期),據此和波速即可測出對象的厚度。
混凝土缺陷
彈性波雷達掃描技術(EWR)
沿測試對象表面連續激發彈性波信號,信號在遇到空洞等疏鬆介質時會產生反射。通過抽取該反射信號並進行相應的圖像處理,即可識別結構的內部缺陷。
彈性波計算機層析掃描技術(CT)
在醫療領域中,CT(Computer Tomography)是非常有效的無損檢測技術。我們開發的彈性波CT的原理與醫療CT基本相同,所不同的是所用的媒介是彈性波而不是X光,採用的參數是波速,而不是衰減。
常見問題處理
灌漿缺陷
對於需要處理的缺陷需要材料可以選擇:
原配漿料 對於較大缺陷和孔道兩端灌漿不足,可用原配漿料進行鑽孔注漿或補漿。
環氧樹脂材料 環氧樹脂材料具有密實、抗水、抗滲漏好、強度高、附著力強等特點,可以作為快速修補材料,加固的灌漿材料用於孔道灌漿小范缺陷處理。
聚氨酯材料 在工程建築中,聚氨酯材料可作為密封膠、粘合劑、防水堵漏劑等使用,對於有水的孔道灌漿小缺陷也可以使用該材料來修補;
聚合物防水砂漿 聚合物防水砂漿主要用於鑽孔注漿後注漿孔的修復。
缺陷處理需要注意以下幾點:
對於小缺陷只需要打一個孔,重新注漿;
對於較大缺陷需要打兩個孔,一個為注漿孔,另一個為排氣孔,注漿從下方孔進行;
鑽孔注意避開鋼筋,宜用鋼筋掃瞄器或混凝土雷達事先對鋼筋定位;
重注漿後注漿孔要處理好,注意防水。對重注漿孔採用速凝混凝土、樹脂材料或微膨脹材料修補後,應在表面塗上防水材料。如聚氨酯、彈性塗膜防水材料,聚合物水泥膏、聚合物薄膜(貼上)等。
為了確保重注漿充滿,在注漿後約半小時可以對每個注漿孔再次補漿。
混凝缺陷
根據不同的缺陷類型採用相應的處理方法。
混凝土質量整體較差;因為影響整體承載力,因此需要參考設計資料,對梁進行整體加固;
出現開裂:根據裂縫的深度、位置,首先需要明確裂縫的成因(通常有乾縮、應力、溫度等原因),其次根據裂縫成因採取表面封閉(乾縮、溫度裂縫),碳素纖維或鋼板加固(應力裂縫)。裂縫嚴重時,可能需要考慮廢梁;
表面蜂窩及內部空洞:根據缺陷位置和大小,判斷其對梁的整體性性能的影響程度。程度輕微時可做表面處理,嚴重時考慮局部加固,特別嚴重時,需考慮廢梁。
預應力不足
對於沒有灌漿的情況下出現預應力損失,可以退出現有預應力鋼絞線,重新穿入新的鋼絞線進行二次張拉。
對於已經灌漿的預應力孔道目前沒有特別有效的處理方式,可考慮體外預應力加固,嚴重時考慮廢梁。

